Giải Toán lớp 12 Chương 2: Hàm số lũy thừa. Hàm số mũ và hàm số logarit
Giải Toán lớp 12 Chương 2: Hàm số lũy thừa. Hàm số mũ và hàm số logarit
Bài giảng: Bài 1: Lũy thừa - Thầy Trần Thế Mạnh (Giáo viên VietJack)
Với giải bài tập Toán 12 Giải tích Chương 2: Hàm số lũy thừa. Hàm số mũ và hàm số logarit hay nhất, chi tiết giúp học sinh dễ dàng làm bài tập về nhà môn Toán lớp 12. Bên cạnh đó là các bài tóm tắt lý thuyết Toán lớp 12 [có kèm video bài giảng] và bộ bài tập trắc nghiệm theo bài học cùng với trên 50 dạng bài tập Toán lớp 12 với đầy đủ phương pháp giải giúp bạn ôn luyện để đạt điểm cao trong các bài thi môn Toán lớp 12.
- Toán lớp 12 Bài 1: Lũy thừa
- Toán lớp 12 Bài 2: Hàm số lũy thừa
- Toán lớp 12 Bài 3: Lôgarit
- Toán lớp 12 Bài 4: Hàm số mũ. Hàm số lôgarit
- Toán lớp 12 Bài 5: Phương trình mũ và phương trình lôgarit
- Toán lớp 12 Bài 6: Bất phương trình mũ và bất phương trình lôgarit
- Toán lớp 12 Bài ôn tập chương II
Tài liệu lý thuyết và các dạng bài tập Toán lớp 12 Chương 2: Hàm số lũy thừa. Hàm số mũ và hàm số logarit:
- Tổng hợp lý thuyết chương Hàm số lũy thừa. Hàm số mũ và hàm số logarit
- Các dạng bài tập chương Hàm số lũy thừa. Hàm số mũ và hàm số logarit chọn lọc
- 200 bài tập trắc nghiệm Chương 2: Hàm số lũy thừa. Hàm số mũ và hàm số logarit có lời giải
Giải bài tập Toán lớp 12 Bài 1: Lũy thừa
Trả lời câu hỏi Toán 12 Giải tích Bài 1 trang 49: Tính (1,5)4; ((-2)/3)3; (√3)5.
Lời giải:
(1,5)4 = 5.0625; ((-2)/3)3=(-8)/27; (√3)5 = 9√3
Trả lời câu hỏi Toán 12 Giải tích Bài 1 trang 50: Dựa vào đồ thị của các hàm số y = x3 và y = x4 (H.26, H.27), hãy biện luận theo b số nghiệm của các phương trình x3 = b và x4 = b.
Lời giải:
Số nghiệm của phương trình x3 = b là số giao điểm của hai đồ thị hàm số y = b và y = x3.
Dựa vào H26 ta có đồ thị hàm số y = x3 luôn cắt đường thẳng y = b tại một điểm duy nhất với mọi b nên phương trình x3 = b luôn có nghiệm duy nhất với mọi b.
Số nghiệm của phương trình x4 = b (1) là số giao điểm của hai đồ thị hàm số y = b và y = x4. Dựa và hình 27 ta có:
+ Với b < 0 hai đồ thị hàm số trên không giao nhau, vậy phương trình (1) vô nghiệm.
+ Với b = 0, hai đồ thị hàm số tiếp xúc nhau tại (0,0), vậy phương trình (1) có nghiệm duy nhất x = 0.
+ Với b > 0, hai đồ thị hàm số cắt nhau tại hai điểm phân biết, vậy phương trình (1) có hai nghiệm phân biệt.
Trả lời câu hỏi Toán 12 Giải tích Bài 1 trang 52: Chứng minh tính chất n√a . n√b = n√ab.
Lời giải:
Đặt n√a = x, n√b = y. Khi đó: xn = a, yn = b.
Ta có (xy)n = xn.yn = a.b. Vậy xy là căn bậc n của ab.
Suy ra n√ab = xy = n√a.n√b
Trả lời câu hỏi Toán 12 Giải tích Bài 1 trang 54: Hãy nhắc lại các tính chất của lũy thừa với số mũ nguyên dương.
