Các dạng bài tập Phương trình logarit chọn lọc, có đáp án
Phần Phương trình logarit Toán lớp 12 với các dạng bài tập chọn lọc giúp ôn thi Tốt nghiệp môn Toán và trên 100 bài tập trắc nghiệm chọn lọc, có đáp án. Vào Xem chi tiết để theo dõi các dạng bài Phương trình logarit hay nhất tương ứng.
Các dạng bài tập Phương trình logarit chọn lọc, có đáp án
(199k) Xem Khóa học Toán 12 KNTTXem Khóa học Toán 12 CDXem Khóa học Toán 12 CTST
Bài giảng: Cách giải phương trình logarit - Cô Nguyễn Phương Anh (Giáo viên VietJack)
- 5 dạng bài tập Phương trình logarit ôn thi Tốt nghiệp (có lời giải) Xem chi tiết
- Dạng 1: Giải phương trình logarit bằng cách đưa về cùng cơ số Xem chi tiết
- Trắc nghiệm giải phương trình logarit bằng cách đưa về cùng cơ số Xem chi tiết
- Dạng 2: Giải phương trình logarit bằng cách mũ hóa Xem chi tiết
- Trắc nghiệm giải phương trình logarit bằng cách mũ hóa Xem chi tiết
- Dạng 3: Giải phương trình logarit bằng cách đặt ẩn phụ Xem chi tiết
- Trắc nghiệm giải phương trình logarit bằng cách đặt ẩn phụ Xem chi tiết
- Dạng 4: Sử dụng tính đơn điệu để giải phương trình logarit Xem chi tiết
- Trắc nghiệm sử dụng tính đơn điệu để giải phương trình logarit Xem chi tiết
- Dạng 5: Phương trình logarit chứa tham số Xem chi tiết
- Trắc nghiệm giải phương trình logarit chứa tham số Xem chi tiết
Bài tập trắc nghiệm
- Bài tập hàm số mũ và logarit nâng cao Xem chi tiết
- 200 bài tập trắc nghiệm Hàm số mũ, lũy thừa, Lôgarit có lời giải (cơ bản - phần 1) Xem chi tiết
- 200 bài tập trắc nghiệm Hàm số mũ, lũy thừa, Lôgarit có lời giải (cơ bản - phần 2) Xem chi tiết
- 200 bài tập trắc nghiệm Hàm số mũ, lũy thừa, Lôgarit có lời giải (cơ bản - phần 3) Xem chi tiết
- 200 bài tập trắc nghiệm Hàm số mũ, lũy thừa, Lôgarit có lời giải (cơ bản - phần 4) Xem chi tiết
- 200 bài tập trắc nghiệm Hàm số mũ, lũy thừa, Lôgarit có lời giải (cơ bản - phần 5) Xem chi tiết
- 200 bài tập trắc nghiệm Hàm số mũ, lũy thừa, Lôgarit có lời giải (nâng cao - phần 1) Xem chi tiết
- 200 bài tập trắc nghiệm Hàm số mũ, lũy thừa, Lôgarit có lời giải (nâng cao - phần 2) Xem chi tiết
- 200 bài tập trắc nghiệm Hàm số mũ, lũy thừa, Lôgarit có lời giải (nâng cao - phần 3) Xem chi tiết
- 200 bài tập trắc nghiệm Hàm số mũ, lũy thừa, Lôgarit có lời giải (nâng cao - phần 4) Xem chi tiết
- 200 bài tập trắc nghiệm Hàm số mũ, lũy thừa, Lôgarit có lời giải (nâng cao - phần 5) Xem chi tiết
Giải phương trình logarit bằng cách đưa về cùng cơ số
A. Phương pháp giải & Ví dụ
1. Định nghĩa
Phương trình lôgarit là phương trình có chứa ẩn số trong biểu thức dưới dấu lôgarit.
2. Phương trình lôgarit cơ bản
• loga x = b ⇔ x = ab (0 < a ≠ 1).
