Giải bài 4 trang 101 sgk Giải tích 12
Bài 1 : Nguyên hàm
Bài 4 (trang 101 SGK Giải tích 12): Sử dụng phương pháp tính nguyên hàm từng phần, hãy tính:
Lời giải:
Theo công thức nguyên hàm từng phần ta có:
b) Đặt
Theo công thức nguyên hàm từng phần ta có:
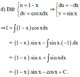
Theo công thức nguyên hàm từng phần ta có:
Kiến thức áp dụng
+ Phương pháp nguyên hàm từng phần:
Nếu hai hàm số u = u(x) và v = v(x) có đạo hàm liên tục trên K thì:
∫u(x).v'(x)dx = u(x).v(x) - ∫u'(x).v(x)dx
hay viết ngắn gọn:
∫udv = uv - ∫vdu
+ Một số công thức nguyên hàm:
Các bài giải bài tập Giải tích 12 Chương 3 Bài 1 khác :
Trả lời câu hỏi Toán 12 Giải tích Bài 1 trang 93 : Tìm hàm số F(x) sao cho....
Trả lời câu hỏi Toán 12 Giải tích Bài 1 trang 95 : Hãy chứng minh Tính chất 3....
Trả lời câu hỏi Toán 12 Giải tích Bài 1 trang 96 : Lập bảng theo mẫu dưới đây....
Trả lời câu hỏi Toán 12 Giải tích Bài 1 trang 98 : a) Cho ....
Trả lời câu hỏi Toán 12 Giải tích Bài 1 trang 99 : Ta có (xcosx)’ = cosx – xsinx hay ....
Trả lời câu hỏi Toán 12 Giải tích Bài 1 trang 100 : Cho P(x) là đa thức của x....
Bài 1 (trang 100 SGK Giải tích 12): Trong các cặp hàm số dưới đây,...
Bài 2 (trang 100 SGK Giải tích 12): Tìm nguyên hàm của các ...
Bài 4 (trang 101 SGK Giải tích 12): Sử dụng phương pháp tính nguyên ...
Các bài giải Giải tích 12 Chương 3 khác:
- Bài 1 : Nguyên hàm
- Bài 2 : Tích phân
- Bài 3 : Ứng dụng của tích phân trong hình học
- Ôn tập chương 3 giải tích 12
- Bài 1 : Số phức
Đã có app VietJack trên điện thoại, giải bài tập SGK, SBT Soạn văn, Văn mẫu, Thi online, Bài giảng....miễn phí. Tải ngay ứng dụng trên Android và iOS.
Theo dõi chúng tôi miễn phí trên mạng xã hội facebook và youtube:Nếu thấy hay, hãy động viên và chia sẻ nhé! Các bình luận không phù hợp với nội quy bình luận trang web sẽ bị cấm bình luận vĩnh viễn.
- Giải Tiếng Anh 12 Global Success
- Giải sgk Tiếng Anh 12 Smart World
- Giải sgk Tiếng Anh 12 Friends Global
- Lớp 12 Kết nối tri thức
- Soạn văn 12 (hay nhất) - KNTT
- Soạn văn 12 (ngắn nhất) - KNTT
- Giải sgk Toán 12 - KNTT
- Giải sgk Vật Lí 12 - KNTT
- Giải sgk Hóa học 12 - KNTT
- Giải sgk Sinh học 12 - KNTT
- Giải sgk Lịch Sử 12 - KNTT
- Giải sgk Địa Lí 12 - KNTT
- Giải sgk Giáo dục KTPL 12 - KNTT
- Giải sgk Tin học 12 - KNTT
- Giải sgk Công nghệ 12 - KNTT
- Giải sgk Hoạt động trải nghiệm 12 - KNTT
- Giải sgk Giáo dục quốc phòng 12 - KNTT
- Giải sgk Âm nhạc 12 - KNTT
- Giải sgk Mĩ thuật 12 - KNTT
- Lớp 12 Chân trời sáng tạo
- Soạn văn 12 (hay nhất) - CTST
- Soạn văn 12 (ngắn nhất) - CTST
- Giải sgk Toán 12 - CTST
- Giải sgk Vật Lí 12 - CTST
- Giải sgk Hóa học 12 - CTST
- Giải sgk Sinh học 12 - CTST
- Giải sgk Lịch Sử 12 - CTST
- Giải sgk Địa Lí 12 - CTST
- Giải sgk Giáo dục KTPL 12 - CTST
- Giải sgk Tin học 12 - CTST
- Giải sgk Hoạt động trải nghiệm 12 - CTST
- Giải sgk Âm nhạc 12 - CTST
- Lớp 12 Cánh diều
- Soạn văn 12 Cánh diều (hay nhất)
- Soạn văn 12 Cánh diều (ngắn nhất)
- Giải sgk Toán 12 Cánh diều
- Giải sgk Vật Lí 12 - Cánh diều
- Giải sgk Hóa học 12 - Cánh diều
- Giải sgk Sinh học 12 - Cánh diều
- Giải sgk Lịch Sử 12 - Cánh diều
- Giải sgk Địa Lí 12 - Cánh diều
- Giải sgk Giáo dục KTPL 12 - Cánh diều
- Giải sgk Tin học 12 - Cánh diều
- Giải sgk Công nghệ 12 - Cánh diều
- Giải sgk Hoạt động trải nghiệm 12 - Cánh diều
- Giải sgk Giáo dục quốc phòng 12 - Cánh diều
- Giải sgk Âm nhạc 12 - Cánh diều


Giải bài tập SGK & SBT
Tài liệu giáo viên
Sách
Khóa học
Thi online
Hỏi đáp

