Giải Toán 8 VNEN Bài 3: Một số phương trình đưa được về dạng phương trình ax + b = 0
A.B. Hoạt động khởi động và hình thành kiến thức
1 (Trang 12 Toán 8 VNEN Tập 2)
Phương trình có hai vế là hai biểu thức hữu tỉ của ẩn và không chứa ẩn ở mẫu
a) Giải các phương trình sau:
Lời giải:
b) Giải các phương trình sau (theo mẫu)
(2x + 1) - 6 = 7 - 2x; 2(x - 1) + 3 = (x + 4) - 1.
Lời giải:
* Ta có:
(2x + 1) - 6 = 7 - 2x
⇔ 2x + 1 - 6 = 7 - 2x
⇔ 2x + 2x = 7 + 6 - 1
⇔ 4x = 12
⇔ x = 3.
* Ta có:
2(x - 1) + 3 = (x + 4) - 1
⇔ 2x - 2 + 3 = x + 4 - 1
⇔ 2x - x = 4 - 1 - 3 + 2
⇔ x = 2.
c) Giải các phương trình sau (theo mẫu)
Lời giải:
2 (Trang 13 Toán 8 VNEN Tập 2)
Phương trình tích
c) Giải các phương trình sau
Lời giải:
* Ta có:
(-2x + 4)(9 - 3x) = 0
⇔ -2x + 4 = 0 hoặc 9 - 3x =0
⇔ x = 2 hoặc x = 3.
Tập nghiệm của phương trình là S = {2; 3}
* Ta có:
Tập nghiệm của phương trình là
3 (Trang 14 Toán 8 VNEN Tập 2)
Phương trình chứa ẩn ở mẫu
c) Giải các phương trình sau
Lời giải:
Điều kiện xác định của phương trình: x ≠ -3 và x ≠ 3.
Với điều kiện trên ta có
Đối chiếu x = 0 thõa mãn điều kiện xác định
Kết luận: Tập nghiệm của phương trình là S ={0}.
Điều kiện xác định của phương trình: x ≠ 2.
Với điều kiện trên ta có:
Đối chiếu x = thõa mãn điều kiện xác định
Kết luận: Tập nghiệm của phương trình là S ={}.
C. Hoạt động luyện tập
1 (Trang 15 Toán 8 VNEN Tập 2)
a) 4x - 3 = 4 - 3x ;
b) 3 + (x - 5) = 2(3x - 2) ;
c) 2(x - 0,5) + 3 = 0,25 (4x - 1);
Lời giải:
a) Ta có: 4x - 3 = 4 - 3x
⇔ 4x + 3x = 4 + 3
⇔ 7x = 7
⇔ x = 1.
b) Ta có: 3 + (x - 5) = 2(3x - 2)
⇔ 3 + x - 5 = 6x - 4
⇔ 3 - 5 + 4 = 6x - x
⇔ 2 = 5x
⇔
c) Ta có: 2(x - 0,5) + 3 = 0,25 (4x - 1)
⇔ 2x - 1 + 3 = x - 0,25
⇔ 2x - x = - 0,25 - 3 + 1
⇔
d) Ta có:
Suy ra phương trình vô nghiệm
Vậy tập nghiệm S = ⊘
2 (Trang 15 Toán 8 VNEN Tập 2)
Giải các phương trình:
Lời giải:
3 (Trang 15 Toán 8 VNEN Tập 2)
Giải các phương trình:
a) (x - 2)(2x - 5) = 0 ;
b) (0,2x - 3)(0,5x - 8) = 0 ;
c) 2x(x - 6) + 3(x - 6) =0 ;
d) (x - 1)(2x - 4)(3x - 9) = 0.
Lời giải:
a) Ta có: (x - 2)(2x - 5) = 0
⇔ x - 2 = 0 hoặc 2x - 5 = 0
⇔ x = 2 hoặc x =
Tập nghiệm của phương trình là S = {2;}
b) Ta có: (0,2x - 3)(0,5x - 8) = 0
⇔ 0,2x - 3 = 0 hoặc 0,5x - 8 = 0
⇔ x = 15 hoặc x = 16
Tập nghiệm của phương trình là S = {15; 16}
c) Ta có: 2x(x - 6) + 3(x - 6) =0
⇔ 2x(x - 6) = 0 hoặc 3(x - 6) = 0
⇔ x = 0 hoặc x = 6
Tập nghiệm của phương trình là S = {0; 6}
d) Ta có: (x - 1)(2x - 4)(3x - 9) = 0
⇔ x - 1 = 0 hoặc 2x - 4 = 0 hoặc 3x - 9 = 0
⇔ x = 1 hoặc x = 2 hoặc x = 3
Tập nghiệm của phương trình là S = {1; 2; 3}.
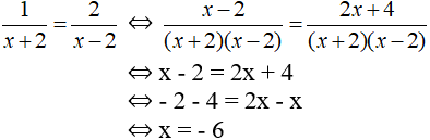
4 (Trang 15 Toán 8 VNEN Tập 2)
Giải các phương trình:
Lời giải:
Điều kiện xác định của phương trình: x ≠ -2 và x ≠ 2
Với điều kiện trên ta có
Đối chiếu x = - 6 thõa mãn điều kiện xác định
Kết luận: Tập nghiệm của phương trình là S ={- 6}.
Đối chiếu x = - 1 không thõa mãn điều kiện xác định
Kết luận: Tập nghiệm của phương trình là S = ⊘.
