Tổng hợp lý thuyết Chương 2: Hàm số lũy thừa, Hàm số mũ, hàm số logarit lớp 12 (hay, chi tiết)
Tổng hợp lý thuyết Chương 2: Hàm số lũy thừa, Hàm số mũ, hàm số logarit
(199k) Xem Khóa học Toán 12 KNTTXem Khóa học Toán 12 CDXem Khóa học Toán 12 CTST
Dưới đây là phần tổng hợp kiến thức, công thức, lý thuyết Toán lớp 12 Chương 2: Hàm số lũy thừa, Hàm số mũ, hàm số logarit ngắn gọn, chi tiết. Hi vọng tài liệu Lý thuyết Toán lớp 12 theo chương này sẽ giúp bạn nắm vững kiến thức môn Toán lớp 12.
- Lý thuyết Lũy thừa
- Lý thuyết Hàm số lũy thừa
- Lý thuyết Lôgarit
- Lý thuyết Hàm số mũ. Hàm số lôgarit
- Lý thuyết Phương trình mũ và phương trình lôgarit
- Lý thuyết Bất phương trình mũ và lôgarit
- Lý thuyết tổng hợp chương Hàm số lũy thừa, Hàm số mũ, Hàm số logarit
Lý thuyết Lũy thừa
A. Tóm tắt lý thuyết
1. Định nghĩa lũy thừa và căn
• Cho số thực b và số nguyên dương n (n ≥ 2) . Số a được gọi là căn bậc n của số b nếu an = b .
• Chú ý: - Với n lẻ và b ∈ R : Có duy nhất một căn bậc n của b, kí hiệu là n√b .
- Với n chắn:
+) b < 0: Không tồn tại căn bậc n của b.
+) b = 0: Có một căn bậc n của b là số 0.
+) b > 0: Có hai căn bậc n của a là hai số đối nhau, căn có giá trị dương ký hiệu là n√b, căn có giá trị âm kí hiệu là -n√b.
| Số mũ α | Cơ số a | Lũy thừa aα |
| α = n ∈ N* | a ∈ R | aα = an = a.a. ... .a (n thừa số a) |
| α = 0 | a ≠ 0 | aα = a0 = 1 |
| α = -n (n ∈ N*) | a ≠ 0 | aα = a0 = 1/an |
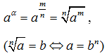
| α = m/n | a > 0 | |
| α = lim rn (rn ∈ Q, n ∈ N*) | a > 0 |
2. Một số tính chất của lũy thừa
• Giả thuyết rằng mỗi biểu thức được xét đều có nghĩa:
• Nếu a > 1 thì aα > aβ ⇔ α > β ; Nếu ) < a < 1 thì aα > aβ ⇔ α < β .
• Với mọi 0 < a < b, ta có: am < bm ⇔ m > 0; am > bm ⇔ m < 0 ;
• Chú ý: - Các tính chất trên đúng trong trường hợp số mũ nguyên hoặc không nguyên.
- Khi xét lũy thừa với số mũ 0 và số mũ nguyên âm thì cơ số a phải khác 0.
- Khi xét lũy thừa với số mũ không nguyên thì cơ số a phải dương.
3. Một số tính chất của căn bậc n
• Với a, b ∈ R; n ∈ N*, ta có:
• Với a, b ∈ R ta có:
, ∀ a > 0, n nguyên dương, m nguyên
, ∀ a ≥ 0, n, m nguyên dương
, ∀ a > 0, m,n nguyên dương, p, q nguyên. Đặc biệt
B. Kĩ năng giải bài tập
1. Vận dụng thành thạo định nghĩa, tính chất của lũy thừa với số mũ hữu tỉ.
2. Công thức lãi kép.
a) Định nghĩa: Lãi kép là phần lãi của kì sau được tính trên số tiền gốc kì trước cộng với phần lãi của kì trước.
b) Công thức: Giả sử số tiền gốc là A; lãi suất r%/kì hạn gửi (có thể là tháng, quý hay năm).
