Giải bài 7 trang 133 sgk Đại Số 11
Bài 2: Giới hạn của hàm số
Video giải Bài 7 trang 133 SGK Đại số 11 - Cô Ngô Hoàng Ngọc Hà (Giáo viên VietJack)
Bài 7 (trang 133 SGK Đại số 11): Một thấu kính hội tụ có tiêu cự là f. Gọi d và d' lần lượt là khoảng cách từ một vật thật AB và từ ảnh A'B' của nó tới quang tâm O của thấu kính (h.54). Công thức thấu kính là .
a) Tìm biểu thức xác định hàm số d' (d).
b) Tìm , và . Giải thích ý nghĩa của các kết quả tìm được.
Lời giải:
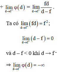
a) Thấu kính hội tụ có tiêu cự f
⇒ Ý nghĩa: Khi đặt vật nằm ngoài tiêu cự và tiến dần đến tiêu điểm thì cho ảnh thật ngược chiều với vật ở vô cùng.
⇒ Ý nghĩa: Khi đặt vật nằm trong tiêu cự và tiến dần đến tiêu điểm thì cho ảnh ảo cùng chiều với vật và nằm ở vô cùng.
⇒ Ý nghĩa : Khi vật được đặt ở xa vô cùng thì sẽ cho ảnh tại tiêu điểm.
Kiến thức áp dụng
+ Đối với thấu kính hội tụ ta luôn có công thức liên hệ giữa khoảng cách từ vật, ảnh đến quang tâm và tiêu cự là :
+ Khi
thì ta có:
+ Nếu
và g(x) cùng dấu thì
+ Nếu
và g(x) trái dấu thì
Các bài giải bài tập Toán 11 Đại số Chương 4 Bài 2 khác:
Trả lời câu hỏi Toán 11 Đại số Bài 2 trang 123 : Xét hàm số f(x)= ....
Trả lời câu hỏi Toán 11 Đại số Bài 2 trang 127 : Trong biểu thức (1) xác định hàm số....
Bài 1 (trang 132 SGK Đại số 11): Dùng định nghĩa tìm các giới hạn sau:
Bài 6 (trang 133 SGK Đại số 11): Tính: a. lim (x → +∞)(x4+x2+x-1) ...
Bài 7 (trang 133 SGK Đại số 11): Một thấu kính hội tụ có tiêu cự là f....
Các bài giải Đại số 11 Chương 4 khác:
- Bài 2: Giới hạn của hàm số
- Bài 3: Hàm số liên tục
- Ôn tập chương 4
- Bài 1: Định nghĩa và ý nghĩa của đạo hàm
- Bài 2: Quy tắc tính đạo hàm
Tủ sách VIETJACK shopee lớp 10-11 (cả 3 bộ sách):
Đã có app VietJack trên điện thoại, giải bài tập SGK, SBT Soạn văn, Văn mẫu, Thi online, Bài giảng....miễn phí. Tải ngay ứng dụng trên Android và iOS.
Theo dõi chúng tôi miễn phí trên mạng xã hội facebook và youtube:Nếu thấy hay, hãy động viên và chia sẻ nhé! Các bình luận không phù hợp với nội quy bình luận trang web sẽ bị cấm bình luận vĩnh viễn.
- Giải Tiếng Anh 11 Global Success
- Giải sgk Tiếng Anh 11 Smart World
- Giải sgk Tiếng Anh 11 Friends Global
- Lớp 11 - Kết nối tri thức
- Soạn văn 11 (hay nhất) - KNTT
- Soạn văn 11 (ngắn nhất) - KNTT
- Giải sgk Toán 11 - KNTT
- Giải sgk Vật Lí 11 - KNTT
- Giải sgk Hóa học 11 - KNTT
- Giải sgk Sinh học 11 - KNTT
- Giải sgk Lịch Sử 11 - KNTT
- Giải sgk Địa Lí 11 - KNTT
- Giải sgk Giáo dục KTPL 11 - KNTT
- Giải sgk Tin học 11 - KNTT
- Giải sgk Công nghệ 11 - KNTT
- Giải sgk Hoạt động trải nghiệm 11 - KNTT
- Giải sgk Giáo dục quốc phòng 11 - KNTT
- Giải sgk Âm nhạc 11 - KNTT
- Lớp 11 - Chân trời sáng tạo
- Soạn văn 11 (hay nhất) - CTST
- Soạn văn 11 (ngắn nhất) - CTST
- Giải sgk Toán 11 - CTST
- Giải sgk Vật Lí 11 - CTST
- Giải sgk Hóa học 11 - CTST
- Giải sgk Sinh học 11 - CTST
- Giải sgk Lịch Sử 11 - CTST
- Giải sgk Địa Lí 11 - CTST
- Giải sgk Giáo dục KTPL 11 - CTST
- Giải sgk Hoạt động trải nghiệm 11 - CTST
- Giải sgk Âm nhạc 11 - CTST
- Lớp 11 - Cánh diều
- Soạn văn 11 Cánh diều (hay nhất)
- Soạn văn 11 Cánh diều (ngắn nhất)
- Giải sgk Toán 11 - Cánh diều
- Giải sgk Vật Lí 11 - Cánh diều
- Giải sgk Hóa học 11 - Cánh diều
- Giải sgk Sinh học 11 - Cánh diều
- Giải sgk Lịch Sử 11 - Cánh diều
- Giải sgk Địa Lí 11 - Cánh diều
- Giải sgk Giáo dục KTPL 11 - Cánh diều
- Giải sgk Tin học 11 - Cánh diều
- Giải sgk Công nghệ 11 - Cánh diều
- Giải sgk Hoạt động trải nghiệm 11 - Cánh diều
- Giải sgk Giáo dục quốc phòng 11 - Cánh diều
- Giải sgk Âm nhạc 11 - Cánh diều


Giải bài tập SGK & SBT
Tài liệu giáo viên
Sách
Khóa học
Thi online
Hỏi đáp

