Giải Toán 10 trang 80 Kết nối tri thức, Chân trời sáng tạo, Cánh diều
Trọn bộ lời giải bài tập Toán 10 trang 80 Tập 2 Kết nối tri thức, Chân trời sáng tạo, Cánh diều sẽ giúp học sinh dễ dàng làm bài tập Toán lớp 10 trang 80. Bạn vào trang hoặc Xem lời giải để theo dõi chi tiết.
Giải Toán 10 trang 80 Kết nối tri thức, Chân trời sáng tạo, Cánh diều
- Toán lớp 10 trang 80 Tập 1 (sách mới):
- Toán lớp 10 trang 80 Tập 2 (sách mới):
Lưu trữ: Giải Toán lớp 10 trang 80 sách cũ
Video Giải Bài 1 trang 80 SGK Hình học 10 - Cô Ngô Hoàng Ngọc Hà (Giáo viên VietJack)
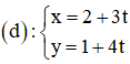
Bài 1 (trang 80 SGK Hình học 10): Lập phương trình tham số của đường thằng d trong mỗi trường hợp sau:
a) d đi qua điểm M(2; 1) và có vec tơ chỉ phương
;
b) d đi qua điểm M(–2; 3) và có vec tơ pháp tuyến
.
Lời giải
a) Phương trình tham số của d là:
b) d nhận
là 1 vec tơ pháp tuyến
⇒ d nhận
là 1 vec tơ chỉ phương
Phương trình tham số của đường thẳng d là:
Kiến thức áp dụng
– Các định nghĩa
+ Vec tơ chỉ phương của một đường thẳng là vec tơ có giá song song hoặc trùng với đường thẳng đó, thường được kí hiệu là vec tơ u→.
+ Vec tơ pháp tuyến là vec tơ có giá vuông góc với đường thẳng đó, thường được kí hiệu là vec tơ n→.
+ Một đường thẳng có vô số vec tơ chỉ phương và vec tơ pháp tuyến.
+ Ta luôn có :
. Do đó nếu biết
thì ta thường chọn
và ngược lại.
– Để viết phương trình tham số của một đường thẳng ta cần :
+ Tìm một điểm M(x0; y0) nằm trên đường thẳng .
+ Tìm 1 vec tơ chỉ phương
Khi đó phương trình tham số của đường thẳng là:
Xem thêm các bài giải bài tập Toán Hình học 10 Bài 1: Phương trình đường thẳng:
Trả lời câu hỏi Toán 10 Hình học Bài 1 trang 70 : Trong mặt phẳng Oxy cho đường thẳng....
Trả lời câu hỏi Toán 10 Hình học Bài 1 trang 71 : Hãy tìm một điểm có tọa độ ....
Trả lời câu hỏi Toán 10 Hình học Bài 1 trang 72 : Tính hệ số góc của đường thẳng d ....
Trả lời câu hỏi Toán 10 Hình học Bài 1 trang 73 : Cho đường thẳng Δ có phương trình ....
Trả lời câu hỏi Toán 10 Hình học Bài 1 trang 74 : Hãy chứng minh nhận xét trên....
Trả lời câu hỏi Toán 10 Hình học Bài 1 trang 76 : Trong mặt phẳng Oxy, hãy vẽ các....
Trả lời câu hỏi Toán 10 Hình học Bài 1 trang 77 : Xét vị trí tương đối của đường thẳng ....
Trả lời câu hỏi Toán 10 Hình học Bài 1 trang 78 : Cho hình chữ nhật ABCD có ....
Trả lời câu hỏi Toán 10 Hình học Bài 1 trang 80 : Tính khoảng cách từ các điểm ....
Bài 2 (trang 80 SGK Hình học 10): Lập phương trình tổng quát của đường thẳng...
Bài 3 (trang 80 SGK Hình học 10): Cho tam giác ABC biết A(1; 4), B(3; -1) và C(6; 2)...
Bài 4 (trang 80 SGK Hình học 10): Viết phương trình tổng quát của đường thẳng đi qua điểm ...
Bài 5 (trang 80 SGK Hình học 10): Xét vị trí tương đối của các cặp đường ...
Bài 6 (trang 80 SGK Hình học 10): Cho đường thẳng d có phương trình tham số ...
