Giải bài 55 trang 113 SGK Giải Tích 12 nâng cao
Bài 5: Hàm số mũ và hàm số lôgarit
Bài 55 (trang 113 sgk Giải Tích 12 nâng cao): Trong các hàm số sau đây, hàm số nào đồng biến, hàm số nào nghịch biến trên tập xác định của nó?
Lời giải:
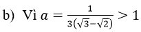
a) Ta có: 0 < 2/e < 1 nên hàm số y=log(2/e)x nghịch biến trên (0; +∞)
nên hàm số y=logax đồng biến trên (0; +∞)
Các bài giải bài tập Giải Tích 12 nâng cao Bài 5 Chương 2 khác:
Bài 47 (trang 111 SGK Giải Tích 12 nâng cao): Khoảng 200 năm trước, hay nhà khoa học....
Bài 48 (trang 112 SGK Giải Tích 12 nâng cao): Tìm các giới hạn sau...
Bài 49 (trang 112 SGK Giải Tích 12 nâng cao): Tìm đạo hàm của các hàm số sau...
Bài 50 (trang 112 SGK Giải Tích 12 nâng cao): Trong các hàm số sau đây, hàm số nào...
Bài 51 (trang 112 SGK Giải Tích 12 nâng cao): Vẽ dồ thị của các hàm số sau...
Bài 51 (trang 112 SGK Giải Tích 12 nâng cao): Sử dụng công thức L(dB) = ....
Bài 53 (trang 113 SGK Giải Tích 12 nâng cao): Tìm các giưới hạn sau...
Bài 54 (trang 113 SGK Giải Tích 12 nâng cao): Tìm đạo hàm của các hàm số sau...
Bài 55 (trang 113 SGK Giải Tích 12 nâng cao): Trong các hàm số sau đây, hàm số nào...
Bài 56 (trang 113 SGK Giải Tích 12 nâng cao): Vẽ đồ thị của các hàm số sau...
Đã có app VietJack trên điện thoại, giải bài tập SGK, SBT Soạn văn, Văn mẫu, Thi online, Bài giảng....miễn phí. Tải ngay ứng dụng trên Android và iOS.
Theo dõi chúng tôi miễn phí trên mạng xã hội facebook và youtube:Nếu thấy hay, hãy động viên và chia sẻ nhé! Các bình luận không phù hợp với nội quy bình luận trang web sẽ bị cấm bình luận vĩnh viễn.
- Giải Tiếng Anh 12 Global Success
- Giải sgk Tiếng Anh 12 Smart World
- Giải sgk Tiếng Anh 12 Friends Global
- Lớp 12 Kết nối tri thức
- Soạn văn 12 (hay nhất) - KNTT
- Soạn văn 12 (ngắn nhất) - KNTT
- Giải sgk Toán 12 - KNTT
- Giải sgk Vật Lí 12 - KNTT
- Giải sgk Hóa học 12 - KNTT
- Giải sgk Sinh học 12 - KNTT
- Giải sgk Lịch Sử 12 - KNTT
- Giải sgk Địa Lí 12 - KNTT
- Giải sgk Giáo dục KTPL 12 - KNTT
- Giải sgk Tin học 12 - KNTT
- Giải sgk Công nghệ 12 - KNTT
- Giải sgk Hoạt động trải nghiệm 12 - KNTT
- Giải sgk Giáo dục quốc phòng 12 - KNTT
- Giải sgk Âm nhạc 12 - KNTT
- Giải sgk Mĩ thuật 12 - KNTT
- Lớp 12 Chân trời sáng tạo
- Soạn văn 12 (hay nhất) - CTST
- Soạn văn 12 (ngắn nhất) - CTST
- Giải sgk Toán 12 - CTST
- Giải sgk Vật Lí 12 - CTST
- Giải sgk Hóa học 12 - CTST
- Giải sgk Sinh học 12 - CTST
- Giải sgk Lịch Sử 12 - CTST
- Giải sgk Địa Lí 12 - CTST
- Giải sgk Giáo dục KTPL 12 - CTST
- Giải sgk Tin học 12 - CTST
- Giải sgk Hoạt động trải nghiệm 12 - CTST
- Giải sgk Âm nhạc 12 - CTST
- Lớp 12 Cánh diều
- Soạn văn 12 Cánh diều (hay nhất)
- Soạn văn 12 Cánh diều (ngắn nhất)
- Giải sgk Toán 12 Cánh diều
- Giải sgk Vật Lí 12 - Cánh diều
- Giải sgk Hóa học 12 - Cánh diều
- Giải sgk Sinh học 12 - Cánh diều
- Giải sgk Lịch Sử 12 - Cánh diều
- Giải sgk Địa Lí 12 - Cánh diều
- Giải sgk Giáo dục KTPL 12 - Cánh diều
- Giải sgk Tin học 12 - Cánh diều
- Giải sgk Công nghệ 12 - Cánh diều
- Giải sgk Hoạt động trải nghiệm 12 - Cánh diều
- Giải sgk Giáo dục quốc phòng 12 - Cánh diều
- Giải sgk Âm nhạc 12 - Cánh diều


Giải bài tập SGK & SBT
Tài liệu giáo viên
Sách
Khóa học
Thi online
Hỏi đáp

