Trả lời câu hỏi Toán 10 Hình học Bài 4 trang 24
Bài 4: Hệ trục tọa độ
Video Trả lời câu hỏi Toán 10 Hình học Bài 4 trang 24 - Cô Ngô Hoàng Ngọc Hà (Giáo viên VietJack)
Trả lời câu hỏi Toán 10 Hình học Bài 4 trang 24: Câu hỏi 3 trang 24: Tìm tọa độ của các điểm A, B, C trong hình 1.26. Cho ba điểm D(-2; 3), E(0; -4), F(3; 0). Hãy vẽ các điểm D, E, F trên mặt phẳng Oxy.
Lời giải
A(4; 2)
B(3; 0)
C(0; 2)
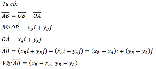
Trả lời câu hỏi Toán 10 Hình học Bài 4 trang 24: Hãy chứng minh công thức trên.
Lời giải
Video Trả lời câu hỏi Toán 10 Hình học Bài 4 trang 24 - Cô Ngô Hoàng Ngọc Hà (Giáo viên VietJack)
Các bài giải bài tập Toán 10 Hình học khác:
Trả lời câu hỏi Toán 10 Hình học Bài 4 trang 21 : Hãy tìm cách xác định vị trí quân xe ....
Trả lời câu hỏi Toán 10 Hình học Bài 4 trang 22 : Hãy phân tích các vectơ ....
Trả lời câu hỏi Toán 10 Hình học Bài 4 trang 24 : Tìm tọa độ của các điểm A, B, C....
Trả lời câu hỏi Toán 10 Hình học Bài 4 trang 25 : Gọi G là trọng tâm của tam giác ABC....
Bài 2 (trang 26 SGK Hình học 10): Trong mặt phẳng tọa độ ...
Bài 3 (trang 26 SGK Hình học 10): Tìm tọa độ của các vectơ sau ...
Bài 5 (trang 27 SGK Hình học 10): Trong mặt phẳng tọa độ ...
Bài 6 (trang 27 SGK Hình học 10): Cho hình bình hành ABCD ...
Xem thêm các bài giải bài tập Toán lớp 10 hay, chi tiết khác:
- Bài 4: Hệ trục tọa độ
- Ôn tập chương 1
- Bài 1: Giá trị lượng giác của một góc bất kì từ 0o đến 180o
- Bài 2: Tích vô hướng của hai vectơ
- Bài 3: Các hệ thức lượng trong tam giác và giải tam giác
Để học tốt lớp 10 các môn học sách mới:
- Giải bài tập Lớp 10 Kết nối tri thức
- Giải bài tập Lớp 10 Chân trời sáng tạo
- Giải bài tập Lớp 10 Cánh diều
Tủ sách VIETJACK shopee lớp 10-11 (cả 3 bộ sách):
Đã có app VietJack trên điện thoại, giải bài tập SGK, SBT Soạn văn, Văn mẫu, Thi online, Bài giảng....miễn phí. Tải ngay ứng dụng trên Android và iOS.
Theo dõi chúng tôi miễn phí trên mạng xã hội facebook và youtube:Nếu thấy hay, hãy động viên và chia sẻ nhé! Các bình luận không phù hợp với nội quy bình luận trang web sẽ bị cấm bình luận vĩnh viễn.
- Giải Tiếng Anh 10 Global Success
- Giải Tiếng Anh 10 Friends Global
- Giải sgk Tiếng Anh 10 iLearn Smart World
- Giải sgk Tiếng Anh 10 Explore New Worlds
- Lớp 10 - Kết nối tri thức
- Soạn văn 10 (hay nhất) - KNTT
- Soạn văn 10 (ngắn nhất) - KNTT
- Soạn văn 10 (siêu ngắn) - KNTT
- Giải sgk Toán 10 - KNTT
- Giải sgk Vật lí 10 - KNTT
- Giải sgk Hóa học 10 - KNTT
- Giải sgk Sinh học 10 - KNTT
- Giải sgk Địa lí 10 - KNTT
- Giải sgk Lịch sử 10 - KNTT
- Giải sgk Kinh tế và Pháp luật 10 - KNTT
- Giải sgk Tin học 10 - KNTT
- Giải sgk Công nghệ 10 - KNTT
- Giải sgk Hoạt động trải nghiệm 10 - KNTT
- Giải sgk Giáo dục quốc phòng 10 - KNTT
- Lớp 10 - Chân trời sáng tạo
- Soạn văn 10 (hay nhất) - CTST
- Soạn văn 10 (ngắn nhất) - CTST
- Soạn văn 10 (siêu ngắn) - CTST
- Giải Toán 10 - CTST
- Giải sgk Vật lí 10 - CTST
- Giải sgk Hóa học 10 - CTST
- Giải sgk Sinh học 10 - CTST
- Giải sgk Địa lí 10 - CTST
- Giải sgk Lịch sử 10 - CTST
- Giải sgk Kinh tế và Pháp luật 10 - CTST
- Giải sgk Hoạt động trải nghiệm 10 - CTST
- Lớp 10 - Cánh diều
- Soạn văn 10 (hay nhất) - Cánh diều
- Soạn văn 10 (ngắn nhất) - Cánh diều
- Soạn văn 10 (siêu ngắn) - Cánh diều
- Giải sgk Toán 10 - Cánh diều
- Giải sgk Vật lí 10 - Cánh diều
- Giải sgk Hóa học 10 - Cánh diều
- Giải sgk Sinh học 10 - Cánh diều
- Giải sgk Địa lí 10 - Cánh diều
- Giải sgk Lịch sử 10 - Cánh diều
- Giải sgk Kinh tế và Pháp luật 10 - Cánh diều
- Giải sgk Tin học 10 - Cánh diều
- Giải sgk Công nghệ 10 - Cánh diều
- Giải sgk Hoạt động trải nghiệm 10 - Cánh diều
- Giải sgk Giáo dục quốc phòng 10 - Cánh diều


Giải bài tập SGK & SBT
Tài liệu giáo viên
Sách
Khóa học
Thi online
Hỏi đáp

