200 bài tập trắc nghiệm Hàm số mũ, lũy thừa, Lôgarit có lời giải (nâng cao - phần 3)
Với 200 bài tập trắc nghiệm Hàm số mũ, lũy thừa, Lôgarit nâng cao có lời giải chi tiết sẽ giúp học sinh ôn tập, biết cách làm bài tập trắc nghiệm Hàm số mũ, lũy thừa, Lôgarit.
200 bài tập trắc nghiệm Hàm số mũ, lũy thừa, Lôgarit có lời giải (nâng cao - phần 3)
(199k) Học Toán 12 KNTTHọc Toán 12 CDHọc Toán 12 CTST
Bài 81: Phương trình 5x2-1+53-x2 = 26 có bao nhiêu nghiệm?
A. 2. B. 1. C. 4. D. 3
Lời giải:
Vậy phương trình có 4 nghiệm.
Chọn C.
Bài 82: Phương trình có bao nhiêu nghiệm âm?
A. 1. B. 3. C. 2. D. 0
Lời giải:
Bài 83: Biết rằng phương trình 2x2-2x-1 = 3 có hai nghiệm phân biệt là x1, x2. Tổng x12 + x22 có dạng a + blog2 3, với a, b ∈ R. Tính S = a2 + 5ab
A. S = 45 B. S = 96 C. S = 39 D. S = 126
Lời giải:
Bài 84: Gọi x1, x2 là hai nghiệm của phương trình . Khi đó, tổng hai nghiệm bằng?
A. 0. B. 2. C. -2. D. 1
Lời giải:
Bài 85: Tính tổng T tất cả các nghiệm của phương trình trên đoạn [0;3π]
Lời giải:
Bài 86: tính tổng các nghiệm của phương trình 4x2+x + 21-x2=2(x+1)2 + 1?
A. 1. B. 2. C. 3. D. 0
Lời giải:
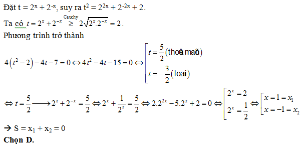
Bài 87: Tính S là tổng tất cả các nghiệm của phương trình
4.(22x + 2-2x) – 4.(2x + 2-x) – 7 = 0
A.S=1 B.S=-1 C.S=3 D. S=0
Lời giải:
Bài 88: Biết rằng phương trình có nghiệm duy nhất x = x0. Mệnh đề nào sau đây là đúng?
Lời giải:
Bài 89: Phương trình 3.25x-2 + (3x – 10)x-2 + 3 – x = 0 có tất cả bao nhiêu nghiệm?
A. 1 B. 2 C. 3 D. 4
Lời giải:
Bài 90: Biết phương trình 2x+1.5x = 15 có nghiệm duy nhất dạng alog 5 + blog 3 + clog 2 với a, b, c ∈ R. Tính S = a+2b+3c
A. S = 2 B. S = 6 C. S = 4 D. S = 0
Lời giải:
Bài 91: Phương trình 2x-3 = 3x2-5x+6 có hai nghiệm trong đó x1 < x2, hãy chọn phát biểu đúng
A. 3x1 – 2x2 = log3 8.
B. 2x1 – 3x2 = log38.
C. 2x1 + 3x2 = log3 54.
D. 3x1 + 2x2 = log3 54
Lời giải:
Bài 92: Biết rằng phương trình có nghiệm duy nhất dạng
, với a là số thực dương. Mệnh đề nào dưới đây là đúng?
Lời giải:
Bài 93: Giải phương trình
Lời giải:
Bài 94: Biết rằng phương trình có nghiệm duy nhất dạng
với a, b ∈ R. Tính S = a + 2b
A. S = 4 B. S = 3 C. S = 7 D. S = 6
Lời giải:
Bài 95: Phương trình 2log5(x+3) = x có tất cả bao nhiêu nghiệm?
A. 1. B. 2. C. 3. D. 0
Lời giải:
Bài 96: Gọi T là tổng tất cả các nghiệm của phương trình 3x2.2x = 1. Mệnh đề nào sau đây là đúng?
Lời giải:
Bài 97: Cho hàm số f(x) = 3x+1.5x2 Mệnh đề nào sau đây là sai?