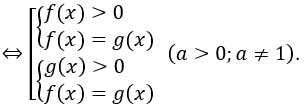
• loga f(x) = loga g(x)
3. Các bước giải phương trình logarit bằng cách đưa về cùng cơ số
* Bước 1. Tìm điều kiện của phương trình (nếu có).
* Bước 2. Sử dụng định nghĩa và các tính chất của lôgarit để đưa các lôgarit có mặt trong phương trình về cùng cơ số.
* Bước 3.Biến đổi phương trình về phương trình lôgarit cơ bản đã biết cách giải.
* Bước 4. Kiểm tra điều kiện và kết luận.
Ví dụ minh họa
Bài 1: Giải phương trình: log2 x + log3 x + log4 x = log20 x.
Lời giải:
Điều kiện của phương trình là x > 0.
Với điều kiện trên phương trình đã cho tương đương với phương trình
Kết hợp với điều kiện, ta được tập nghiệm của phương trình đã cho là {1}.
Bài 2: Giải phương trình
Lời giải:
Tập nghiệm của phương trình đã cho là {1;2}.
Bài 3: Giải phương trình
Lời giải:
Tập nghiệm của phương trình đã cho là {3}.
Giải phương trình logarit bằng cách mũ hóa
A. Phương pháp giải & Ví dụ
1. Phương trình lôgarit cơ bản
• loga x = b ⇔ x = ab (0 < a ≠ 1).
• loga f(x) = loga g(x)
2. Cơ sở của phương pháp mũ hoá
loga f(x) = g(x) (0 < a ≠ 1) ⇔ f(x) = ag(x)
Ví dụ minh họa
Bài 1: Giải phương trình log2 (x+3)=1.
Lời giải:
log2 (x+3) = 1 ⇔ x+3 = 2 ⇔ x = -1
Bài 2: Giải phương trình log(25x - 22x+1) = x.
Lời giải:
log(25x-22x+1 )=x ⇔ 25x-22x+1=10x ⇔ 25x-2.4x=10x
Kết hợp với điều kiện, ta được tập nghiệm của phương trình đã cho là
Bài 3: Giải phương trình log2 (9-2x )=3-x.
Lời giải:
log2 (9-2x ) = 3-x ⇔ log2 (9-2x ) = log2 23-x ⇔ 9-2x=23-x ⇔ 9-2x=8/2x ⇔ 22x-9.2x+8=0
Tập nghiệm của phương trình đã cho là {0;3}.
Giải phương trình logarit bằng cách đặt ẩn phụ
A. Phương pháp giải & Ví dụ
1. Phương trình lôgarit cơ bản
• logax = b ⇔ x = ab (0 < a ≠ 1).
• logaf(x)=logag(x)
2. Các bước giải phương trình bằng phương pháp đặt ẩn phụ
Giải phương trình: f[logag(x)] = 0 (0 < a ≠ 1).
• Bước 1: Đặt t = logag(x) (*).
• Bước 2: Tìm điều kiện củat (nếu có).
• Bước 3: Đưa về giải phương trình f(t) = 0 đã biết cách giải.
•Bước 4: Thay vào (*) để tìm x.
3. Một số lưu ý quan trọng khi biến đổi
1) logaf2(x) = 2loga|f(x)|
2) logaf2k(x) = 2kloga|f(x)|
3) logaf2k+1(x) = (2k+1)logaf(x)
4) loga(f(x)g(x)) = loga|f(x)| + loga|g(x)|
Ví dụ minh họa
Bài 1: Giải phương trình log23 x - 4log3x + 3 = 0.
Lời giải:
Điều kiện của phương trình là x > 0.
Đặt log3x = t. Khi đó phương trình đã cho trở thành
Kết hợp với điều kiện, ta được tập nghiệm của phương trình đã cho là {3;27}.
Bài 2: Giải phương trình
Lời giải:
Khi đó phương trình đã cho trở thành
Tập nghiệm của phương trình đã cho là {10; 100}.
Bài 3: Giải phương trình
Lời giải:
Điều kiện của phương trình là x > 0.
Khi đó phương trình đã cho trở thành
Kết hợp với điều kiện, ta được tập nghiệm của phương trình đã cho là {3√3; 3-√3 }.
