Giải Toán 10 trang 129 Tập 2 Chân trời sáng tạo
Trọn bộ lời giải bài tập Toán 10 trang 129 Chân trời sáng tạo sẽ giúp học sinh dễ dàng làm bài tập Toán lớp 10 trang 129. Bạn vào trang hoặc Xem lời giải để theo dõi chi tiết.
Giải Toán 10 trang 129 Tập 2 Chân trời sáng tạo
Lưu trữ: Giải Toán 10 trang 129 (sách cũ)
Bài 2 (trang 129 SGK Đại Số 10): Nếu rõ cách tính số trung bình cộng, số trung vị, mốt, phương sai và độ lệch chuẩn.
Lời giải
Để tính được các số trung bình cộng, phương sai, độ lệch chuẩn, trước hết ta cần lập bảng phân bố (tần số, tần suất, tần số ghép lớp hoặc tần suất ghép lớp).
* Đối với bảng phân bố tần số:
| Giá trị | x1 | x2 | x3 | … | xk | Cộng |
| Tần số | n1 | n2 | n3 | … | nk | N |
Số trung bình cộng:
Phương sai:
Độ lệch chuẩn:
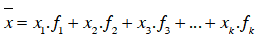
* Đối với bảng phân bố tần suất:
| Giá trị | x1 | x2 | x3 | … | xk | Cộng |
| Tần số | f1 | f2 | f3 | … | fk | 100% |
Số trung bình cộng:
Phương sai:
Độ lệch chuẩn:
* Đối với bảng phân bố tần số ghép lớp:
| Lớp giá trị | [a1; a2) | [a2; a3) | [a3; a4) | … | [ak; ak+1] | Cộng |
| Giá trị đại diện | c1 | c2 | c3 | … | ck | |
| Tần số | n1 | n2 | n3 | … | nk | N |
Số trung bình cộng:
Phương sai:
Độ lệch chuẩn:
* Đối với bảng phân bố tần suất ghép lớp:
| Lớp giá trị | [a1; a2) | [a2; a3) | [a3; a4) | … | [ak; ak+1] | Cộng |
| Giá trị đại diện | c1 | c2 | c3 | … | ck | |
| Tần số | f1 | f2 | f3 | … | fk | 100% |
Số trung bình cộng:
Phương sai:
Độ lệch chuẩn:
* Để tìm số trung vị (Me) ta sắp xếp dãy số liệu theo thứ tự nhỏ dần (hoặc lớn dần) rồi lấy số chính giữa (nếu số lượng số liệu lẻ) hoặc trung bình cộng của hai số ở giữa (nếu số lượng số liệu chẵn)
* Để tìm mốt của dãy số liệu, ta xem xét xem số nào có tần số lớn nhất thì số liệu đó là mốt của dãy.
Xem thêm các bài giải Ôn tập chương 5 Đại số 10:
Bài 1 (trang 128 SGK Đại Số 10): Chỉ rõ các bước để a) Lập bảng phân bố tần số ghép lớp; ...
Bài 3 (trang 129 SGK Đại Số 10): Kết quả điều tra 59 hộ gia đình ở vùng dân cư về số con ...
Bài 4 (trang 129 SGK Đại Số 10): Cho các số liệu thống kê được ghi trong hai bảng sau ...
Bài 5 (trang 130 SGK Đại Số 10): Cho các số liệu thống kê được ghi trong bảng sau ...
Bài 6 (trang 130 SGK Đại Số 10): Người ta đã tiến hành thăm dò ý kiến của khách hàng về các mẫu ...
Bài tập trắc nghiệm
Chọn phương án đúng trong các bài tập sau
Bài 7 (trang 130 SGK Đại Số 10): Cho bảng phân bố tần số Tiền thưởng (triệu đồng) cho cán bộ và ...
Bài 8 (trang 131 SGK Đại Số 10): Cho bảng phân bố tần số Tuổi của 169 đoàn viên thanh niên ...
Bài 9 (trang 131 SGK Đại Số 10): Cho dãy số liệu thống kê: 21, 23, 24, 25, 22, 20. ...
Bài 10 (trang 131 SGK Đại Số 10): Cho dãy số liệu thống kê: 1, 2, 3, 4, 5, 6, 7 ...