A. f(x) = 1 ⇔ (x+1)log53 + x2 = 0.
B. f(x) = 1 ⇔ (x+1)log1/53 + x2 = 0
C. f(x) = 1 ⇔ x+1 – x2log35 = 0.
D. f(x) = 1 ⇔ (x+1)ln3 + x2ln5 = 0
Lời giải:
Bài 98: Gọi x0 là nghiệm nguyên của phương trình . Tính giá trị của biểu thức P = x0(5 – x0)(x0 + 8)
A. P = 40. B. P = 50. C. P = 60. D. P = 80
Lời giải:
Bài 99: Phương trình có tất cả bao nhiêu nghiệm?
A. 0. B. 1. C. 2. D. 4.
Lời giải:
Bài 100: Tìm tập nghiệm S của phương trình , m là tham số khác 2.
A. S = {2;mlog35} B. S = {2;m+log35}
C. S = {2} D. S = {2; m – log35}
Lời giải:
Bài 101: Biết rằng phương trình có đúng hai nghiệm x1, x2. Tính giá trị của
Lời giải:
Bài 102: Biết rằng phương trình . Có hai nghiệm phân biệt là x1, x2. Tổng
x1 + x2 có dạng ,với a, b ∈ R* và
là phân số tối giản. Tính S = a + 2b
Lời giải:
Bài 103: Biết rằng phương trình có hai nghiệm phân biệt là x1, x2. Tính giá trị của biểu thức S = x1 + x2
Lời giải:
Bài 104: Phương trình (x + 2)x2-5x+6 = 1 có số nghiệm là?
A. 4 B. 2 C. 3 D. 1
Lời giải:
Thử lại ta thấy thỏa mãn phương trình đã cho.
+TH2: x + 2 = 1 ⇔ x = -1, thử lại ta thấy thỏa mãn phương trình đã cho
+TH3: x + 2 = -1 ⇔ x = -3, thử lại ta thấy thỏa mãn phương trình đã cho
Tóm lại, phương trình đã cho có nghiệm là x = -1, x = 2, x = ±3
Chọn A
Bài 105: Phương trình (x2 + x - 3)x2-2x+3 = (x2 + x – 3)x+1 có số nghiệm là?
A. 6 B. 5 C. 4 D. 7
Lời giải:
Bài 106: giải phương trình
Lời giải:
Bài 107: Biết rằng phương trình 23x – 3.22x+1 + 11.2x – 6 = 0 có ba nghiệm phân biệt x1, x2, x3.Tính S = x1 + x2 + x3
A. S = log224
B. S = log1212
C. S = log218
D. S = log26
Lời giải:
Bài 108: Biết rằng 8x – 6.12x + 11.8x – 6.27x = 0 có ba nghiệm phân biệt x1, x2, x3. Tính
A. S = 2 – 4log62
B. S = 2 – 4log63
C. S = -2 + 4log62
D. S = -2 + 4log63
Lời giải:
Bài 109: Phương trình 1 + 28-5x = 2x2-5x+5 + 23-x2 ) có nghiệm là?
A. 4 B. 2 C. 3 D. 1
Lời giải:
Bài 100:
A. S = 2611 B. S = 2681 C. S = 2422 D. S = 2429
Lời giải:
Bài 111: Biết rằng phương trình có hai nghiệm phân biệt là x1, x2 (x1 < x2). Tính S = x1 + 2x2
A. S = log518 B. S = log59 C. S = log53 D. S = log515
Lời giải:
Bài 112: Phương trình 2x = 3 – x có số nghiệm là ?
A. 2 B. 3 C. 1 D. 4
Lời giải:
Điều kiện: x ∈ R (*)
Phương trình ⇔ 2x + x – 3 = 0 (1)
Xét hàm số f(x) = 2x + x – 3, với x ∈ R có f’(x) = 2xln2 + 1 > 0, ∀x ∈ R
⇒ f(x) đồng biến trên R
Do đó trên R phương trình f(x) = 0 nếu có nghiệm thì sẽ có nghiệm duy nhất.
Mà f(1) = 0 ⇒ x = 1 là nghiệm duy nhất của (1).
Nhận xét
Ta có thể giải phương trình (1) bằng cách khác như sau:
+ Với x > 1 ⇒ VT(1) > 2 + 1 – 3 = 0 ⇒ Loại
+ Với x < 1 ⇒ VT(1) < 2 + 1 – 3 = 0 ⇒ Loại
+) Với x = 1, ta thấy đã thỏa mãn (1) nên (1) ⇔x = 1.
Chọn C.