(199k) Xem Khóa học Toán 12 KNTTXem Khóa học Toán 12 CDXem Khóa học Toán 12 CTST
Xem thêm các dạng bài tập Toán lớp 12 ôn thi Tốt nghiệp có lời giải hay khác:
- Tổng hợp lý thuyết Chương Hàm số lũy thừa, Hàm số mũ, hàm số logarit
- Chủ đề: Hàm số mũ, Hàm số lũy thừa, Hàm số Lôgarit
- Chủ đề: Phương trình mũ
- Chủ đề: Bất phương trình mũ
- Chủ đề: Bất phương trình logarit
- Bài tập đồ thị hàm số mũ và logarit
Đã có app VietJack trên điện thoại, giải bài tập SGK, SBT Soạn văn, Văn mẫu, Thi online, Bài giảng....miễn phí. Tải ngay ứng dụng trên Android và iOS.
Theo dõi chúng tôi miễn phí trên mạng xã hội facebook và youtube:Nếu thấy hay, hãy động viên và chia sẻ nhé! Các bình luận không phù hợp với nội quy bình luận trang web sẽ bị cấm bình luận vĩnh viễn.
- Giải Tiếng Anh 12 Global Success
- Giải sgk Tiếng Anh 12 Smart World
- Giải sgk Tiếng Anh 12 Friends Global
- Lớp 12 Kết nối tri thức
- Soạn văn 12 (hay nhất) - KNTT
- Soạn văn 12 (ngắn nhất) - KNTT
- Giải sgk Toán 12 - KNTT
- Giải sgk Vật Lí 12 - KNTT
- Giải sgk Hóa học 12 - KNTT
- Giải sgk Sinh học 12 - KNTT
- Giải sgk Lịch Sử 12 - KNTT
- Giải sgk Địa Lí 12 - KNTT
- Giải sgk Giáo dục KTPL 12 - KNTT
- Giải sgk Tin học 12 - KNTT
- Giải sgk Công nghệ 12 - KNTT
- Giải sgk Hoạt động trải nghiệm 12 - KNTT
- Giải sgk Giáo dục quốc phòng 12 - KNTT
- Giải sgk Âm nhạc 12 - KNTT
- Giải sgk Mĩ thuật 12 - KNTT
- Lớp 12 Chân trời sáng tạo
- Soạn văn 12 (hay nhất) - CTST
- Soạn văn 12 (ngắn nhất) - CTST
- Giải sgk Toán 12 - CTST
- Giải sgk Vật Lí 12 - CTST
- Giải sgk Hóa học 12 - CTST
- Giải sgk Sinh học 12 - CTST
- Giải sgk Lịch Sử 12 - CTST
- Giải sgk Địa Lí 12 - CTST
- Giải sgk Giáo dục KTPL 12 - CTST
- Giải sgk Tin học 12 - CTST
- Giải sgk Hoạt động trải nghiệm 12 - CTST
- Giải sgk Âm nhạc 12 - CTST
- Lớp 12 Cánh diều
- Soạn văn 12 Cánh diều (hay nhất)
- Soạn văn 12 Cánh diều (ngắn nhất)
- Giải sgk Toán 12 Cánh diều
- Giải sgk Vật Lí 12 - Cánh diều
- Giải sgk Hóa học 12 - Cánh diều
- Giải sgk Sinh học 12 - Cánh diều
- Giải sgk Lịch Sử 12 - Cánh diều
- Giải sgk Địa Lí 12 - Cánh diều
- Giải sgk Giáo dục KTPL 12 - Cánh diều
- Giải sgk Tin học 12 - Cánh diều
- Giải sgk Công nghệ 12 - Cánh diều
- Giải sgk Hoạt động trải nghiệm 12 - Cánh diều
- Giải sgk Giáo dục quốc phòng 12 - Cánh diều
- Giải sgk Âm nhạc 12 - Cánh diều


Giải bài tập SGK & SBT
Tài liệu giáo viên
Sách
Khóa học
Thi online
Hỏi đáp

