Giải bài 5 trang 122 sgk Đại Số 11
Bài 1: Giới hạn của dãy số
Video giải Bài 5 trang 122 SGK Đại số 11 - Cô Ngô Hoàng Ngọc Hà (Giáo viên VietJack)
Bài 5 (trang 122 SGK Đại số 11): Tính tổng:
Lời giải:
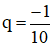
Dãy
là một cấp số nhân lùi vô hạn với số hạng đầu u1 = -1 và công bội
Tổng của cấp số nhân đó là
Kiến thức áp dụng
CSN vô hạn (un) có công bội q với |q| < 1 được gọi là CSN lùi vô hạn và có tổng:
Các bài giải bài tập Toán 11 Đại số Chương 4 Bài 1 khác:
Trả lời câu hỏi Toán 11 Đại số Bài 1 trang 112 : Cho dãy số (un) với un = 1/n....
Trả lời câu hỏi Toán 11 Đại số Bài 1 trang 117 : Có nhiều tờ giấy chồng nhau, mỗi tờ ....
Bài 1 (trang 121 SGK Đại số 11): Có 1kg chất phóng xạ độc hại. Biết rằng cứ ...
Bài 2 (trang 121 SGK Đại số 11): Tìm dãy số (un) thỏa mãn | un – 1| ...
Bài 4 (trang 122 SGK Đại số 11): Để trang hoàng cho căn hộ của mình,...
Bài 6 (trang 122 SGK Đại số 11): Cho số thập phân vô hạn tuần hoàn a = 1,020 202...
Bài 8 (trang 122 SGK Đại số 11): Cho hai dãy số (un) và (nn). ...
Các bài giải Đại số 11 Chương 4 khác:
- Bài 1: Giới hạn của dãy số
- Bài 2: Giới hạn của hàm số
- Bài 3: Hàm số liên tục
- Ôn tập chương 4
- Bài 1: Định nghĩa và ý nghĩa của đạo hàm
Tủ sách VIETJACK shopee lớp 10-11 (cả 3 bộ sách):
Đã có app VietJack trên điện thoại, giải bài tập SGK, SBT Soạn văn, Văn mẫu, Thi online, Bài giảng....miễn phí. Tải ngay ứng dụng trên Android và iOS.
Theo dõi chúng tôi miễn phí trên mạng xã hội facebook và youtube:Nếu thấy hay, hãy động viên và chia sẻ nhé! Các bình luận không phù hợp với nội quy bình luận trang web sẽ bị cấm bình luận vĩnh viễn.
- Giải Tiếng Anh 11 Global Success
- Giải sgk Tiếng Anh 11 Smart World
- Giải sgk Tiếng Anh 11 Friends Global
- Lớp 11 - Kết nối tri thức
- Soạn văn 11 (hay nhất) - KNTT
- Soạn văn 11 (ngắn nhất) - KNTT
- Giải sgk Toán 11 - KNTT
- Giải sgk Vật Lí 11 - KNTT
- Giải sgk Hóa học 11 - KNTT
- Giải sgk Sinh học 11 - KNTT
- Giải sgk Lịch Sử 11 - KNTT
- Giải sgk Địa Lí 11 - KNTT
- Giải sgk Giáo dục KTPL 11 - KNTT
- Giải sgk Tin học 11 - KNTT
- Giải sgk Công nghệ 11 - KNTT
- Giải sgk Hoạt động trải nghiệm 11 - KNTT
- Giải sgk Giáo dục quốc phòng 11 - KNTT
- Giải sgk Âm nhạc 11 - KNTT
- Lớp 11 - Chân trời sáng tạo
- Soạn văn 11 (hay nhất) - CTST
- Soạn văn 11 (ngắn nhất) - CTST
- Giải sgk Toán 11 - CTST
- Giải sgk Vật Lí 11 - CTST
- Giải sgk Hóa học 11 - CTST
- Giải sgk Sinh học 11 - CTST
- Giải sgk Lịch Sử 11 - CTST
- Giải sgk Địa Lí 11 - CTST
- Giải sgk Giáo dục KTPL 11 - CTST
- Giải sgk Hoạt động trải nghiệm 11 - CTST
- Giải sgk Âm nhạc 11 - CTST
- Lớp 11 - Cánh diều
- Soạn văn 11 Cánh diều (hay nhất)
- Soạn văn 11 Cánh diều (ngắn nhất)
- Giải sgk Toán 11 - Cánh diều
- Giải sgk Vật Lí 11 - Cánh diều
- Giải sgk Hóa học 11 - Cánh diều
- Giải sgk Sinh học 11 - Cánh diều
- Giải sgk Lịch Sử 11 - Cánh diều
- Giải sgk Địa Lí 11 - Cánh diều
- Giải sgk Giáo dục KTPL 11 - Cánh diều
- Giải sgk Tin học 11 - Cánh diều
- Giải sgk Công nghệ 11 - Cánh diều
- Giải sgk Hoạt động trải nghiệm 11 - Cánh diều
- Giải sgk Giáo dục quốc phòng 11 - Cánh diều
- Giải sgk Âm nhạc 11 - Cánh diều


Giải bài tập SGK & SBT
Tài liệu giáo viên
Sách
Khóa học
Thi online
Hỏi đáp