Bài 113: Tìm số nghiệm của phương trình
A. Có nghiệm. B. Có vô số nghiệm.
C. Có nghiệm. D. Không có nghiệm.
Lời giải:
Bài 114: Cho phương trình 2016x2-1 + (x2 – 1).2017x = 1 (1). Khẳng định nào dưới đây đúng?
A. Phương trình (1) có nghiệm duy nhất.
B. Phương trình (1) vô nghiệm.
C. Phương trình (1) có tổng các nghiệm bằng 0.
D. Phương trình (1) có nhiều hơn hai nghiệm.
Lời giải:
+trường hợp 1: x2 – 1 > 0
⇒ 2016x2-1 > 1 ⇒ 2016x2-1 + (x2 – 1).2017x > 1.
+ Trường hợp 2: x2 – 1 < 0
⇒ 2016x2-1 < 1 ⇒ 2016x2-1 + (x2 – 1).2017x < 1.
Vậy x2 – 1 = 0 ⇔ x = ±1.
Chọn C.
Bài 115: Phương trình có tất cả bao nhiêu nghiệm thực
A. 1. B. 2. C. 3. D. 4
Lời giải:
Vậy phương trình có nghiệm duy nhất là x=2.
Chọn A.
Bài 116: Phương trình 32x + 2x(3x + 1) – 4.3x - 5 = 0 có tất cả bao nhiêu nghiệm không âm?
A. 1. B. 2. C. 0. D. 3
Lời giải:
Bài 117: Phương trình 2x-1 - 2x2-x = (x – 1)2 có tất cả bao nhiêu nghiệm?
A. 1. B. 2. C. 3. D. 4
Lời giải:
Phương trình 2x-1 - 2x2-x = (x – 1)2 ⇔ 2x-1 + (x – 1) = 2x2-x + (x2 – x) (*)
Xét hàm số f(t) = 2t + t trên R ta có f’(t) = 2tln2 + 1 > 0, ∀t∈ R
Suy ra hàm số f(t) đồng biến trên R
Nhận thấy có dạng f(x – 1) = f(x2 – x) ⇔ x – 1 = x2 – x
⇔ (x – 1)2 = 0 ⇔ x = 1
Vậy phương trình có một nghiệm duy nhất x=1.
Chọn A.
Bài 118: Tính tổng tất cả các nghiệm của phương trình trên đoạn [0;π]
Lời giải:
Bài 119: Biết rằng phương trình 3x2-1 + (x2 – 1)3x+1 = 1 có đúng hai nghiệm phân biệt. Tổng lập phương hai nghiệm của phương trình bằng:
A. 2. B. 0. C. 8. D. -8
Lời giải:
+ Nếu x ∈ (-∞ ;-1) ∪ (1;+∞) thì x2 – 1 > 0. Suy ra => 3x2-1 + (x2 – 1)3x+1 > 1. Do đó phương trình đã cho vô nghiệm.
+ Nếu x ∈ (-1 ;1) thì x2 – 1 < 0. Suy ra 3x2-1 + (x2 – 1)3x+1 < 1. Do đó phương trình đã cho vô nghiệm.
+ Kiểm tra x = ±1 thỏa mãn phương trình đã cho. Vậy phương trình đã cho có hai nghiệm x = -1 = x1, x = 1 = x2.
Suy ra x13 + x23 = 0
Chọn B.
Bài 120: Cho phương trình 2016x2-1 + (x2 – 1).2017x = 1. Mệnh đề nào sau đây là đúng?
A. Phương trình đã cho có tổng các nghiệm bằng 0.
B. Phương trình đã cho có nghiệm duy nhất.
C. Phương trình đã cho có hai nghiệm dương phân biệt.
D. Phương trình đã cho có nhiều hơn hai nghiệm.
Lời giải:
⇒ 2016(x2-1 + (x2 – 1).2017x < 1. Do đó phương trình đã cho vô nghiệm.
+ Kiểm tra x = ±1 thỏa mãn phương trình đã cho.
Vậy phương trình đã cho có hai nghiệm x = -1 = x1, x = 1 = x2.
Suy ra phương trình đã cho có tổng các nghiệm bằng 0.
Chọn A.
