200 bài tập trắc nghiệm Hàm số mũ, lũy thừa, Lôgarit có lời giải (nâng cao - phần 2)
Với 200 bài tập trắc nghiệm Hàm số mũ, lũy thừa, Lôgarit nâng cao có lời giải chi tiết sẽ giúp học sinh ôn tập, biết cách làm bài tập trắc nghiệm Hàm số mũ, lũy thừa, Lôgarit.
200 bài tập trắc nghiệm Hàm số mũ, lũy thừa, Lôgarit có lời giải (nâng cao - phần 2)
(199k) Học Toán 12 KNTTHọc Toán 12 CDHọc Toán 12 CTST
Bài 41: Cho x, y, z là các số thực dương tùy ý khác 1 và xyz khác 1. Đặt a = logx y, b = logz y. Mệnh đề nào sau đây đúng?
Lời giải:
Bài 42: Cho các số dương a, b thõa mãn 4a2 + 9b2 = 13ab. Chọn câu trả lời đúng.
Lời giải:
Bài 43: Cho x, y > 0 và x2 + 4y2 = 12xy. Khẳng định nào sau đây là khẳng định đúng?
Lời giải:
Bài 44: Cho a, b, c > 0 đôi một khác nhau và khác 1, khẳng định nào sau đây là khẳng định đúng?
Lời giải:
Bài 46: Cho a, b là các số thực dương thoả mãn a2 + b2 = 14ab. Khẳng định nào sau đây là sai ?
Lời giải:
Bài 47: Với giá trị nào của m thì biểu thức xác định với mọi x ∈ (-3;+∞)?
A.m >-3 B.m < 3 C. m ≤ -3. D. m ≥ -3.
Lời giải:
Biểu thức f(x) xác định khi x-m>0 hay x>m.
Để f(x) xác định với mọi x ∈ (-3;+∞) thì m ≤ -3
Chọn C.
Bài 48: Biểu thức ln(x2 – 2mx + 4) có nghĩa với mọi x ∈ R khi
Lời giải:
Bài 49: Tìm x để ba số ln2, ln(2x – 1), ln(2x + 3) theo thứ tự lập thành cấp số cộng.
A. 1. B. 2. C.log2 5 D.log2 3.
Lời giải:
Để ba số ln2, ln(2x – 1), ln(2x + 3) theo thứ tự lập thành cấp số cộng thì
2ln(2x – 1) = ln2 + ln(2x + 3) => (2x – 1)2 = 2(2x + 3)
Chọn C.
Bài 50:
a/ Biểu thức T = log2(ax2 – 4x + 1) có nghĩa với mọi x ∈ R khi
A.0 < a < 4. B. a > 0 C. a > 4 D. a ∈∅.
b/ Với giá trị nào của m thì biểu thức f(x) = 12 + 3log2(3x + m) xác định với mọi x ∈ (3;+∞)?
A.m > -3. B.m > -9. C.m < -9. D.m ≥ -3.
Lời giải:
Bài 51:
a/Với giá trị nào của m thì biểu thức T = 34 + ln(4m – x) xác định với mọi x ∈ (-∞;-1)?
b/ Biểu thức T = log2(x2 – 4mx + 4) có nghĩa với mọi x ∞ R khi
A.-1 < m < 1. B. m > 1 C. m > 4 D. m ∞ R
Lời giải:
Bài 52: y = log2(4x – 2x + m) có tập xác định D=R khi:
Lời giải:
Bài 53: có tập xác định D=R khi đó có bao nhiêu giá trị nguyên dương của tham số m ?
A. 1 B. 5 C. 10 D. 13
Lời giải:
Bài 54: Cho hàm số . Mệnh đề nào dưới đây là đúng?
Lời giải:
Bài 55: Cho x, y là các số thực dương thỏa
Lời giải:
Bài 56: Đồ thị hàm số trong hình bên là đồ thị hàm sốnào trong các hàm số dưới đây.
Lời giải:
Nhận xét hàm số đã cho là hàm nghịch biến( loại A và C).
Mặt khác đồ thị hàm số đã cho nhận x = 1 là đường tiệm cận đứng
(Đáp án D là có tiệm cận ngang; không có tiệm cận đứng)
Chọn B.
Bài 57: Cho hàm số sau: y = f(x) = (x2 – 2(m + 4)x + 2m + 12).ex. Tìm tổng các giá trị nguyên của m để hàm số nghịch biến trên TXĐ là S thì giá trị của S sẽ là:
A. 15 B. -12 C. -15 D. -10
Lời giải:
+) TXĐ: D=R
+) Ta có f’(x) = (x2 – 2(m + 3)x + 4).ex.
Hàm số nghịch biến trên TXĐ khi x2 – 2(m + 3)x + 4 ≤ 0; ∀x ∈ R
Hay (m + 3)2 – 4 ≤ 0 ⇔ -5 ≤ m ≤ -1.
