Giải Toán 8 VNEN Bài 4: Luyện tập
C. Hoạt động luyện tập
1 (Trang 16 Toán 8 VNEN Tập 2)
I. ÔN TẬP
Trong các mệnh đề sau, mệnh đề nào đúng, mệnh đề nào sai?
1. Phương trình bậc nhất một ẩn x có dạng ax + b = 0 (a,b ϵ R cho trước).
2. Phương trình bậc nhất một ẩn luôn có nghiệm duy nhất.
3. Phương trình có nghiệm duy nhất luôn là phương trình bậc nhất một ẩn.
4. Hai phương trình 15x - 10 = 5x + 6 và 10x = 16 là hai phương trình tương đương.
Lời giải:
Mệnh đề 1, 3 là các mệnh đề sai
Mệnh đề 2,4 là các mệnh đề đúng
2 (Trang 16 Toán 8 VNEN Tập 2)
Chọn câu trả lời đúng:
1.Tập nghiệm của phương trình (2x + 1)(x - 3) = 0 là:
2. Tập nghiệm của phương trình x(x + 1) = 2(x + 1) là
A: {2} ;
B: {0;−1} ;
C: {2;−1} ;
D: ⊘
Lời giải:
1. Ta có:
2. Ta có:
x(x + 1) = 2(x + 1)
⇔ x(x + 1) - 2(x + 1) = 0
⇔ (x +1)(x - 2) = 0
⇔ x + 1 = 0 hoặc x - 2 = 0
⇔ x = - 1 hoặc x = 2
Vậy tập nghiệm của phương trình là
S = {- 1; 2}
Suy ra đáp án là C
3 (Trang 17 Toán 8 VNEN Tập 2)
Ghép mỗi phương trình với điều kiện xác định tương ứng:
Lời giải:
II. BÀI TẬP LUYỆN TẬP
1 (Trang 17 Toán 8 VNEN Tập 2)
Hãy chỉ ra phương trình bậc nhất trong các phương trình sau:
a)1 + x = 0 ;
b) x + x2 = 0 ;
c) 1 - 2t = 0 ;
d) 3y = 0 ;
e) 0x - 3 = 0.
Lời giải:
Phương trình bậc nhất một ẩn là phương trình có dạng ax + b = 0 (x là ẩn; a,b là hai số đã cho, a ≠ 0).
Do đó các phương trình a), c), d) là phương trình bậc nhất một ẩn.
2 (Trang 17 Toán 8 VNEN Tập 2)
Giải các phương trình:
a) 4x - 20 = 0 ;
b) 2x + x + 12 = 0 ;
c) x - 5 = 3 - x ;
d) 7 - 3x = 9 - x.
Lời giải:
a) Ta có:
4x - 20 = 0 ⇔ x = 5
b) Ta có:
2x + x + 12 = 0 ⇔ 3x = - 12 ⇔ x = - 4
c) Ta có:
x - 5 = 3 - x ⇔ x + x = 3 + 5 ⇔ 2x = 8 ⇔ x = 4
d) Ta có:
7 - 3x = 9 - x ⇔ - 3x + x = 9 - 7 ⇔ - 2x = 2 ⇔ x = - 1.
3 (Trang 17 Toán 8 VNEN Tập 2)
Giải các phương trình:
a) 7 + 2x = 22 - 3x ;
b) 8x - 3 = 5x + 12;
c) x - 12 + 4x = 25 + 2x - 1 ;
d) x + 2x + 3x - 19 = 3x + 5 ;
e) 7 - (2x + 4) = - (x + 4) ;
f) (x - 1) - (2x - 1 ) = 9 - x.