● Số tiền nhận được cả gốc và lãi sau n kì hạn gửi là A(1 + r)n
● Số tiền lãi nhận được sau n kì hạn gửi là A(1 + r)n - A = A[(1 + r)n - 1]
c) Ví dụ: Bà Hoa gửi 100 triệu vào tài khoản định kỳ tính lãi kép với lãi suất là 8%/năm. Tính số tiền lãi thu được sau 10 năm.
Lời giải
Áp dụng công thức tính lãi kép, sau 10 năm số tiền cả gốc và lãi bà Hoa thu về là:
A(1 + r)n = 100tr.(1 + 0,08)10 ≈ 215,892tr.
Suy ra số tiền lãi bà Hoa thu về sau 10 năm là:
A(1 + r)n - A = 100tr(1 + 0,08)10 - 100tr = 115,892tr.
Lý thuyết Hàm số lũy thừa
A. Tóm tắt lý thuyết
1. Định nghĩa: Hàm số y = xα với α ∈ R được gọi là hàm số lũy thừa.
2. Tập xác định: Tập xác định của hàm số y = xα là:
• D = R nếu α là số nguyên dương.
• D = R \ {0} với α nguyên âm hoặc bằng 0
• D = (0; +∝) với α không nguyên.
3. Đạo hàm: Hàm số y = xα có đạo hàm với mọi x > 0 và (xα)' = α.xα - 1.
4. Tính chất của hàm số lũy thừa trên khoảng (0; +∝).
| y = xα, α > 0 | y = xα, α < 0 |
| a. Tập khảo sát: (0; +∝) | a. Tập khảo sát: (0; +∝) |
|
b. Sự biến thiên + y' = αxα - 1 > 0, ∀x > 0 + Giới hạn đặc biệt + Tiệm cận: không có |
b. Sự biến thiên + y' = αxα - 1 < 0, ∀x > 0 + Giới hạn đặc biệt + Tiệm cận: không có - Trục 0x là tiệm cận ngang - Trục 0y là tiệm cận đứng. |
| c. Bảng biến thiên
|
c. Bảng biến thiên
|
d. Đồ thị:
Đồ thị của hàm số lũy thừa y = xα luôn đi qua điểm I(1; 1)
Lưu ý: Khi khảo sát hàm số lũy thừa với số mũ cụ thể, ta phải xét hàm số đó trên toàn bộ tập xác định của nó. Chẳng hạn: y = x3, y = x-2, y = xπ
B. Kĩ năng giải bài tập
Vận dụng thành thạo định nghĩa, tập xác định, cách tính đạo hàm, tính chất của hàm số lũy thừa.
Lý thuyết Lôgarit
A. Tóm tắt lý thuyết
1. Định nghĩa:
Cho hai số dương a, b với a ≠ 1 . Số α thỏa mãn đẳng thức aα = b được gọi là lôgarit cơ số a của b và kí hiệu là logab. Ta viết: α = logab ⇔ aα = b.
2. Các tính chất: Cho a, b > 0, a ≠ 1 ta có:
- logaa = 1, loga1 = 0
- alogab = b, loga(aα) = α
3. Lôgarit của một tích: Cho 3 số dương a, b1, b2 với a ≠ 1 , ta có
- loga(b1.b2) = logab1 + logab2
4. Lôgarit của một thương: Cho 3 số dương a, b1, b2 với a ≠ 1, ta có
-
- Đặc biệt : với a, b > 0, a ≠ 1
5. Lôgarit của lũy thừa: Cho a, b1, b2, a ≠ 1, với mọi α, ta có
- logabα = αlogab
- Đặc biệt:
6. Công thức đổi cơ số: Cho 3 số dương a, b, c với a ≠ 1, c ≠ 1 , ta có
-
- Đặc biệt : với α ≠ 0 .