Chọn C
Bài 58: Cho α, β là các số thực. Đồ thị các hàm số y = xα, y = xβ trên khoảng (0;+∞) được cho hình vẽ bên. Khẳng định nào sau đây đúng?
A.0 < β < 1 < α B. β < 0 < 1 < α C. 0 < α < 1 < β D. α < 0 < 1 < β
Lời giải:
Với x0 > 1 ta có: x0 α > 1 ⇒ a > 0; x0β > 1 ⇒ β > 0
x0 α > x0β ⇒ α > β
Mặt khác, dựa vào hình dáng đồ thị ta suy ra α > 1 và β < 1
Chọn D.
Bài 59: Trong hình vẽ bên đồ thị (1) là của hàm số y = loga x và đồ thị (2) là của hàm số y = logb x Khẳng định nào sau đây là đúng
A. a > b > 1 B. b > a > 1
C. 1 > a > b > 0 D. 1 > b > a > 0
Lời giải:
Dựa vào đồ thị ta thấy 2 hàm số đã cho phải là 2 hàm đồng biến như vậy a; b>1
Mặt khác chọn x = 2 ta có:
Bài 60: Số các giá trị nguyên của tham số m trên [0;2018] để hàm số
A.1 B.2018 C.2012 D.4
Lời giải:
Bài 61: Cho hàm số có giá trị nhỏ nhất trên [1;e] bằng -3. Chọn khẳng định đúng về tham số m?
A.m>2 B.m> 5 C.m<3 D.m<0
Lời giải:
Với x ∈[1;e], ta có:
Điều kiện: m ≠ln x ⇔ m không thuộc (0;1).
Bài 62: Tìm tất cả các giá trị của tham số m sao cho hàm số đồng biến trên khoảng
.
Lời giải:
Bài 63: Cho hai số thực dương a, b khác 1. Biết rằng bất kì đường thẳng nào song song với trục hoành mà cắt các đường y = ax, y = bx và trục tung lần lượt tại M, N, A thì AN = 3AM ( hình vẽ bên ). Hỏi khẳng định nào sau đây đúng ?
A. ab2 = 1 B. b = 3a
C. a3b = 1 D. ab3 = 1
Lời giải:
Giả sử M(1 ;a) ⇒ N(-3 ;b-3). Mà M, N, A thẳng hàng suy ra a = b-3 ⇔ ab3 = 1
Chọn D.
Bài 64: Tập xác định của hàm số là:
Lời giải:
Bài 65: Tập xác định của hàm số y = log2(log3 x – 1) là:
Lời giải:
Bài 66:
Lời giải:
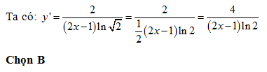
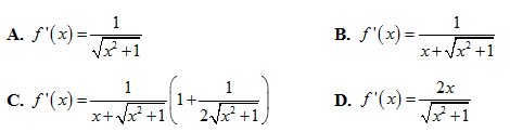
Bài 67: Đạo hàm của hàm số là:
Lời giải:
Bài 68: Đạo hàm của hàm số là:
Lời giải:
Bài 69: Đạo hàm của hàm số là:
Lời giải:
Bài 70: Đạo hàm của hàm số y = ln|x – 2| + 2x là:
Lời giải:
Bài 71:
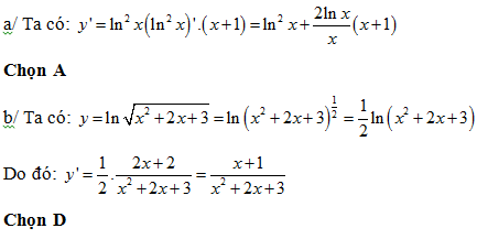
a/ Đạo hàm của hàm số y = (x + 1)ln2x là:
b/ Đạo hàm của hàm số là:
Lời giải:
Bài 72: Đạo hàm của hàm số là:
Lời giải:
Bài 73:
a/ Đạo hàm của hàm số y = xlog3x là:
A. y’ = log3x + 1 B. y’ = log3(xe) C. y’ = log3x + e D. y’ = log3 x – ln 3
b/ Đạo hàm của hàm số là:
Lời giải:
Bài 74: Giá trị lớn nhất và giá trị nhỏ nhất của hàm số y = 2sin2x +2cos2x là:
Lời giải:
Bài 75: giá trị lớn nhất và nhỏ nhất của hàm số y = 4x – 2x+1 trên đoạn [-1;1]
Lời giải:
Bài 76: giá trị lớn nhất và nhỏ nhất của hàm số trên đoạn [0;1] là:
Lời giải:
Bài 77:
Lời giải:
Bài 78: Cho hai số thực dương a, b thỏa mãn log2(a + 1) + log2(b + 1) ≥ 6. Giá trị nhỏ nhất của biểu thức S=a+b là
A. min S = 12 B. min S = 14 C. min S = 8 D. min S = 16
Lời giải:
Bài 79: Xét các số thực a, b thỏa mãn a>b>1 Tìm giá trị nhỏ nhất Pmin của biểu thức
A. Pmin = 19 B. Pmin = 13 C. Pmin = 14 D. Pmin = 15
Lời giải:
