Giải bài 6 trang 106 SGK Đại Số 10
Ôn tập chương 4 Đại Số 10
Video giải Bài 6 trang 106 SGK Đại Số 10 - Cô Ngô Hoàng Ngọc Hà (Giáo viên VietJack)
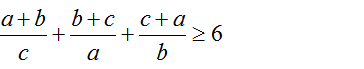
Bài 6 (trang 106 SGK Đại Số 10): Cho a, b, c là các số dương. Chứng minh rằng
Lời giải
Ta có:
Áp dụng bất đẳng thức Cô-si cho hai số dương
Dấu "=" xảy ra khi và chỉ khi a = b = c
Xem thêm các bài giải Ôn tập chương 4 Đại Số 10:
Bài 1 (trang 106 SGK Đại Số 10): Sử dụng bất đẳng thức để viết các mệnh đề sau ...
Bài 2 (trang 106 SGK Đại Số 10): Có thể rút ra kết luận gì về dấu của hai số a và b nếu biết ...
Bài 3 (trang 106 SGK Đại Số 10): Trong các suy luận sau, suy luận nào đúng? ...
Bài 4 (trang 106 SGK Đại Số 10): Khi cân một vật với độ chính xác đến 0,05kg, người ta cho biết ...
Bài 5 (trang 106 SGK Đại Số 10): Trên cùng một mặt phẳng tọa độ, hãy vẽ đồ thị hai hàm số ...
Bài 6 (trang 106 SGK Đại Số 10): Cho a, b, c là các số dương. Chứng minh rằng ...
Bài 9 (trang 107 SGK Đại Số 10): Phát biểu định lí về dấu của tam thức bậc hai.
Bài 10 (trang 107 SGK Đại Số 10): Cho a > 0, b > 0. Chứng minh rằng ...
Bài 12 (trang 107 SGK Đại Số 10): Cho a, b, c là độ dài ba cạnh của tam giác. Sử dụng định lí về ...
Bài tập trắc nghiệm
Chọn phương án đúng trong các bài tập sau
Bài 14 (trang 107 SGK Đại Số 10): Số -2 thuộc tập nghiệm của bất phương trình ...
Bài 16 (trang 108 SGK Đại Số 10): Bất phương trình mx2 + (2m – 1)x + m + 1 < 0 có nghiệm khi ...
Bài 17 (trang 108 SGK Đại Số 10): Hệ bất phương trình sau vô nghiệm ...
Xem thêm các bài giải bài tập Toán lớp 10 hay, chi tiết khác:
- Ôn tập chương 4 (Bài tập trắc nghiệm)
- Bài 1: Bảng phân bố tần số và tần suất
- Bài 2: Biểu đồ
- Bài 3: Số trung bình cộng. Số trung vị. Mốt
- Bài 4: Phương sai và độ lệch chuẩn
Để học tốt lớp 10 các môn học sách mới:
- Giải bài tập Lớp 10 Kết nối tri thức
- Giải bài tập Lớp 10 Chân trời sáng tạo
- Giải bài tập Lớp 10 Cánh diều
Tủ sách VIETJACK shopee lớp 10-11 (cả 3 bộ sách):
Đã có app VietJack trên điện thoại, giải bài tập SGK, SBT Soạn văn, Văn mẫu, Thi online, Bài giảng....miễn phí. Tải ngay ứng dụng trên Android và iOS.
Theo dõi chúng tôi miễn phí trên mạng xã hội facebook và youtube:Nếu thấy hay, hãy động viên và chia sẻ nhé! Các bình luận không phù hợp với nội quy bình luận trang web sẽ bị cấm bình luận vĩnh viễn.
- Giải Tiếng Anh 10 Global Success
- Giải Tiếng Anh 10 Friends Global
- Giải sgk Tiếng Anh 10 iLearn Smart World
- Giải sgk Tiếng Anh 10 Explore New Worlds
- Lớp 10 - Kết nối tri thức
- Soạn văn 10 (hay nhất) - KNTT
- Soạn văn 10 (ngắn nhất) - KNTT
- Soạn văn 10 (siêu ngắn) - KNTT
- Giải sgk Toán 10 - KNTT
- Giải sgk Vật lí 10 - KNTT
- Giải sgk Hóa học 10 - KNTT
- Giải sgk Sinh học 10 - KNTT
- Giải sgk Địa lí 10 - KNTT
- Giải sgk Lịch sử 10 - KNTT
- Giải sgk Kinh tế và Pháp luật 10 - KNTT
- Giải sgk Tin học 10 - KNTT
- Giải sgk Công nghệ 10 - KNTT
- Giải sgk Hoạt động trải nghiệm 10 - KNTT
- Giải sgk Giáo dục quốc phòng 10 - KNTT
- Lớp 10 - Chân trời sáng tạo
- Soạn văn 10 (hay nhất) - CTST
- Soạn văn 10 (ngắn nhất) - CTST
- Soạn văn 10 (siêu ngắn) - CTST
- Giải Toán 10 - CTST
- Giải sgk Vật lí 10 - CTST
- Giải sgk Hóa học 10 - CTST
- Giải sgk Sinh học 10 - CTST
- Giải sgk Địa lí 10 - CTST
- Giải sgk Lịch sử 10 - CTST
- Giải sgk Kinh tế và Pháp luật 10 - CTST
- Giải sgk Hoạt động trải nghiệm 10 - CTST
- Lớp 10 - Cánh diều
- Soạn văn 10 (hay nhất) - Cánh diều
- Soạn văn 10 (ngắn nhất) - Cánh diều
- Soạn văn 10 (siêu ngắn) - Cánh diều
- Giải sgk Toán 10 - Cánh diều
- Giải sgk Vật lí 10 - Cánh diều
- Giải sgk Hóa học 10 - Cánh diều
- Giải sgk Sinh học 10 - Cánh diều
- Giải sgk Địa lí 10 - Cánh diều
- Giải sgk Lịch sử 10 - Cánh diều
- Giải sgk Kinh tế và Pháp luật 10 - Cánh diều
- Giải sgk Tin học 10 - Cánh diều
- Giải sgk Công nghệ 10 - Cánh diều
- Giải sgk Hoạt động trải nghiệm 10 - Cánh diều
- Giải sgk Giáo dục quốc phòng 10 - Cánh diều


Giải bài tập SGK & SBT
Tài liệu giáo viên
Sách
Khóa học
Thi online
Hỏi đáp