Bài 7 (trang 81 SGK Đại Số 10): Tìm số đo của góc giữa hai đường thẳng ...
Bài 8 (trang 81 SGK Đại Số 10): Tìm khoảng cách từ một điểm đến đường thẳng ...
Bài 9 (trang 81 SGK Đại Số 10): Tìm bán kính của đường tròn tâm C(-2; -2) ...
Xem thêm các bài giải bài tập Toán lớp 10 hay, chi tiết khác:
- Bài 1: Phương trình đường thẳng
- Bài 2: Phương trình đường tròn
- Bài 3: Phương trình đường elip
- Ôn tập chương 3
- Ôn tập cuối năm hình học 10
Để học tốt lớp 10 các môn học sách mới:
- Giải bài tập Lớp 10 Kết nối tri thức
- Giải bài tập Lớp 10 Chân trời sáng tạo
- Giải bài tập Lớp 10 Cánh diều
Tủ sách VIETJACK shopee lớp 10-11 (cả 3 bộ sách):
Đã có app VietJack trên điện thoại, giải bài tập SGK, SBT Soạn văn, Văn mẫu, Thi online, Bài giảng....miễn phí. Tải ngay ứng dụng trên Android và iOS.
Theo dõi chúng tôi miễn phí trên mạng xã hội facebook và youtube:Nếu thấy hay, hãy động viên và chia sẻ nhé! Các bình luận không phù hợp với nội quy bình luận trang web sẽ bị cấm bình luận vĩnh viễn.
- Giải Tiếng Anh 10 Global Success
- Giải Tiếng Anh 10 Friends Global
- Giải sgk Tiếng Anh 10 iLearn Smart World
- Giải sgk Tiếng Anh 10 Explore New Worlds
- Lớp 10 - Kết nối tri thức
- Soạn văn 10 (hay nhất) - KNTT
- Soạn văn 10 (ngắn nhất) - KNTT
- Soạn văn 10 (siêu ngắn) - KNTT
- Giải sgk Toán 10 - KNTT
- Giải sgk Vật lí 10 - KNTT
- Giải sgk Hóa học 10 - KNTT
- Giải sgk Sinh học 10 - KNTT
- Giải sgk Địa lí 10 - KNTT
- Giải sgk Lịch sử 10 - KNTT
- Giải sgk Kinh tế và Pháp luật 10 - KNTT
- Giải sgk Tin học 10 - KNTT
- Giải sgk Công nghệ 10 - KNTT
- Giải sgk Hoạt động trải nghiệm 10 - KNTT
- Giải sgk Giáo dục quốc phòng 10 - KNTT
- Lớp 10 - Chân trời sáng tạo
- Soạn văn 10 (hay nhất) - CTST
- Soạn văn 10 (ngắn nhất) - CTST
- Soạn văn 10 (siêu ngắn) - CTST
- Giải Toán 10 - CTST
- Giải sgk Vật lí 10 - CTST
- Giải sgk Hóa học 10 - CTST
- Giải sgk Sinh học 10 - CTST
- Giải sgk Địa lí 10 - CTST
- Giải sgk Lịch sử 10 - CTST
- Giải sgk Kinh tế và Pháp luật 10 - CTST
- Giải sgk Hoạt động trải nghiệm 10 - CTST
- Lớp 10 - Cánh diều
- Soạn văn 10 (hay nhất) - Cánh diều
- Soạn văn 10 (ngắn nhất) - Cánh diều
- Soạn văn 10 (siêu ngắn) - Cánh diều
- Giải sgk Toán 10 - Cánh diều
- Giải sgk Vật lí 10 - Cánh diều
- Giải sgk Hóa học 10 - Cánh diều
- Giải sgk Sinh học 10 - Cánh diều
- Giải sgk Địa lí 10 - Cánh diều
- Giải sgk Lịch sử 10 - Cánh diều
- Giải sgk Kinh tế và Pháp luật 10 - Cánh diều
- Giải sgk Tin học 10 - Cánh diều
- Giải sgk Công nghệ 10 - Cánh diều
- Giải sgk Hoạt động trải nghiệm 10 - Cánh diều
- Giải sgk Giáo dục quốc phòng 10 - Cánh diều


Giải bài tập SGK & SBT
Tài liệu giáo viên
Sách
Khóa học
Thi online
Hỏi đáp

