Giải Toán 11 trang 97 Tập 2 (sách mới)
Trọn bộ lời giải bài tập Toán 11 trang 97 Tập 2 Kết nối tri thức, Chân trời sáng tạo, Cánh diều sẽ giúp học sinh lớp 11 dễ dàng làm bài tập Toán 11 trang 97 Tập 2. Bạn vào trang hoặc Xem lời giải để theo dõi chi tiết.
Giải Toán 11 trang 97 Tập 2 (sách mới)
- Toán lớp 11 trang 97 Tập 2 (sách mới):
Lưu trữ: Giải Toán 11 trang 97 Tập 2 (sách cũ)
Video giải Bài 2 trang 97 SGK Đại số 11 - Cô Ngô Hoàng Ngọc Hà (Giáo viên VietJack)
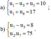
Bài 2 (trang 97 SGK Đại số 11): Tìm số hạng đầu và công sai của các cấp số cộng sau, biết:
Lời giải:
a) Ta có : u3 = u1 + 2d ;
u5 = u1 + 4d ;
u6 = u1 + 5d
Theo đề bài ta có :
b. Ta có: u7 = u1 + 6d ; u3 = u1 + 2d ; u2 = u1 + d
Do đó theo đề bài ta có:
Kiến thức áp dụng
Cấp số cộng (un) có số hạng đầu u1; công sai d thì có số hạng thứ n :
un = u1 + (n – 1).d
Các bài giải bài tập Toán 11 Đại số Bài 3 Chương 3 khác:
Trả lời câu hỏi Toán 11 Đại số Bài 3 trang 93 : Biết bốn số hạng đầu của một....
Trả lời câu hỏi Toán 11 Đại số Bài 3 trang 94 : Mai và Hùng chơi trò xếp các que....
Trả lời câu hỏi Toán 11 Đại số Bài 3 trang 96 : Cấp số cộng gồm tám số hạng ....
Bài 1 (trang 97 SGK Đại số 11): Trong các dãy số (un) sau đây,...
Bài 2 (trang 97 SGK Đại số 11): Tìm số hạng đầu và công sai của các...
Bài 3 (trang 97 SGK Đại số 11): Trong các bài toán về cấp số cộng,..
Bài 4 (trang 98 SGK Đại số 11): Mặt sàn tầng một của một ngôi nhà cao hơn...
Bài 5 (trang 98 SGK Đại số 11): Từ 0 giờ đến 12 giờ trưa, đồng hồ...
Các bài giải bài tập Toán 11 Đại số Chương 3 khác:
- Bài 3: Cấp số cộng
- Bài 4: Cấp số nhân
- Ôn tập chương 3
- Bài 1: Giới hạn của dãy số
- Bài 2: Giới hạn của hàm số
Tủ sách VIETJACK shopee lớp 10-11 (cả 3 bộ sách):
Đã có app VietJack trên điện thoại, giải bài tập SGK, SBT Soạn văn, Văn mẫu, Thi online, Bài giảng....miễn phí. Tải ngay ứng dụng trên Android và iOS.
Theo dõi chúng tôi miễn phí trên mạng xã hội facebook và youtube:Nếu thấy hay, hãy động viên và chia sẻ nhé! Các bình luận không phù hợp với nội quy bình luận trang web sẽ bị cấm bình luận vĩnh viễn.
- Giải Tiếng Anh 11 Global Success
- Giải sgk Tiếng Anh 11 Smart World
- Giải sgk Tiếng Anh 11 Friends Global
- Lớp 11 - Kết nối tri thức
- Soạn văn 11 (hay nhất) - KNTT
- Soạn văn 11 (ngắn nhất) - KNTT
- Giải sgk Toán 11 - KNTT
- Giải sgk Vật Lí 11 - KNTT
- Giải sgk Hóa học 11 - KNTT
- Giải sgk Sinh học 11 - KNTT
- Giải sgk Lịch Sử 11 - KNTT
- Giải sgk Địa Lí 11 - KNTT
- Giải sgk Giáo dục KTPL 11 - KNTT
- Giải sgk Tin học 11 - KNTT
- Giải sgk Công nghệ 11 - KNTT
- Giải sgk Hoạt động trải nghiệm 11 - KNTT
- Giải sgk Giáo dục quốc phòng 11 - KNTT
- Giải sgk Âm nhạc 11 - KNTT
- Lớp 11 - Chân trời sáng tạo
- Soạn văn 11 (hay nhất) - CTST
- Soạn văn 11 (ngắn nhất) - CTST
- Giải sgk Toán 11 - CTST
- Giải sgk Vật Lí 11 - CTST
- Giải sgk Hóa học 11 - CTST
- Giải sgk Sinh học 11 - CTST
- Giải sgk Lịch Sử 11 - CTST
- Giải sgk Địa Lí 11 - CTST
- Giải sgk Giáo dục KTPL 11 - CTST
- Giải sgk Hoạt động trải nghiệm 11 - CTST
- Giải sgk Âm nhạc 11 - CTST
- Lớp 11 - Cánh diều
- Soạn văn 11 Cánh diều (hay nhất)
- Soạn văn 11 Cánh diều (ngắn nhất)
- Giải sgk Toán 11 - Cánh diều
- Giải sgk Vật Lí 11 - Cánh diều
- Giải sgk Hóa học 11 - Cánh diều
- Giải sgk Sinh học 11 - Cánh diều
- Giải sgk Lịch Sử 11 - Cánh diều
- Giải sgk Địa Lí 11 - Cánh diều
- Giải sgk Giáo dục KTPL 11 - Cánh diều
- Giải sgk Tin học 11 - Cánh diều
- Giải sgk Công nghệ 11 - Cánh diều
- Giải sgk Hoạt động trải nghiệm 11 - Cánh diều
- Giải sgk Giáo dục quốc phòng 11 - Cánh diều
- Giải sgk Âm nhạc 11 - Cánh diều


Giải bài tập SGK & SBT
Tài liệu giáo viên
Sách
Khóa học
Thi online
Hỏi đáp