Lời giải:
a) Ta có:
7 + 2x = 22 - 3x ⇔ 2x + 3x = 22 - 7 ⇔ 5x = 15 ⇔ x = 3
b) Ta có:
8x - 3 = 5x + 12 ⇔ 8x - 5x = 12 + 3 ⇔ 3x = 15 ⇔ x = 5
c) Ta có:
x - 12 + 4x = 25 + 2x - 1 ⇔ x + 4 x - 2x = 25 - 1 + 12 ⇔ 3x = 36 ⇔ x = 12
d) Ta có:
x + 2x + 3x - 19 = 3x + 5 ⇔ x + 2x + 3x - 3x = 5 + 19 ⇔ 3x = 24 ⇔ x = 8
e) Ta có:
7 - (2x + 4) = - (x + 4) ⇔ 7 - 2x - 4 = - x - 4 ⇔ - 2x + x = - 4 + 4 - 7 ⇔ x = 7
f) Ta có:
(x - 1) - (2x - 1 ) = 9 - x ⇔ x - 1 - 2x + 1 = 9 - x ⇔ x - 2x + x = 9 - 1 + 1 ⇔ 0x = 9 suy ra phương trình vô nghiệm
4 (Trang 17 Toán 8 VNEN Tập 2)
Giải các phương trình:
a) (3x - 2)(4x + 5) = 0 ;
b) (2,3x - 6,9)(0,1x + 2) = 0 ;
c) (4x + 2 )(x2 + 1) = 0 ;
d) (2x + 7)(x - 5)(5x + 1) = 0.
Lời giải:
a) Ta có:
(3x - 2)(4x + 5) = 0 ⇔ 3x - 2 = 0 hoặc 4x + 5 = 0 ⇔
b) Ta có:
(2,3x - 6,9)(0,1x + 2) = 0 ⇔ 2,3x - 6,9 = 0 hoặc 0,1x + 2 = 0 ⇔ x = 3 hoặc x = - 20
c) Ta có:
(4x + 2 )(x2 + 1) = 0 ⇔ 4x + 2 = 0 hoặc x2 + 1 = 0 ⇔ hoặc x2 = -1 (vô nghiệm)
Suy ra nghiệm của phương trình là
d) Ta có:
(2x + 7)(x - 5)(5x + 1) = 0 ⇔ 2x + 7 = 0 hoặc x - 5 = 0 hoặc 5x + 1 = 0
5 (Trang 17 Toán 8 VNEN Tập 2)
Bằng cách phân tích vế trái thành nhân tử, giải các phương trình sau:
a) 2x(x - 3) + 5(x - 3) = 0 ;
b) (x2 - 4) + (x - 2)(3 - 2x) = 0 ;
c) x3 - 3x2 + 3x - 1 = 0 ;
d) x(2x - 7) - 4x + 14 = 0 ;
e) (2x−5)2 - (x+2)2 = 0 ;
f) x2 - x - (3x - 3) = 0.
Lời giải:
a) Ta có:
2x(x - 3) + 5(x - 3) = 0 ⇔ (2x + 5)(x - 3) = 0
b) Ta có:
(x2 - 4) + (x - 2)(3 - 2x) = 0
⇔ (x - 2)(x + 2) + (x - 2)(3 - 2x) = 0
⇔ (x - 2)( x + 2 + 3 - 2x ) = 0
⇔ x - 2 = 0 hoặc - x + 5 = 0
⇔ x = 2 hoặc x = 5
c) Ta có:
x3 - 3x2 + 3x - 1 = 0 ⇔ (x−1)3 = 0 ⇔ x - 1 = 0 ⇔ x = 1
d) Ta có:
x(2x - 7) - 4x + 14 = 0
⇔ x(2x - 7) - 2(x - 7) = 0
⇔ (x - 2)(2x - 7) = 0
⇔ x - 2 = 0 hoặc 2x - 7 = 0
⇔ x = 2 hoặc x =
e) Ta có:
(2x−5)2 - (x+2)2 = 0
⇔ (2x - 5 - x - 2)(2x - 5 + x + 2) = 0
⇔ x - 7 = 0 hoặc 3x - 3 = 0
⇔ x = 7 hoặc x = 1
f) Ta có:
x2 - x - (3x - 3) = 0
⇔ x2 - x - 3x + 3 = 0
⇔ x2 - 4x + 3 = 0
⇔ (x - 3)(x - 1) = 0
⇔ x - 3 = 0 hoặc x - 1 = 0
⇔ x = 3 hoặc x = 1
6 (Trang 17 Toán 8 VNEN Tập 2)
Giải các phương trình:
Lời giải:
Điều kiện xác định của phương trình: x ≠ - 5
Với điều kiện trên ta có
Đối chiếu x = - 20 thõa mãn điều kiện xác định
Kết luận: Tập nghiệm của phương trình là S ={- 20}.