Lời giải:
Các tính chất về đẳng thức
1. am. an = a(m+n)
2. am : an = a(m-n) (m ≥ n).
3. (am)n = amn
4.(a/b)m = am / bm (b ≠ 0)
5. (ab)m = am.bm
Các tính chất về bất đẳng thức
Với a > 1 thì am > an ⇔ m > n.
Với 0 < a < 1 thì am > an ⇔ m < n.
0 < a < b thì am > bm
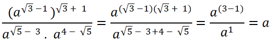
Trả lời câu hỏi Toán 12 Giải tích Bài 1 trang 55:
Rút gọn biểu thức
Lời giải:
Trả lời câu hỏi Toán 12 Giải tích Bài 1 trang 55:
So sánh các số
Lời giải:
Bài 1 (trang 55 SGK Giải tích 12): Tính
Lời giải:
....................................
....................................
....................................
Đã có app VietJack trên điện thoại, giải bài tập SGK, SBT Soạn văn, Văn mẫu, Thi online, Bài giảng....miễn phí. Tải ngay ứng dụng trên Android và iOS.
Theo dõi chúng tôi miễn phí trên mạng xã hội facebook và youtube:Nếu thấy hay, hãy động viên và chia sẻ nhé! Các bình luận không phù hợp với nội quy bình luận trang web sẽ bị cấm bình luận vĩnh viễn.
- Giải Tiếng Anh 12 Global Success
- Giải sgk Tiếng Anh 12 Smart World
- Giải sgk Tiếng Anh 12 Friends Global
- Lớp 12 Kết nối tri thức
- Soạn văn 12 (hay nhất) - KNTT
- Soạn văn 12 (ngắn nhất) - KNTT
- Giải sgk Toán 12 - KNTT
- Giải sgk Vật Lí 12 - KNTT
- Giải sgk Hóa học 12 - KNTT
- Giải sgk Sinh học 12 - KNTT
- Giải sgk Lịch Sử 12 - KNTT
- Giải sgk Địa Lí 12 - KNTT
- Giải sgk Giáo dục KTPL 12 - KNTT
- Giải sgk Tin học 12 - KNTT
- Giải sgk Công nghệ 12 - KNTT
- Giải sgk Hoạt động trải nghiệm 12 - KNTT
- Giải sgk Giáo dục quốc phòng 12 - KNTT
- Giải sgk Âm nhạc 12 - KNTT
- Giải sgk Mĩ thuật 12 - KNTT
- Lớp 12 Chân trời sáng tạo
- Soạn văn 12 (hay nhất) - CTST
- Soạn văn 12 (ngắn nhất) - CTST
- Giải sgk Toán 12 - CTST
- Giải sgk Vật Lí 12 - CTST
- Giải sgk Hóa học 12 - CTST
- Giải sgk Sinh học 12 - CTST
- Giải sgk Lịch Sử 12 - CTST
- Giải sgk Địa Lí 12 - CTST
- Giải sgk Giáo dục KTPL 12 - CTST
- Giải sgk Tin học 12 - CTST
- Giải sgk Hoạt động trải nghiệm 12 - CTST
- Giải sgk Âm nhạc 12 - CTST
- Lớp 12 Cánh diều
- Soạn văn 12 Cánh diều (hay nhất)
- Soạn văn 12 Cánh diều (ngắn nhất)
- Giải sgk Toán 12 Cánh diều
- Giải sgk Vật Lí 12 - Cánh diều
- Giải sgk Hóa học 12 - Cánh diều
- Giải sgk Sinh học 12 - Cánh diều
- Giải sgk Lịch Sử 12 - Cánh diều
- Giải sgk Địa Lí 12 - Cánh diều
- Giải sgk Giáo dục KTPL 12 - Cánh diều
- Giải sgk Tin học 12 - Cánh diều
- Giải sgk Công nghệ 12 - Cánh diều
- Giải sgk Hoạt động trải nghiệm 12 - Cánh diều
- Giải sgk Giáo dục quốc phòng 12 - Cánh diều
- Giải sgk Âm nhạc 12 - Cánh diều


Giải bài tập SGK & SBT
Tài liệu giáo viên
Sách
Khóa học
Thi online
Hỏi đáp