+ Lôgarit thập phân và Lôgarit tự nhiên
+ Lôgarit thập phân là lôgarit cơ số 10. Viết: log10b = log b = lg b
+ Lôgarit tự nhiên là lôgarit cơ số e. Viết: logeb = ln b
B. Kĩ năng giải bài tập
1. Tính giá trị biểu thức
2. Rút gọn biểu thức
3. So sánh hai biểu thức
4. Biểu diễn giá trị logarit qua một hay nhiều giá trị logarit khác
(199k) Xem Khóa học Toán 12 KNTTXem Khóa học Toán 12 CDXem Khóa học Toán 12 CTST
Xem thêm các dạng bài tập Toán lớp 12 có trong đề thi tốt nghiệp THPT khác:
- Chủ đề: Hàm số mũ, Hàm số lũy thừa, Hàm số Lôgarit
- Chủ đề: Phương trình mũ
- Chủ đề: Bất phương trình mũ
- Chủ đề: Phương trình logarit
- Chủ đề: Bất phương trình logarit
- Bài tập đồ thị hàm số mũ và logarit
Đã có app VietJack trên điện thoại, giải bài tập SGK, SBT Soạn văn, Văn mẫu, Thi online, Bài giảng....miễn phí. Tải ngay ứng dụng trên Android và iOS.
Theo dõi chúng tôi miễn phí trên mạng xã hội facebook và youtube:Nếu thấy hay, hãy động viên và chia sẻ nhé! Các bình luận không phù hợp với nội quy bình luận trang web sẽ bị cấm bình luận vĩnh viễn.
- Giải Tiếng Anh 12 Global Success
- Giải sgk Tiếng Anh 12 Smart World
- Giải sgk Tiếng Anh 12 Friends Global
- Lớp 12 Kết nối tri thức
- Soạn văn 12 (hay nhất) - KNTT
- Soạn văn 12 (ngắn nhất) - KNTT
- Giải sgk Toán 12 - KNTT
- Giải sgk Vật Lí 12 - KNTT
- Giải sgk Hóa học 12 - KNTT
- Giải sgk Sinh học 12 - KNTT
- Giải sgk Lịch Sử 12 - KNTT
- Giải sgk Địa Lí 12 - KNTT
- Giải sgk Giáo dục KTPL 12 - KNTT
- Giải sgk Tin học 12 - KNTT
- Giải sgk Công nghệ 12 - KNTT
- Giải sgk Hoạt động trải nghiệm 12 - KNTT
- Giải sgk Giáo dục quốc phòng 12 - KNTT
- Giải sgk Âm nhạc 12 - KNTT
- Giải sgk Mĩ thuật 12 - KNTT
- Lớp 12 Chân trời sáng tạo
- Soạn văn 12 (hay nhất) - CTST
- Soạn văn 12 (ngắn nhất) - CTST
- Giải sgk Toán 12 - CTST
- Giải sgk Vật Lí 12 - CTST
- Giải sgk Hóa học 12 - CTST
- Giải sgk Sinh học 12 - CTST
- Giải sgk Lịch Sử 12 - CTST
- Giải sgk Địa Lí 12 - CTST
- Giải sgk Giáo dục KTPL 12 - CTST
- Giải sgk Tin học 12 - CTST
- Giải sgk Hoạt động trải nghiệm 12 - CTST
- Giải sgk Âm nhạc 12 - CTST
- Lớp 12 Cánh diều
- Soạn văn 12 Cánh diều (hay nhất)
- Soạn văn 12 Cánh diều (ngắn nhất)
- Giải sgk Toán 12 Cánh diều
- Giải sgk Vật Lí 12 - Cánh diều
- Giải sgk Hóa học 12 - Cánh diều
- Giải sgk Sinh học 12 - Cánh diều
- Giải sgk Lịch Sử 12 - Cánh diều
- Giải sgk Địa Lí 12 - Cánh diều
- Giải sgk Giáo dục KTPL 12 - Cánh diều
- Giải sgk Tin học 12 - Cánh diều
- Giải sgk Công nghệ 12 - Cánh diều
- Giải sgk Hoạt động trải nghiệm 12 - Cánh diều
- Giải sgk Giáo dục quốc phòng 12 - Cánh diều
- Giải sgk Âm nhạc 12 - Cánh diều


Giải bài tập SGK & SBT
Tài liệu giáo viên
Sách
Khóa học
Thi online
Hỏi đáp