(199k) Học Toán 12 KNTTHọc Toán 12 CDHọc Toán 12 CTST
Xem thêm các dạng bài tập Toán lớp 12 có trong đề thi Tốt nghiệp THPT khác:
- 200 bài tập trắc nghiệm Hàm số mũ, lũy thừa, Lôgarit có lời giải (cơ bản - phần 1)
- 200 bài tập trắc nghiệm Hàm số mũ, lũy thừa, Lôgarit có lời giải (cơ bản - phần 2)
- 200 bài tập trắc nghiệm Hàm số mũ, lũy thừa, Lôgarit có lời giải (cơ bản - phần 3)
- 200 bài tập trắc nghiệm Hàm số mũ, lũy thừa, Lôgarit có lời giải (cơ bản - phần 4)
- 200 bài tập trắc nghiệm Hàm số mũ, lũy thừa, Lôgarit có lời giải (cơ bản - phần 5)
- 200 bài tập trắc nghiệm Hàm số mũ, lũy thừa, Lôgarit có lời giải (nâng cao - phần 1)
- 200 bài tập trắc nghiệm Hàm số mũ, lũy thừa, Lôgarit có lời giải (nâng cao - phần 2)
- 200 bài tập trắc nghiệm Hàm số mũ, lũy thừa, Lôgarit có lời giải (nâng cao - phần 4)
- 200 bài tập trắc nghiệm Hàm số mũ, lũy thừa, Lôgarit có lời giải (nâng cao - phần 5)
Đã có app VietJack trên điện thoại, giải bài tập SGK, SBT Soạn văn, Văn mẫu, Thi online, Bài giảng....miễn phí. Tải ngay ứng dụng trên Android và iOS.
Theo dõi chúng tôi miễn phí trên mạng xã hội facebook và youtube:Nếu thấy hay, hãy động viên và chia sẻ nhé! Các bình luận không phù hợp với nội quy bình luận trang web sẽ bị cấm bình luận vĩnh viễn.
- Giải Tiếng Anh 12 Global Success
- Giải sgk Tiếng Anh 12 Smart World
- Giải sgk Tiếng Anh 12 Friends Global
- Lớp 12 Kết nối tri thức
- Soạn văn 12 (hay nhất) - KNTT
- Soạn văn 12 (ngắn nhất) - KNTT
- Giải sgk Toán 12 - KNTT
- Giải sgk Vật Lí 12 - KNTT
- Giải sgk Hóa học 12 - KNTT
- Giải sgk Sinh học 12 - KNTT
- Giải sgk Lịch Sử 12 - KNTT
- Giải sgk Địa Lí 12 - KNTT
- Giải sgk Giáo dục KTPL 12 - KNTT
- Giải sgk Tin học 12 - KNTT
- Giải sgk Công nghệ 12 - KNTT
- Giải sgk Hoạt động trải nghiệm 12 - KNTT
- Giải sgk Giáo dục quốc phòng 12 - KNTT
- Giải sgk Âm nhạc 12 - KNTT
- Giải sgk Mĩ thuật 12 - KNTT
- Lớp 12 Chân trời sáng tạo
- Soạn văn 12 (hay nhất) - CTST
- Soạn văn 12 (ngắn nhất) - CTST
- Giải sgk Toán 12 - CTST
- Giải sgk Vật Lí 12 - CTST
- Giải sgk Hóa học 12 - CTST
- Giải sgk Sinh học 12 - CTST
- Giải sgk Lịch Sử 12 - CTST
- Giải sgk Địa Lí 12 - CTST
- Giải sgk Giáo dục KTPL 12 - CTST
- Giải sgk Tin học 12 - CTST
- Giải sgk Hoạt động trải nghiệm 12 - CTST
- Giải sgk Âm nhạc 12 - CTST
- Lớp 12 Cánh diều
- Soạn văn 12 Cánh diều (hay nhất)
- Soạn văn 12 Cánh diều (ngắn nhất)
- Giải sgk Toán 12 Cánh diều
- Giải sgk Vật Lí 12 - Cánh diều
- Giải sgk Hóa học 12 - Cánh diều
- Giải sgk Sinh học 12 - Cánh diều
- Giải sgk Lịch Sử 12 - Cánh diều
- Giải sgk Địa Lí 12 - Cánh diều
- Giải sgk Giáo dục KTPL 12 - Cánh diều
- Giải sgk Tin học 12 - Cánh diều
- Giải sgk Công nghệ 12 - Cánh diều
- Giải sgk Hoạt động trải nghiệm 12 - Cánh diều
- Giải sgk Giáo dục quốc phòng 12 - Cánh diều
- Giải sgk Âm nhạc 12 - Cánh diều


Giải bài tập SGK & SBT
Tài liệu giáo viên
Sách
Khóa học
Thi online
Hỏi đáp