5 (Trang 15 Toán 8 VNEN Tập 2)
Giải các phương trình:
Lời giải:
Điều kiện xác định của phương trình: x ≠ 0 và x ≠ 12
Với điều kiện trên ta có
Đối chiếu x = 1 thõa mãn điều kiện xác định
Kết luận: Tập nghiệm của phương trình là S ={1}
Điều kiện xác định của phương trình: x ≠ - 1
Với điều kiện trên ta có
Đối chiếu x = - 2 thõa mãn điều kiện xác định
Kết luận: Tập nghiệm của phương trình là S ={-2}
Điều kiện xác định của phương trình: x ≠ - 1 và x ≠ 0
Với điều kiện trên ta có
Đối chiếu x = - 3 thõa mãn điều kiện xác định
Kết luận: Tập nghiệm của phương trình là S ={- 3}
D.E. Hoạt động vận dụng và tìm tòi mở rộng
1 (Trang 16 Toán 8 VNEN Tập 2)
Hai đội công nhân cùng làm xong một công việc trong 8 ngày. Tính xem nếu mỗi đội phải làm một mình thì bao lâu xong công việc đó, biết rằng để hoàn thành công việc một mình, đội Hai cần nhiều hơn đội Một là 12 ngày.
Lời giải:
Gọi số ngày đội Một cần để làm xong công việc một mình là x (x>0)
Do đội Hai cần nhiều hơn đội Một là 12 ngày nên số ngày đội Hai cần để làm xong công việc một mình là x + 12
2 (Trang 16 Toán 8 VNEN Tập 2)
Cho phương trình ẩn x: (a,b là tham số)
a) Giải phương trình theo b khi a = 3
b) Tìm a và b để x = 4 và x = 6 là hai nghiệm của phương trình.
Lời giải:
a) Thay a = 3 vào phương trình ta có
Để x = 4 và x = 6 là nghiệm của phương trình thì x = 4 và x = 6 phải thõa mãn phương trình (1)
* Thay x = 4 vào (1) ta được: 16 - 16b + 4b2 = a2 (2)
* Thay x = 6 vào (1) ta được: 36 - 24b + 4b2 = a2 (3)
Lấy (2) - (3) theo vế:
16 - 16b + 4b2 - 36 + 24b - 4b2 = a2 - a2
Thay b = vào (2) ta có:
16 - 40 + 25= a2
⇔ a2 = 1
⇔ a = 1 hoặc a = - 1
Vậy (a; b) = (1 ; ) , (- 1;
).
Xem thêm các bài Giải bài tập Toán lớp 8 chương trình VNEN hay khác:
- Bài 1: Mở đầu về phương trình
- Bài 2: Phương trình bậc nhất một ẩn
- Bài 4: Luyện tập
- Bài 5: Giải bài toán bằng cách lập phương trình
- Bài 6: Ôn tập chương III
Tủ sách VIETJACK shopee lớp 6-8 (2025):
Đã có app VietJack trên điện thoại, giải bài tập SGK, SBT Soạn văn, Văn mẫu, Thi online, Bài giảng....miễn phí. Tải ngay ứng dụng trên Android và iOS.
Theo dõi chúng tôi miễn phí trên mạng xã hội facebook và youtube:Loạt bài Giải bài tập Toán 8 (sgk, sbt, vbt) của chúng tôi được biên soạn bám sát sách Toán 8 Tập 1 & Tập 2 chương trình mới.
Nếu thấy hay, hãy động viên và chia sẻ nhé! Các bình luận không phù hợp với nội quy bình luận trang web sẽ bị cấm bình luận vĩnh viễn.
- Giải Tiếng Anh 8 Global Success
- Giải sgk Tiếng Anh 8 Smart World
- Giải sgk Tiếng Anh 8 Friends plus
- Lớp 8 - Kết nối tri thức
- Soạn văn 8 (hay nhất) - KNTT
- Soạn văn 8 (ngắn nhất) KNTT
- Giải sgk Toán 8 - KNTT
- Giải sgk Khoa học tự nhiên 8 - KNTT
- Giải sgk Lịch Sử 8 - KNTT
- Giải sgk Địa Lí 8 - KNTT
- Giải sgk Giáo dục công dân 8 - KNTT
- Giải sgk Tin học 8 - KNTT
- Giải sgk Công nghệ 8 - KNTT
- Giải sgk Hoạt động trải nghiệm 8 - KNTT
- Giải sgk Âm nhạc 8 - KNTT
- Lớp 8 - Chân trời sáng tạo
- Soạn văn 8 (hay nhất) - CTST
- Soạn văn 8 (ngắn nhất) - CTST
- Giải sgk Toán 8 - CTST
- Giải sgk Khoa học tự nhiên 8 - CTST
- Giải sgk Lịch Sử 8 - CTST
- Giải sgk Địa Lí 8 - CTST
- Giải sgk Giáo dục công dân 8 - CTST
- Giải sgk Tin học 8 - CTST
- Giải sgk Công nghệ 8 - CTST
- Giải sgk Hoạt động trải nghiệm 8 - CTST
- Giải sgk Âm nhạc 8 - CTST
- Lớp 8 - Cánh diều
- Soạn văn 8 Cánh diều (hay nhất)
- Soạn văn 8 Cánh diều (ngắn nhất)
- Giải sgk Toán 8 - Cánh diều
- Giải sgk Khoa học tự nhiên 8 - Cánh diều
- Giải sgk Lịch Sử 8 - Cánh diều
- Giải sgk Địa Lí 8 - Cánh diều
- Giải sgk Giáo dục công dân 8 - Cánh diều
- Giải sgk Tin học 8 - Cánh diều
- Giải sgk Công nghệ 8 - Cánh diều
- Giải sgk Hoạt động trải nghiệm 8 - Cánh diều
- Giải sgk Âm nhạc 8 - Cánh diều


Giải bài tập SGK & SBT
Tài liệu giáo viên
Sách
Khóa học
Thi online
Hỏi đáp

