Giải bài 4 trang 58 sgk Đại số 11
Bài 3: Nhị thức Niu-tơn
Video Bài 4 trang 58 SGK Đại số 11 - Cô Ngô Hoàng Ngọc Hà (Giáo viên VietJack)
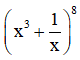
Bài 4 (trang 58 SGK Đại số 11): Tìm số hạng không chứa x trong khai triển của
Lời giải:
+ Số hạng tổng quát trong khai triển
là:
+ Số hạng không chứa x tương ứng với 24 – 4k = 0 ⇔ k = 6.
Vậy số hạng không chứa x trong khai triển đã cho là:
Kiến thức áp dụng
Với các bài toán liên quan đến hệ số của xm trong khai triển một biểu thức ta thường làm như sau:
+ Tìm số hạng tổng quát trong khai triển.
+ Tìm k tương ứng với xm
+ Tìm hệ số của xm tương ứng với k vừa tìm được.
Các bài giải bài tập Toán 11 Đại số Bài 3 Chương 2 khác:
Trả lời câu hỏi Toán 11 Đại số Bài 3 trang 55 : Khai triển biểu thức (a+b)4....
Trả lời câu hỏi Toán 11 Đại số Bài 3 trang 57 : Dùng tam giác Pa-xcan, chứng tỏ rằng....
Bài 1 (trang 57 SGK Đại số 11): Viết triển khai theo công thức nhị thức...
Bài 2 (trang 58 SGK Đại số 11): Tìm hệ số của x3 trong khai triển...
Bài 3 (trang 58 SGK Đại số 11): Biết hệ số của x2 trong khai triển...
Bài 4 (trang 58 SGK Đại số 11): Tìm số hạng không chứa x trong...
Bài 5 (trang 58 SGK Đại số 11): Từ khai triển biểu thức (3x - 4)17 thành...
Các bài giải bài tập Toán 11 Đại số Chương 2 khác:
- Bài 3: Nhị thức Niu-tơn
- Bài 4: Phép thử và biến cố
- Bài 5: Xác suất của biến cố
- Ôn tập chương 2
- Bài 1: Phương pháp quy nạp toán học
Tủ sách VIETJACK shopee lớp 10-11 (cả 3 bộ sách):
Đã có app VietJack trên điện thoại, giải bài tập SGK, SBT Soạn văn, Văn mẫu, Thi online, Bài giảng....miễn phí. Tải ngay ứng dụng trên Android và iOS.
Theo dõi chúng tôi miễn phí trên mạng xã hội facebook và youtube:Nếu thấy hay, hãy động viên và chia sẻ nhé! Các bình luận không phù hợp với nội quy bình luận trang web sẽ bị cấm bình luận vĩnh viễn.
- Giải Tiếng Anh 11 Global Success
- Giải sgk Tiếng Anh 11 Smart World
- Giải sgk Tiếng Anh 11 Friends Global
- Lớp 11 - Kết nối tri thức
- Soạn văn 11 (hay nhất) - KNTT
- Soạn văn 11 (ngắn nhất) - KNTT
- Giải sgk Toán 11 - KNTT
- Giải sgk Vật Lí 11 - KNTT
- Giải sgk Hóa học 11 - KNTT
- Giải sgk Sinh học 11 - KNTT
- Giải sgk Lịch Sử 11 - KNTT
- Giải sgk Địa Lí 11 - KNTT
- Giải sgk Giáo dục KTPL 11 - KNTT
- Giải sgk Tin học 11 - KNTT
- Giải sgk Công nghệ 11 - KNTT
- Giải sgk Hoạt động trải nghiệm 11 - KNTT
- Giải sgk Giáo dục quốc phòng 11 - KNTT
- Giải sgk Âm nhạc 11 - KNTT
- Lớp 11 - Chân trời sáng tạo
- Soạn văn 11 (hay nhất) - CTST
- Soạn văn 11 (ngắn nhất) - CTST
- Giải sgk Toán 11 - CTST
- Giải sgk Vật Lí 11 - CTST
- Giải sgk Hóa học 11 - CTST
- Giải sgk Sinh học 11 - CTST
- Giải sgk Lịch Sử 11 - CTST
- Giải sgk Địa Lí 11 - CTST
- Giải sgk Giáo dục KTPL 11 - CTST
- Giải sgk Hoạt động trải nghiệm 11 - CTST
- Giải sgk Âm nhạc 11 - CTST
- Lớp 11 - Cánh diều
- Soạn văn 11 Cánh diều (hay nhất)
- Soạn văn 11 Cánh diều (ngắn nhất)
- Giải sgk Toán 11 - Cánh diều
- Giải sgk Vật Lí 11 - Cánh diều
- Giải sgk Hóa học 11 - Cánh diều
- Giải sgk Sinh học 11 - Cánh diều
- Giải sgk Lịch Sử 11 - Cánh diều
- Giải sgk Địa Lí 11 - Cánh diều
- Giải sgk Giáo dục KTPL 11 - Cánh diều
- Giải sgk Tin học 11 - Cánh diều
- Giải sgk Công nghệ 11 - Cánh diều
- Giải sgk Hoạt động trải nghiệm 11 - Cánh diều
- Giải sgk Giáo dục quốc phòng 11 - Cánh diều
- Giải sgk Âm nhạc 11 - Cánh diều


Giải bài tập SGK & SBT
Tài liệu giáo viên
Sách
Khóa học
Thi online
Hỏi đáp