Điều kiện xác định của phương trình: x ≠ 0
Với điều kiện trên ta có
Đối chiếu x = - 4 thõa mãn điều kiện xác định
Kết luận: Tập nghiệm của phương trình là S ={ - 4}.
Điều kiện xác định của phương trình: x ≠ 3
Với điều kiện trên ta có
Đối chiếu x = - 2 thõa mãn điều kiện xác định
Kết luận: Tập nghiệm của phương trình là S ={- 2}.
Điều kiện xác định của phương trình: x ≠ −23
Với điều kiện trên ta có
Đối chiếu x = 1 và x = thõa mãn điều kiện xác định
Kết luận: Tập nghiệm của phương trình là S ={1; }.
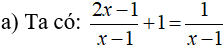
7 (Trang 18 Toán 8 VNEN Tập 2)
Giải các phương trình:
Lời giải:
Điều kiện xác định của phương trình: x ≠ 1
Với điều kiện trên ta có
Đối chiếu x = 1 không thõa mãn điều kiện xác định
Kết luận: Tập nghiệm của phương trình là S = ⊘
Điều kiện xác định của phương trình: x ≠ - 1
Với điều kiện trên ta có
Đối chiếu x = - 2 thõa mãn điều kiện xác định
Kết luận: Tập nghiệm của phương trình là S ={- 2}.
Điều kiện xác định của phương trình: x ≠ 0
Với điều kiện trên ta có
Đối chiếu x = 1 thõa mãn điều kiện xác định
Kết luận: Tập nghiệm của phương trình là S ={1}.
Điều kiện xác định của phương trình: x ≠ 0 và x ≠ - 1
Với điều kiện trên ta có
Suy ra phương trình vô nghiệm
Kết luận: Tập nghiệm của phương trình là S = ⊘
D+E. Hoạt động vận dụng và tìm tòi mở rộng
1 (Trang 18 Toán 8 VNEN Tập 2)
Một xe máy khởi hành từ Hà Nội đi Hải Phòng với vận tốc trung bình 35km/h. Sau đó 1 giờ, một ô tô cũng khởi hành từ Hà Nội đi Hải Phòng, cùng đường với xe máy với vận tốc trung bình 55km/h. Hãy viết phương trình biểu thị việc ô tô gặp xe máy sau x giờ, kể từ khi ô tô khởi hành
Lời giải:
Do xe máy khởi hành trước ô tô 1 giờ nên sau x giờ (kể từ khi ô tô khởi hành) xe máy và ô tô gặp nhau thì xe máy đã đi được x + 1 giờ
Quãng đường ô tô đi được là: 55x (km)
Quãng đường xe máy đi được là: 35(x + 1) (km)
Do quãng đường ô tô và xe máy đi được là bằng nhau nên ta có:
55x = 35(x + 1)
Vậy phương trình biểu thị việc ô tô gặp xe máy sau x giờ là 55x = 35(x + 1)
2 (Trang 18 Toán 8 VNEN Tập 2)
Bác An gửi vào quỹ tiết kiệm x nghìn đồng với lãi suất mỗi tháng là r% (r là một số dương cho trước) và lãi tháng này được tính gộp vào vốn cho tháng sau.
a) Hãy viết biểu thức biểu thị:
+ Số tiền lãi sau tháng thứ nhất;
+ Số tiền (cả gốc lẫn lãi) có được sau tháng thứ nhất;
+ Tổng số tiền lãi có được sau tháng thứ hai.
b) Nếu lãi suất là 0,5% mỗi tháng và sau hai tháng tổng số tiền cả gốc lẫn lãi là 20 200 500 đồng thì lúc đầu bác An đã gửi bao nhiêu tiền tiết kiệm?