Bài 80: Số nghiệm của phương trình: là
A. 0. B. 1. C. 2. D. 3.
Lời giải:
(199k) Học Toán 12 KNTTHọc Toán 12 CDHọc Toán 12 CTST
Xem thêm các dạng bài tập Toán lớp 12 có trong đề thi Tốt nghiệp THPT khác:
- 200 bài tập trắc nghiệm Hàm số mũ, lũy thừa, Lôgarit có lời giải (cơ bản - phần 1)
- 200 bài tập trắc nghiệm Hàm số mũ, lũy thừa, Lôgarit có lời giải (cơ bản - phần 2)
- 200 bài tập trắc nghiệm Hàm số mũ, lũy thừa, Lôgarit có lời giải (cơ bản - phần 3)
- 200 bài tập trắc nghiệm Hàm số mũ, lũy thừa, Lôgarit có lời giải (cơ bản - phần 4)
- 200 bài tập trắc nghiệm Hàm số mũ, lũy thừa, Lôgarit có lời giải (cơ bản - phần 5)
- 200 bài tập trắc nghiệm Hàm số mũ, lũy thừa, Lôgarit có lời giải (nâng cao - phần 1)
- 200 bài tập trắc nghiệm Hàm số mũ, lũy thừa, Lôgarit có lời giải (nâng cao - phần 3)
- 200 bài tập trắc nghiệm Hàm số mũ, lũy thừa, Lôgarit có lời giải (nâng cao - phần 4)
- 200 bài tập trắc nghiệm Hàm số mũ, lũy thừa, Lôgarit có lời giải (nâng cao - phần 5)
Đã có app VietJack trên điện thoại, giải bài tập SGK, SBT Soạn văn, Văn mẫu, Thi online, Bài giảng....miễn phí. Tải ngay ứng dụng trên Android và iOS.
Theo dõi chúng tôi miễn phí trên mạng xã hội facebook và youtube:Nếu thấy hay, hãy động viên và chia sẻ nhé! Các bình luận không phù hợp với nội quy bình luận trang web sẽ bị cấm bình luận vĩnh viễn.
- Giải Tiếng Anh 12 Global Success
- Giải sgk Tiếng Anh 12 Smart World
- Giải sgk Tiếng Anh 12 Friends Global
- Lớp 12 Kết nối tri thức
- Soạn văn 12 (hay nhất) - KNTT
- Soạn văn 12 (ngắn nhất) - KNTT
- Giải sgk Toán 12 - KNTT
- Giải sgk Vật Lí 12 - KNTT
- Giải sgk Hóa học 12 - KNTT
- Giải sgk Sinh học 12 - KNTT
- Giải sgk Lịch Sử 12 - KNTT
- Giải sgk Địa Lí 12 - KNTT
- Giải sgk Giáo dục KTPL 12 - KNTT
- Giải sgk Tin học 12 - KNTT
- Giải sgk Công nghệ 12 - KNTT
- Giải sgk Hoạt động trải nghiệm 12 - KNTT
- Giải sgk Giáo dục quốc phòng 12 - KNTT
- Giải sgk Âm nhạc 12 - KNTT
- Giải sgk Mĩ thuật 12 - KNTT
- Lớp 12 Chân trời sáng tạo
- Soạn văn 12 (hay nhất) - CTST
- Soạn văn 12 (ngắn nhất) - CTST
- Giải sgk Toán 12 - CTST
- Giải sgk Vật Lí 12 - CTST
- Giải sgk Hóa học 12 - CTST
- Giải sgk Sinh học 12 - CTST
- Giải sgk Lịch Sử 12 - CTST
- Giải sgk Địa Lí 12 - CTST
- Giải sgk Giáo dục KTPL 12 - CTST
- Giải sgk Tin học 12 - CTST
- Giải sgk Hoạt động trải nghiệm 12 - CTST
- Giải sgk Âm nhạc 12 - CTST
- Lớp 12 Cánh diều
- Soạn văn 12 Cánh diều (hay nhất)
- Soạn văn 12 Cánh diều (ngắn nhất)
- Giải sgk Toán 12 Cánh diều
- Giải sgk Vật Lí 12 - Cánh diều
- Giải sgk Hóa học 12 - Cánh diều
- Giải sgk Sinh học 12 - Cánh diều
- Giải sgk Lịch Sử 12 - Cánh diều
- Giải sgk Địa Lí 12 - Cánh diều
- Giải sgk Giáo dục KTPL 12 - Cánh diều
- Giải sgk Tin học 12 - Cánh diều
- Giải sgk Công nghệ 12 - Cánh diều
- Giải sgk Hoạt động trải nghiệm 12 - Cánh diều
- Giải sgk Giáo dục quốc phòng 12 - Cánh diều
- Giải sgk Âm nhạc 12 - Cánh diều


Giải bài tập SGK & SBT
Tài liệu giáo viên
Sách
Khóa học
Thi online
Hỏi đáp

