Giải bài 8 trang 8 SGK Giải Tích 12 nâng cao
Luyện tập (trang 8-9)
Bài 8 (trang 8 sgk Giải Tích 12 nâng cao): Chứng minh bất đẳng thức sau:
sinx<x với mọi x > 0; sin x > x với mọi x < 0.Lời giải:
a.
* Xét hàm số f(x) = x - sinx hàm số này liên tục trên R.
+ Xét hàm số trên nửa khoảng
Đạo hàm f’(x) = 1 - cosx > 0
Do đó hàm số đồng biến trên
Từ (1) và (2) suy ra, x > sin x với x > 0.
** Xét hàm số y= x - sin x liên tục trên R.
+ Hàm số f(x) = x – sin x trên
có đạo hàm f’(x) = 1 - cos x > 0
Do đó hàm số đồng biến trên
⇒ f(x) < f(0) hay x- sin x
+ Hiển nhiên: x < sin x với mọi
Từ(3) và (4) suy ra; x < sin x với mọi x < 0
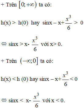
b. Hàm số
xác định trên R và có đạo hàm g’(x) = x – sin x
Dựa vào ý a) và chú ý x- sin x = 0 ⇔ x = 0, ta có bảng biến thiên của hàm g(x)
Tập xác định D = R và có đạo hàm
Suy ra, h(x) đồng biến trên R.
Các bài giải bài tập Giải Tích 12 nâng cao Bài Luyện tập (trang 8-9) khác:
Bài 6 (trang 8 SGK Giải Tích 12 nâng cao): Xét bốn chiều biến thiên của các hàm số ....
Bài 7 (trang 8 SGK Giải Tích 12 nâng cao): Chứng minh rằng hàm số: f(x) = cos2x - 2x + 3...
Bài 8 (trang 8 SGK Giải Tích 12 nâng cao): Chứng minh các bất đẳng thức sau...
Bài 9 (trang 9 SGK Giải Tích 12 nâng cao): Chứng minh rằng sinx + tanx > 2x...
Bài 10 (trang 9 SGK Giải Tích 12 nâng cao): Số dân của một thị trấn sau t năm kể từ năm...
Đã có app VietJack trên điện thoại, giải bài tập SGK, SBT Soạn văn, Văn mẫu, Thi online, Bài giảng....miễn phí. Tải ngay ứng dụng trên Android và iOS.
Theo dõi chúng tôi miễn phí trên mạng xã hội facebook và youtube:Nếu thấy hay, hãy động viên và chia sẻ nhé! Các bình luận không phù hợp với nội quy bình luận trang web sẽ bị cấm bình luận vĩnh viễn.
- Giải Tiếng Anh 12 Global Success
- Giải sgk Tiếng Anh 12 Smart World
- Giải sgk Tiếng Anh 12 Friends Global
- Lớp 12 Kết nối tri thức
- Soạn văn 12 (hay nhất) - KNTT
- Soạn văn 12 (ngắn nhất) - KNTT
- Giải sgk Toán 12 - KNTT
- Giải sgk Vật Lí 12 - KNTT
- Giải sgk Hóa học 12 - KNTT
- Giải sgk Sinh học 12 - KNTT
- Giải sgk Lịch Sử 12 - KNTT
- Giải sgk Địa Lí 12 - KNTT
- Giải sgk Giáo dục KTPL 12 - KNTT
- Giải sgk Tin học 12 - KNTT
- Giải sgk Công nghệ 12 - KNTT
- Giải sgk Hoạt động trải nghiệm 12 - KNTT
- Giải sgk Giáo dục quốc phòng 12 - KNTT
- Giải sgk Âm nhạc 12 - KNTT
- Giải sgk Mĩ thuật 12 - KNTT
- Lớp 12 Chân trời sáng tạo
- Soạn văn 12 (hay nhất) - CTST
- Soạn văn 12 (ngắn nhất) - CTST
- Giải sgk Toán 12 - CTST
- Giải sgk Vật Lí 12 - CTST
- Giải sgk Hóa học 12 - CTST
- Giải sgk Sinh học 12 - CTST
- Giải sgk Lịch Sử 12 - CTST
- Giải sgk Địa Lí 12 - CTST
- Giải sgk Giáo dục KTPL 12 - CTST
- Giải sgk Tin học 12 - CTST
- Giải sgk Hoạt động trải nghiệm 12 - CTST
- Giải sgk Âm nhạc 12 - CTST
- Lớp 12 Cánh diều
- Soạn văn 12 Cánh diều (hay nhất)
- Soạn văn 12 Cánh diều (ngắn nhất)
- Giải sgk Toán 12 Cánh diều
- Giải sgk Vật Lí 12 - Cánh diều
- Giải sgk Hóa học 12 - Cánh diều
- Giải sgk Sinh học 12 - Cánh diều
- Giải sgk Lịch Sử 12 - Cánh diều
- Giải sgk Địa Lí 12 - Cánh diều
- Giải sgk Giáo dục KTPL 12 - Cánh diều
- Giải sgk Tin học 12 - Cánh diều
- Giải sgk Công nghệ 12 - Cánh diều
- Giải sgk Hoạt động trải nghiệm 12 - Cánh diều
- Giải sgk Giáo dục quốc phòng 12 - Cánh diều
- Giải sgk Âm nhạc 12 - Cánh diều


Giải bài tập SGK & SBT
Tài liệu giáo viên
Sách
Khóa học
Thi online
Hỏi đáp