Lời giải:
a) + Số tiền lãi sau tháng thứ nhất là: x.r% (đồng)
+ Số tiền (cả gốc lẫn lãi) có được sau tháng thứ nhất là: x + x.r% (đồng)
+ Số tiền gốc vào tháng thứ hai bằng số tiền gốc ban đầu và tiền lãi của tháng thứ nhất, là: x + x.r% (đồng)
Do đó số tiền lãi sau tháng thứ hai là: (x + x.r%).r% (đồng)
b) Sau hai tháng ta có công thức biểu thị số tiền cả gốc lẫn lãi là: x + x.r% + (x + x.r%).r% =
Theo bài ra, sau hai tháng tổng số tiền cả gốc lẫn lãi là 20 200 500 đồng
Tức là: x(1 + r%)2 = 20 200 500
⇔ x(1 + 0,5%)2 = 20 200 500
⇔ x = 20 000 000
Vậy lúc đầu bác An đã gửi 20 000 000 đồng tiền tiết kiệm.
Xem thêm các bài Giải bài tập Toán lớp 8 chương trình VNEN hay khác:
- Bài 1: Mở đầu về phương trình
- Bài 2: Phương trình bậc nhất một ẩn
- Bài 3: Một số phương trình đưa được về dạng phương trình ax + b = 0
- Bài 5: Giải bài toán bằng cách lập phương trình
- Bài 6: Ôn tập chương III
Tủ sách VIETJACK shopee lớp 6-8 (2025):
Đã có app VietJack trên điện thoại, giải bài tập SGK, SBT Soạn văn, Văn mẫu, Thi online, Bài giảng....miễn phí. Tải ngay ứng dụng trên Android và iOS.
Theo dõi chúng tôi miễn phí trên mạng xã hội facebook và youtube:Loạt bài Giải bài tập Toán 8 (sgk, sbt, vbt) của chúng tôi được biên soạn bám sát sách Toán 8 Tập 1 & Tập 2 chương trình mới.
Nếu thấy hay, hãy động viên và chia sẻ nhé! Các bình luận không phù hợp với nội quy bình luận trang web sẽ bị cấm bình luận vĩnh viễn.
- Giải Tiếng Anh 8 Global Success
- Giải sgk Tiếng Anh 8 Smart World
- Giải sgk Tiếng Anh 8 Friends plus
- Lớp 8 - Kết nối tri thức
- Soạn văn 8 (hay nhất) - KNTT
- Soạn văn 8 (ngắn nhất) KNTT
- Giải sgk Toán 8 - KNTT
- Giải sgk Khoa học tự nhiên 8 - KNTT
- Giải sgk Lịch Sử 8 - KNTT
- Giải sgk Địa Lí 8 - KNTT
- Giải sgk Giáo dục công dân 8 - KNTT
- Giải sgk Tin học 8 - KNTT
- Giải sgk Công nghệ 8 - KNTT
- Giải sgk Hoạt động trải nghiệm 8 - KNTT
- Giải sgk Âm nhạc 8 - KNTT
- Lớp 8 - Chân trời sáng tạo
- Soạn văn 8 (hay nhất) - CTST
- Soạn văn 8 (ngắn nhất) - CTST
- Giải sgk Toán 8 - CTST
- Giải sgk Khoa học tự nhiên 8 - CTST
- Giải sgk Lịch Sử 8 - CTST
- Giải sgk Địa Lí 8 - CTST
- Giải sgk Giáo dục công dân 8 - CTST
- Giải sgk Tin học 8 - CTST
- Giải sgk Công nghệ 8 - CTST
- Giải sgk Hoạt động trải nghiệm 8 - CTST
- Giải sgk Âm nhạc 8 - CTST
- Lớp 8 - Cánh diều
- Soạn văn 8 Cánh diều (hay nhất)
- Soạn văn 8 Cánh diều (ngắn nhất)
- Giải sgk Toán 8 - Cánh diều
- Giải sgk Khoa học tự nhiên 8 - Cánh diều
- Giải sgk Lịch Sử 8 - Cánh diều
- Giải sgk Địa Lí 8 - Cánh diều
- Giải sgk Giáo dục công dân 8 - Cánh diều
- Giải sgk Tin học 8 - Cánh diều
- Giải sgk Công nghệ 8 - Cánh diều
- Giải sgk Hoạt động trải nghiệm 8 - Cánh diều
- Giải sgk Âm nhạc 8 - Cánh diều


Giải bài tập SGK & SBT
Tài liệu giáo viên
Sách
Khóa học
Thi online
Hỏi đáp

