Giải Toán 11 trang 36 Kết nối tri thức, Chân trời sáng tạo, Cánh diều
Trọn bộ lời giải bài tập Toán 11 trang 36 Kết nối tri thức, Chân trời sáng tạo, Cánh diều sẽ giúp học sinh lớp 11 dễ dàng làm bài tập Toán 11 trang 36. Bạn vào trang hoặc Xem lời giải để theo dõi chi tiết.
Giải Toán 11 trang 36 Kết nối tri thức, Chân trời sáng tạo, Cánh diều
- Toán lớp 11 trang 36 Tập 1 (sách mới):
- Toán lớp 11 trang 36 Tập 2 (sách mới):
Hoạt động khởi động trang 36 Toán 11 Tập 2 Chân trời sáng tạo
Lưu trữ: Giải Toán 11 trang 36 (sách cũ)
Video Bài 1 trang 36 SGK Đại số 11 - Cô Ngô Hoàng Ngọc Hà (Giáo viên VietJack)
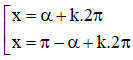
Bài 1 (trang 36 SGK Đại số 11): Giải phương trình: sin2x – sin x = 0
Lời giải:
Vậy phương trình có tập nghiệm
(k ∈ Z).
Kiến thức áp dụng
+ Phương trình sin x = sin α có họ nghiệm
(k ∈ Z).
Đặc biệt: sin x = 0 ⇔ x = k.π (k ∈ Z).
sin x = 1 ⇔
(k ∈ Z).
Các bài giải bài tập Toán 11 Đại số Bài 3 khác:
Trả lời câu hỏi Toán 11 Đại số Bài 3 trang 29 : Giải các phương trình trong ví dụ....
Trả lời câu hỏi Toán 11 Đại số Bài 3 trang 31 : Giải các phương trình sau....
Trả lời câu hỏi Toán 11 Đại số Bài 3 trang 32 : Hãy nhắc lại....
Trả lời câu hỏi Toán 11 Đại số Bài 3 trang 34 : Giải phương trình 3cos2 6x + 8sin3x cos3x – 4 ....
Trả lời câu hỏi Toán 11 Đại số Bài 3 trang 35 : Dựa vào các công thức cộng đã học....
Trả lời câu hỏi Toán 11 Đại số Bài 3 trang 36 : Giải phương trình √3 sin3x – cos3x = √2.....
Bài 2 (trang 36 SGK Đại số 11):Giải các phương trình sau...
Bài 3 (trang 37 SGK Đại số 11):Giải các phương trình sau...
Bài 4 (trang 37 SGK Đại số 11):Giải các phương trình sau...
Bài 5 (trang 37 SGK Đại số 11):Giải các phương trình sau...
Bài 6 (trang 37 SGK Đại số 11):Giải các phương trình sau...
Các bài giải bài tập Toán 11 Đại số Chương 1 khác:
- Bài 3: Một số phương trình lượng giác thường gặp
- Ôn tập chương 1
- Tiếp theo: Toán 11 Đại số Chương 2
- Bài 1: Quy tắc đếm
- Bài 2: Hoán vị - Chỉnh hợp - Tổ hợp
- Bài 3: Nhị thức Niu-tơn
Tủ sách VIETJACK shopee lớp 10-11 (cả 3 bộ sách):
Đã có app VietJack trên điện thoại, giải bài tập SGK, SBT Soạn văn, Văn mẫu, Thi online, Bài giảng....miễn phí. Tải ngay ứng dụng trên Android và iOS.
Theo dõi chúng tôi miễn phí trên mạng xã hội facebook và youtube:Nếu thấy hay, hãy động viên và chia sẻ nhé! Các bình luận không phù hợp với nội quy bình luận trang web sẽ bị cấm bình luận vĩnh viễn.
- Giải Tiếng Anh 11 Global Success
- Giải sgk Tiếng Anh 11 Smart World
- Giải sgk Tiếng Anh 11 Friends Global
- Lớp 11 - Kết nối tri thức
- Soạn văn 11 (hay nhất) - KNTT
- Soạn văn 11 (ngắn nhất) - KNTT
- Giải sgk Toán 11 - KNTT
- Giải sgk Vật Lí 11 - KNTT
- Giải sgk Hóa học 11 - KNTT
- Giải sgk Sinh học 11 - KNTT
- Giải sgk Lịch Sử 11 - KNTT
- Giải sgk Địa Lí 11 - KNTT
- Giải sgk Giáo dục KTPL 11 - KNTT
- Giải sgk Tin học 11 - KNTT
- Giải sgk Công nghệ 11 - KNTT
- Giải sgk Hoạt động trải nghiệm 11 - KNTT
- Giải sgk Giáo dục quốc phòng 11 - KNTT
- Giải sgk Âm nhạc 11 - KNTT
- Lớp 11 - Chân trời sáng tạo
- Soạn văn 11 (hay nhất) - CTST
- Soạn văn 11 (ngắn nhất) - CTST
- Giải sgk Toán 11 - CTST
- Giải sgk Vật Lí 11 - CTST
- Giải sgk Hóa học 11 - CTST
- Giải sgk Sinh học 11 - CTST
- Giải sgk Lịch Sử 11 - CTST
- Giải sgk Địa Lí 11 - CTST
- Giải sgk Giáo dục KTPL 11 - CTST
- Giải sgk Hoạt động trải nghiệm 11 - CTST
- Giải sgk Âm nhạc 11 - CTST
- Lớp 11 - Cánh diều
- Soạn văn 11 Cánh diều (hay nhất)
- Soạn văn 11 Cánh diều (ngắn nhất)
- Giải sgk Toán 11 - Cánh diều
- Giải sgk Vật Lí 11 - Cánh diều
- Giải sgk Hóa học 11 - Cánh diều
- Giải sgk Sinh học 11 - Cánh diều
- Giải sgk Lịch Sử 11 - Cánh diều
- Giải sgk Địa Lí 11 - Cánh diều
- Giải sgk Giáo dục KTPL 11 - Cánh diều
- Giải sgk Tin học 11 - Cánh diều
- Giải sgk Công nghệ 11 - Cánh diều
- Giải sgk Hoạt động trải nghiệm 11 - Cánh diều
- Giải sgk Giáo dục quốc phòng 11 - Cánh diều
- Giải sgk Âm nhạc 11 - Cánh diều


Giải bài tập SGK & SBT
Tài liệu giáo viên
Sách
Khóa học
Thi online
Hỏi đáp

