Giải bài 96 trang 132 SGK Giải Tích 12 nâng cao
Câu hỏi và bài tập ôn tập chương 2
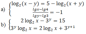
Bài 96 (trang 132 sgk Giải Tích 12 nâng cao): Giải các hệ phương trình:
Lời giải:
a) ĐKXĐ; x-y>0;x+y>0;y ≠ 3
Hệ Phương trình tương dương với
Kết hợp với điều kiện, vậy nghiệm của hệ phương trình là: (x; y) = (6; 2)
b) Đặt u=log2x;v=3x (v>0) ta có hệ Phương trình
Vậy hệ Phương trình có nghiệm (x, y) là (512; 1)
Các bài giải bài tập Giải Tích 12 nâng cao Câu hỏi và bài tập ôn tập chương 2 khác:
Bài 84 (trang 130 SGK Giải Tích 12 nâng cao): So sánh p và q, biết....
Bài 85 (trang 130 SGK Giải Tích 12 nâng cao): Cho x < 0. Chứng minh rằng...
Bài 86 (trang 130 SGK Giải Tích 12 nâng cao): Tính: a) A = 92log34 + 4log812...
Bài 87 (trang 130 SGK Giải Tích 12 nâng cao): Chứng minh rằng log23 > log34...
Bài 89 (trang 131 SGK Giải Tích 12 nâng cao): Chứng minh rằng hàm số....
Bài 90 (trang 131 SGK Giải Tích 12 nâng cao): Giả sử đồ thị (G) của hàm số...
Bài 92 (trang 131 SGK Giải Tích 12 nâng cao): Các loại cây xanh trong quá trình quang hợp...
Bài 93 (trang 131 SGK Giải Tích 12 nâng cao): Giải các phương trình...
Bài 94 (trang 131 SGK Giải Tích 12 nâng cao): Giải các phương trình...
Bài 95 (trang 132 SGK Giải Tích 12 nâng cao): Giải các phương trình: 4x - 3x = 1...
Bài 96 (trang 132 SGK Giải Tích 12 nâng cao): Giải các hệ phương trình...
Bài 97 (trang 132 SGK Giải Tích 12 nâng cao): Giải các bất phương trình...
Đã có app VietJack trên điện thoại, giải bài tập SGK, SBT Soạn văn, Văn mẫu, Thi online, Bài giảng....miễn phí. Tải ngay ứng dụng trên Android và iOS.
Theo dõi chúng tôi miễn phí trên mạng xã hội facebook và youtube:Nếu thấy hay, hãy động viên và chia sẻ nhé! Các bình luận không phù hợp với nội quy bình luận trang web sẽ bị cấm bình luận vĩnh viễn.
- Giải Tiếng Anh 12 Global Success
- Giải sgk Tiếng Anh 12 Smart World
- Giải sgk Tiếng Anh 12 Friends Global
- Lớp 12 Kết nối tri thức
- Soạn văn 12 (hay nhất) - KNTT
- Soạn văn 12 (ngắn nhất) - KNTT
- Giải sgk Toán 12 - KNTT
- Giải sgk Vật Lí 12 - KNTT
- Giải sgk Hóa học 12 - KNTT
- Giải sgk Sinh học 12 - KNTT
- Giải sgk Lịch Sử 12 - KNTT
- Giải sgk Địa Lí 12 - KNTT
- Giải sgk Giáo dục KTPL 12 - KNTT
- Giải sgk Tin học 12 - KNTT
- Giải sgk Công nghệ 12 - KNTT
- Giải sgk Hoạt động trải nghiệm 12 - KNTT
- Giải sgk Giáo dục quốc phòng 12 - KNTT
- Giải sgk Âm nhạc 12 - KNTT
- Giải sgk Mĩ thuật 12 - KNTT
- Lớp 12 Chân trời sáng tạo
- Soạn văn 12 (hay nhất) - CTST
- Soạn văn 12 (ngắn nhất) - CTST
- Giải sgk Toán 12 - CTST
- Giải sgk Vật Lí 12 - CTST
- Giải sgk Hóa học 12 - CTST
- Giải sgk Sinh học 12 - CTST
- Giải sgk Lịch Sử 12 - CTST
- Giải sgk Địa Lí 12 - CTST
- Giải sgk Giáo dục KTPL 12 - CTST
- Giải sgk Tin học 12 - CTST
- Giải sgk Hoạt động trải nghiệm 12 - CTST
- Giải sgk Âm nhạc 12 - CTST
- Lớp 12 Cánh diều
- Soạn văn 12 Cánh diều (hay nhất)
- Soạn văn 12 Cánh diều (ngắn nhất)
- Giải sgk Toán 12 Cánh diều
- Giải sgk Vật Lí 12 - Cánh diều
- Giải sgk Hóa học 12 - Cánh diều
- Giải sgk Sinh học 12 - Cánh diều
- Giải sgk Lịch Sử 12 - Cánh diều
- Giải sgk Địa Lí 12 - Cánh diều
- Giải sgk Giáo dục KTPL 12 - Cánh diều
- Giải sgk Tin học 12 - Cánh diều
- Giải sgk Công nghệ 12 - Cánh diều
- Giải sgk Hoạt động trải nghiệm 12 - Cánh diều
- Giải sgk Giáo dục quốc phòng 12 - Cánh diều
- Giải sgk Âm nhạc 12 - Cánh diều


Giải bài tập SGK & SBT
Tài liệu giáo viên
Sách
Khóa học
Thi online
Hỏi đáp

