Giải bài 7 trang 127 sgk Giải tích 12
Ôn tập chương 3 giải tích 12
Bài 7 (trang 127 SGK Giải tích 12):Xét hình phẳng D giới hạn bởi y = và y = 2(1 - x)
a) Tính diện tích hình D.
b) Quay hình D xung quanh trục Ox. Tính thể tích khối tròn xoay được tạo thành.
Lời giải:
a) Hoành độ giao điểm của hai đồ thị là nghiệm của phương trình:
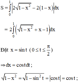
Vậy diện tích hình D là:
Đổi biến:
b)
+ Thể tích khối tròn xoay do hình phẳng giới hạn bởi
quay quanh trục Ox tạo thành là:
+ Thể tích khối tròn xoay do hình phẳng giới hạn bởi
quay quanh trục Ox tạo thành là:
+ Thể tích khối tròn xoay do hình phẳng D quay quanh trục Ox là:
Các bài giải bài tập Giải tích 12 Chương 3 Ôn tập chương 3 khác :
Ôn tập chương 3
Bài 1 (trang 126 SGK Giải tích 12): a) Phát biểu định nghĩa ...
Bài 2 (trang 126 SGK Giải tích 12): a) Phát biểu định nghĩa ...
Bài tập trắc nghiệm
Bài 5 (trang 128 SGK Giải tích 12): Diện tích hình phẳng ...
Bài 6 (trang 128 SGK Giải tích 12): Cho hình phẳng giới hạn ...
Các bài giải Giải tích 12 Chương 3 khác:
- Ôn tập chương 3 giải tích 12
- Bài 1 : Số phức
- Bài 2 : Cộng, trừ và nhân số phức
- Bài 3 : Phép chia số phức
- Bài 4 : Phương trình bậc hai với hệ số thực
Đã có app VietJack trên điện thoại, giải bài tập SGK, SBT Soạn văn, Văn mẫu, Thi online, Bài giảng....miễn phí. Tải ngay ứng dụng trên Android và iOS.
Theo dõi chúng tôi miễn phí trên mạng xã hội facebook và youtube:Nếu thấy hay, hãy động viên và chia sẻ nhé! Các bình luận không phù hợp với nội quy bình luận trang web sẽ bị cấm bình luận vĩnh viễn.
- Giải Tiếng Anh 12 Global Success
- Giải sgk Tiếng Anh 12 Smart World
- Giải sgk Tiếng Anh 12 Friends Global
- Lớp 12 Kết nối tri thức
- Soạn văn 12 (hay nhất) - KNTT
- Soạn văn 12 (ngắn nhất) - KNTT
- Giải sgk Toán 12 - KNTT
- Giải sgk Vật Lí 12 - KNTT
- Giải sgk Hóa học 12 - KNTT
- Giải sgk Sinh học 12 - KNTT
- Giải sgk Lịch Sử 12 - KNTT
- Giải sgk Địa Lí 12 - KNTT
- Giải sgk Giáo dục KTPL 12 - KNTT
- Giải sgk Tin học 12 - KNTT
- Giải sgk Công nghệ 12 - KNTT
- Giải sgk Hoạt động trải nghiệm 12 - KNTT
- Giải sgk Giáo dục quốc phòng 12 - KNTT
- Giải sgk Âm nhạc 12 - KNTT
- Giải sgk Mĩ thuật 12 - KNTT
- Lớp 12 Chân trời sáng tạo
- Soạn văn 12 (hay nhất) - CTST
- Soạn văn 12 (ngắn nhất) - CTST
- Giải sgk Toán 12 - CTST
- Giải sgk Vật Lí 12 - CTST
- Giải sgk Hóa học 12 - CTST
- Giải sgk Sinh học 12 - CTST
- Giải sgk Lịch Sử 12 - CTST
- Giải sgk Địa Lí 12 - CTST
- Giải sgk Giáo dục KTPL 12 - CTST
- Giải sgk Tin học 12 - CTST
- Giải sgk Hoạt động trải nghiệm 12 - CTST
- Giải sgk Âm nhạc 12 - CTST
- Lớp 12 Cánh diều
- Soạn văn 12 Cánh diều (hay nhất)
- Soạn văn 12 Cánh diều (ngắn nhất)
- Giải sgk Toán 12 Cánh diều
- Giải sgk Vật Lí 12 - Cánh diều
- Giải sgk Hóa học 12 - Cánh diều
- Giải sgk Sinh học 12 - Cánh diều
- Giải sgk Lịch Sử 12 - Cánh diều
- Giải sgk Địa Lí 12 - Cánh diều
- Giải sgk Giáo dục KTPL 12 - Cánh diều
- Giải sgk Tin học 12 - Cánh diều
- Giải sgk Công nghệ 12 - Cánh diều
- Giải sgk Hoạt động trải nghiệm 12 - Cánh diều
- Giải sgk Giáo dục quốc phòng 12 - Cánh diều
- Giải sgk Âm nhạc 12 - Cánh diều


Giải bài tập SGK & SBT
Tài liệu giáo viên
Sách
Khóa học
Thi online
Hỏi đáp

