Giải bài 75 trang 62 SGK Giải Tích 12 nâng cao
Câu hỏi và bài tập ôn tập chương 1
Bài 75 (trang 62 sgk Giải Tích 12 nâng cao): Cho hàm số y=x4-(m+1) x2+m
a) Khảo sát sự biến thiên và vẽ đồ thị của hàm số m = 2
b) Tìm các giá trị của m sao cho đồ thị hàm số cắt trục hoành tại bốn điểm, tạo thành 3 đoạn thẳng có độ dài bằng nhau.
Lời giải:
a) Với m = 2. Hàm số y=x4-3x2+2
TXĐ: D = R
y'=4x3-6x=2x(2x2-3);y'=0 <=> x = 0; x=√6/2;x= -√6/2
Điểm cực đại x = 0; yCD=y(0)=2
Giới hạn
Bảng biên thiên
Đồ thị
Đồ thị cắt trục tung tại (0; 2)
Cắt trục hoành tại 4 điểm (-√2;0);(-1;0);(1;0);(√2,0)
b) Đặt t=x2, điều kiện t≥0. Hoành độ giao điểm của đồ thị và trục hoành là nghiệm của phương trình.
x4-(m+1) x2+m=0 (1)
<=> t2-(m+1)t+m=0 (2)
Đồ thị của hàm số cắt trục tung tại bốn điểm tạo thành 3 đoạn thẳng có độ dai bằng nhau, tức 4 điểm có hoành độ lập thành cấp số cộng.
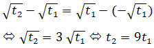
<=> Phương trình (2) có 2 nghiệm dương t1,t2 (với t1 < t2) thõa mãn điều kiện:
Điều kiện để (2) có 2 nghiệm dương phân biệt là:
Kết hợp với điều kiện (*), vậy với m = 9 hoặc m = 1/9 thì đồ thị của hàm số cắt trục hoành tại 4 điểm, tạo thành 3 đoạn thẳng bằng nhau.
Các bài giải bài tập Giải Tích 12 nâng cao Câu hỏi và bài tập ôn tập chương 1 khác:
Bài 68 (trang 61 SGK Giải Tích 12 nâng cao): Chứng minh các bất đẳng thức sau....
Bài 69 (trang 61 SGK Giải Tích 12 nâng cao): Xét chiều biến thiên và tìm cực trị...
Bài 70 (trang 61 SGK Giải Tích 12 nâng cao): Người ta định làm một cái hộp hình trụ...
Bài 71 (trang 62 SGK Giải Tích 12 nâng cao): Chu vi của một tam giác là 16cm, độ dài...
Bài 73 (trang 62 SGK Giải Tích 12 nâng cao): Cho hàm số f(x) = x3 + px + q....
Bài 74 (trang 62 SGK Giải Tích 12 nâng cao): Cho hàm số f(x) = x3 - 3x + 1...
Bài 75 (trang 62 SGK Giải Tích 12 nâng cao): Cho hàm số y = x4 - (m + 1)x2 + m...
Bài 76 (trang 63 SGK Giải Tích 12 nâng cao): Cho hàm số f(x) = x4 - x2
Bài 78 (trang 63 SGK Giải Tích 12 nâng cao): a) Vẽ đồ thị (P) của hàm số y = x2 - x + 1......
Đã có app VietJack trên điện thoại, giải bài tập SGK, SBT Soạn văn, Văn mẫu, Thi online, Bài giảng....miễn phí. Tải ngay ứng dụng trên Android và iOS.
Theo dõi chúng tôi miễn phí trên mạng xã hội facebook và youtube:Nếu thấy hay, hãy động viên và chia sẻ nhé! Các bình luận không phù hợp với nội quy bình luận trang web sẽ bị cấm bình luận vĩnh viễn.
- Giải Tiếng Anh 12 Global Success
- Giải sgk Tiếng Anh 12 Smart World
- Giải sgk Tiếng Anh 12 Friends Global
- Lớp 12 Kết nối tri thức
- Soạn văn 12 (hay nhất) - KNTT
- Soạn văn 12 (ngắn nhất) - KNTT
- Giải sgk Toán 12 - KNTT
- Giải sgk Vật Lí 12 - KNTT
- Giải sgk Hóa học 12 - KNTT
- Giải sgk Sinh học 12 - KNTT
- Giải sgk Lịch Sử 12 - KNTT
- Giải sgk Địa Lí 12 - KNTT
- Giải sgk Giáo dục KTPL 12 - KNTT
- Giải sgk Tin học 12 - KNTT
- Giải sgk Công nghệ 12 - KNTT
- Giải sgk Hoạt động trải nghiệm 12 - KNTT
- Giải sgk Giáo dục quốc phòng 12 - KNTT
- Giải sgk Âm nhạc 12 - KNTT
- Giải sgk Mĩ thuật 12 - KNTT
- Lớp 12 Chân trời sáng tạo
- Soạn văn 12 (hay nhất) - CTST
- Soạn văn 12 (ngắn nhất) - CTST
- Giải sgk Toán 12 - CTST
- Giải sgk Vật Lí 12 - CTST
- Giải sgk Hóa học 12 - CTST
- Giải sgk Sinh học 12 - CTST
- Giải sgk Lịch Sử 12 - CTST
- Giải sgk Địa Lí 12 - CTST
- Giải sgk Giáo dục KTPL 12 - CTST
- Giải sgk Tin học 12 - CTST
- Giải sgk Hoạt động trải nghiệm 12 - CTST
- Giải sgk Âm nhạc 12 - CTST
- Lớp 12 Cánh diều
- Soạn văn 12 Cánh diều (hay nhất)
- Soạn văn 12 Cánh diều (ngắn nhất)
- Giải sgk Toán 12 Cánh diều
- Giải sgk Vật Lí 12 - Cánh diều
- Giải sgk Hóa học 12 - Cánh diều
- Giải sgk Sinh học 12 - Cánh diều
- Giải sgk Lịch Sử 12 - Cánh diều
- Giải sgk Địa Lí 12 - Cánh diều
- Giải sgk Giáo dục KTPL 12 - Cánh diều
- Giải sgk Tin học 12 - Cánh diều
- Giải sgk Công nghệ 12 - Cánh diều
- Giải sgk Hoạt động trải nghiệm 12 - Cánh diều
- Giải sgk Giáo dục quốc phòng 12 - Cánh diều
- Giải sgk Âm nhạc 12 - Cánh diều


Giải bài tập SGK & SBT
Tài liệu giáo viên
Sách
Khóa học
Thi online
Hỏi đáp