Bài 11 (trang 131 SGK Đại Số 10): Ba nhóm học sinh gồm 10 người, 15 người , 25 người. Khối lượng ...
Xem thêm các bài giải bài tập Toán lớp 10 hay, chi tiết khác:
- Ôn tập chương 5 (Bài tập trắc nghiệm)
- Bài 1: Cung và góc lượng giác
- Bài 2: Giá trị lượng giác của một cung
- Bài 3: Công thức lượng giác
- Ôn tập chương 6 (Câu hỏi - Bài tập)
Để học tốt lớp 10 các môn học sách mới:
- Giải bài tập Lớp 10 Kết nối tri thức
- Giải bài tập Lớp 10 Chân trời sáng tạo
- Giải bài tập Lớp 10 Cánh diều
Tủ sách VIETJACK shopee lớp 10-11 (cả 3 bộ sách):
Đã có app VietJack trên điện thoại, giải bài tập SGK, SBT Soạn văn, Văn mẫu, Thi online, Bài giảng....miễn phí. Tải ngay ứng dụng trên Android và iOS.
Theo dõi chúng tôi miễn phí trên mạng xã hội facebook và youtube:Nếu thấy hay, hãy động viên và chia sẻ nhé! Các bình luận không phù hợp với nội quy bình luận trang web sẽ bị cấm bình luận vĩnh viễn.
- Giải Tiếng Anh 10 Global Success
- Giải Tiếng Anh 10 Friends Global
- Giải sgk Tiếng Anh 10 iLearn Smart World
- Giải sgk Tiếng Anh 10 Explore New Worlds
- Lớp 10 - Kết nối tri thức
- Soạn văn 10 (hay nhất) - KNTT
- Soạn văn 10 (ngắn nhất) - KNTT
- Soạn văn 10 (siêu ngắn) - KNTT
- Giải sgk Toán 10 - KNTT
- Giải sgk Vật lí 10 - KNTT
- Giải sgk Hóa học 10 - KNTT
- Giải sgk Sinh học 10 - KNTT
- Giải sgk Địa lí 10 - KNTT
- Giải sgk Lịch sử 10 - KNTT
- Giải sgk Kinh tế và Pháp luật 10 - KNTT
- Giải sgk Tin học 10 - KNTT
- Giải sgk Công nghệ 10 - KNTT
- Giải sgk Hoạt động trải nghiệm 10 - KNTT
- Giải sgk Giáo dục quốc phòng 10 - KNTT
- Lớp 10 - Chân trời sáng tạo
- Soạn văn 10 (hay nhất) - CTST
- Soạn văn 10 (ngắn nhất) - CTST
- Soạn văn 10 (siêu ngắn) - CTST
- Giải Toán 10 - CTST
- Giải sgk Vật lí 10 - CTST
- Giải sgk Hóa học 10 - CTST
- Giải sgk Sinh học 10 - CTST
- Giải sgk Địa lí 10 - CTST
- Giải sgk Lịch sử 10 - CTST
- Giải sgk Kinh tế và Pháp luật 10 - CTST
- Giải sgk Hoạt động trải nghiệm 10 - CTST
- Lớp 10 - Cánh diều
- Soạn văn 10 (hay nhất) - Cánh diều
- Soạn văn 10 (ngắn nhất) - Cánh diều
- Soạn văn 10 (siêu ngắn) - Cánh diều
- Giải sgk Toán 10 - Cánh diều
- Giải sgk Vật lí 10 - Cánh diều
- Giải sgk Hóa học 10 - Cánh diều
- Giải sgk Sinh học 10 - Cánh diều
- Giải sgk Địa lí 10 - Cánh diều
- Giải sgk Lịch sử 10 - Cánh diều
- Giải sgk Kinh tế và Pháp luật 10 - Cánh diều
- Giải sgk Tin học 10 - Cánh diều
- Giải sgk Công nghệ 10 - Cánh diều
- Giải sgk Hoạt động trải nghiệm 10 - Cánh diều
- Giải sgk Giáo dục quốc phòng 10 - Cánh diều


Giải bài tập SGK & SBT
Tài liệu giáo viên
Sách
Khóa học
Thi online
Hỏi đáp

