Giải bài 8 trang 90 sgk Giải tích 12
Bài ôn tập chương II
Bài 8 (trang 90 SGK Giải tích 12): Giải các bất phương trình:
Lời giải:
Vậy bất phương trình có tập nghiệm
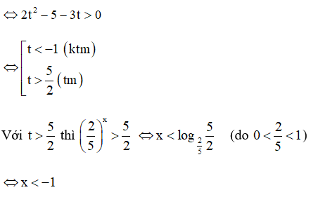
Khi đó bất phương trình trở thành: t - > 1,5
Vậy bất phương trình có tập nghiệm S = (-∞; -1).
Kết hợp với điều kiện, vậy bất phương trình có tập nghiệm:
d) Điều kiện: x > 0
Vậy phương trình có tập nghiệm
Tham khảo lời giải các bài tập Toán 12 Bài ôn tập Chương 2 khác:
Bài 1 (trang 90 SGK Giải tích 12): Hãy nêu các tính chất của lũy thừa với số mũ ...
Bài 2 (trang 90 SGK Giải tích 12): Hãy nêu các tính chất của lũy thừa với số mũ ...
Bài 3 (trang 90 SGK Giải tích 12): Hãy nêu các tính chất của lũy thừa với số mũ ...
Bài 4 (trang 90 SGK Giải tích 12): Tìm tập xác định của hàm số:...
Bài 5 (trang 90 SGK Giải tích 12): Biết 4x+4-x=23. Hãy tính...
Bài 6 (trang 90 SGK Giải tích 12): Cho logab=3,...
Bài 7 (trang 90 SGK Giải tích 12): Giải các phương trình:...
Bài 8 (trang 90 SGK Giải tích 12): Giải các bất phương trình:...
Các bài giải Toán 12 Giải tích Tập 1 khác:
- Bài ôn tập chương II
- Bài 1 : Nguyên hàm
- Bài 2 : Tích phân
- Bài 3 : Ứng dụng của tích phân trong hình học
- Ôn tập chương 3 giải tích 12
Đã có app VietJack trên điện thoại, giải bài tập SGK, SBT Soạn văn, Văn mẫu, Thi online, Bài giảng....miễn phí. Tải ngay ứng dụng trên Android và iOS.
Theo dõi chúng tôi miễn phí trên mạng xã hội facebook và youtube:Nếu thấy hay, hãy động viên và chia sẻ nhé! Các bình luận không phù hợp với nội quy bình luận trang web sẽ bị cấm bình luận vĩnh viễn.
- Giải Tiếng Anh 12 Global Success
- Giải sgk Tiếng Anh 12 Smart World
- Giải sgk Tiếng Anh 12 Friends Global
- Lớp 12 Kết nối tri thức
- Soạn văn 12 (hay nhất) - KNTT
- Soạn văn 12 (ngắn nhất) - KNTT
- Giải sgk Toán 12 - KNTT
- Giải sgk Vật Lí 12 - KNTT
- Giải sgk Hóa học 12 - KNTT
- Giải sgk Sinh học 12 - KNTT
- Giải sgk Lịch Sử 12 - KNTT
- Giải sgk Địa Lí 12 - KNTT
- Giải sgk Giáo dục KTPL 12 - KNTT
- Giải sgk Tin học 12 - KNTT
- Giải sgk Công nghệ 12 - KNTT
- Giải sgk Hoạt động trải nghiệm 12 - KNTT
- Giải sgk Giáo dục quốc phòng 12 - KNTT
- Giải sgk Âm nhạc 12 - KNTT
- Giải sgk Mĩ thuật 12 - KNTT
- Lớp 12 Chân trời sáng tạo
- Soạn văn 12 (hay nhất) - CTST
- Soạn văn 12 (ngắn nhất) - CTST
- Giải sgk Toán 12 - CTST
- Giải sgk Vật Lí 12 - CTST
- Giải sgk Hóa học 12 - CTST
- Giải sgk Sinh học 12 - CTST
- Giải sgk Lịch Sử 12 - CTST
- Giải sgk Địa Lí 12 - CTST
- Giải sgk Giáo dục KTPL 12 - CTST
- Giải sgk Tin học 12 - CTST
- Giải sgk Hoạt động trải nghiệm 12 - CTST
- Giải sgk Âm nhạc 12 - CTST
- Lớp 12 Cánh diều
- Soạn văn 12 Cánh diều (hay nhất)
- Soạn văn 12 Cánh diều (ngắn nhất)
- Giải sgk Toán 12 Cánh diều
- Giải sgk Vật Lí 12 - Cánh diều
- Giải sgk Hóa học 12 - Cánh diều
- Giải sgk Sinh học 12 - Cánh diều
- Giải sgk Lịch Sử 12 - Cánh diều
- Giải sgk Địa Lí 12 - Cánh diều
- Giải sgk Giáo dục KTPL 12 - Cánh diều
- Giải sgk Tin học 12 - Cánh diều
- Giải sgk Công nghệ 12 - Cánh diều
- Giải sgk Hoạt động trải nghiệm 12 - Cánh diều
- Giải sgk Giáo dục quốc phòng 12 - Cánh diều
- Giải sgk Âm nhạc 12 - Cánh diều


Giải bài tập SGK & SBT
Tài liệu giáo viên
Sách
Khóa học
Thi online
Hỏi đáp

