200 bài tập trắc nghiệm Hàm số mũ, lũy thừa, Lôgarit có lời giải (nâng cao - phần 4)
Với 200 bài tập trắc nghiệm Hàm số mũ, lũy thừa, Lôgarit nâng cao có lời giải chi tiết sẽ giúp học sinh ôn tập, biết cách làm bài tập trắc nghiệm Hàm số mũ, lũy thừa, Lôgarit.
200 bài tập trắc nghiệm Hàm số mũ, lũy thừa, Lôgarit có lời giải (nâng cao - phần 4)
(199k) Học Toán 12 KNTTHọc Toán 12 CDHọc Toán 12 CTST
Bài 121: Phương trình 4x + 2x(x – 7) – 4x + 12 = 0 có số nghiệm là?
A. 2 B. 1 C. 3 D. 4
Lời giải:
+ TH1. t = 4 ⇒ 2x = 4 ⇔ x = 2
+ TH2. t = 3 – x ⇒ 2x = 3 – x, theo câu trên ta được x = 1
Tóm lại, phương trình đã cho có nghiệm là x1 = 1, x2 = 2
Chọn A.
Bài 122:
A. S = 11 B. S = -9 C. S = 575 D. S = 675
Lời giải:
Bài 123: Tìm tất cả các nghiệm của phương trình 4x2-3x+2+4x2+6x+5=42x2+3x+7 + 1
A. x ∈ {-5;-1;1;2}. B. x ∈ {-5;-1;1;3}.
C. x ∈ {-5;-1;1;-2}. D. x ∈ {5;-1;1;2}
Lời giải:
Bài 124: Phương trình 2x2+1 + 3x2+2 = 5(sin x + cos x) có số nghiệm là ?.
A. 2 B. 1 C. 0 D. 3
Lời giải:
Điều kiện: x ∈ R (*)
Ta có 2x2+1 + 3x2+2≥ 20+1 + 30+2 = 11, ∀x ∈ R.
Mà 5(sin x + cos x) ≤ 5(1+1) = 10, ∀x ∈ R
⇒ 2x2+1 + 3x2+2 > 5(sin x + cos x) => phương trình vô nghiệm.
Chọn C.
Bài 125: Phương trình có số nghiệm là?
A. 0 B. 1 C. 2 D. 3
Lời giải:
Bài 126: Phương trình có nghiệm là?
A. 2 B. 1 C. 0 D. 3
Lời giải:
Bài 127: Phương trình có số nghiệm là?
A. 3 B. 2 C. 1 D. 0
Lời giải:
Bài 128: Với giá trị nào của tham số m thì phương trình có hai nghiệm phân biệt
A. m > 2. B. m < 2. C. m = 2. D. m ≤ 2
Lời giải:
Dựa vào bảng biến thiên:
+ nếu m 7< 2 thì phương trình (1’) vô nghiệm ⇒ pt (1) vô nghiệm.
+ nếu m = 2 thì phương trình (1’) có đúng một nghiệm t = 1 ⇒ pt(1) có đúng một nghiệm
+ nếu m > 2 thì phương trình (1’) có hai nghiệm phân biệt ⇒ pt(1) có hai nghiệm phân biệt.
Chọn A.
Bài 129: Với giá trị nào tham số m thì phương trình có hai nghiệm trái dấu?
Lời giải:
Bài 130: Với giá trị nào của tham số m thì phương trình 4x – m.2x+1 + 2m = 0 có hai nghiệm x1, x2 với x1, x2 thỏa mãn x1 + x2 = 3?
A.m=4 B.m=2 C.m=1 D.m=3
Lời giải:
Bài 131: Tìm tất cả các giá trị thực của tham số m để phương trình 22x-1 + m2 – m = 0 có nghiệm.
A.m<0 B.0<m<1 C.m<0;m>1. D.m>1
Lời giải:
Ta có 22x-1 + m2 – m = 0 ⇔ 22x-1 = -m2 +m
Vì 2x-1 có miền giá trị là R nên 22x-1 có miền giá trị là (0;+∞), do đó phương trình có nghiệm ⇔ -m2 + m > 0 ⇔ 0 < m < 1
Chọn B.
Bài 132: Tìm tất cả các giá trị của tham số m để phương trình 4x+1 – 2x+2 + m = 0 có nghiệm.
A. m ≤ 0. B. m ≥ 0. C. m ≤ 1. D. m ≥ 1.
Lời giải:
Bài 133: Tìm tất cả các giá trị thực của tham số m để phương trình có nghiệm.
A. m ∈ (-∞;5). B. m ∈ (-∞;5]. C. m ∈ (2;+∞). D. m ∈ [2;+∞).
Lời giải:
Bài 134: Tìm tất cả các giá trị của tham số m để phương trình 4sin x + 21+sin x – m = 0 có nghiệm.
Lời giải:
Bài 135: Tìm giá trị thực của tham số m để phương trình 20172x-1 – 2m.2017x + m = 0 có hai nghiệm thực x1, x2 thỏa mãn x1 + x2 = 1
A. m = 0. B. m = 3. C. m = 2. D. m = 1
Lời giải:
Giả sử phương trình có hai nghiệm x1, x2.
Theo Viet, ta có 2017x1. 2017x2 = 2017m ⇔ 2017x1+x2 = 2017m
⇔ 2017 = 2017m ⇔ m = 1
Thử lại với m = 1 ta thấy thỏa mãn.
Chọn D.
Bài 136: Cho phương trình (m+1)16x – 2(2m – 3)4x + 6m + 5 = 0 với m là tham số thực. Tập tất cả các giá trị của m để phương trình có hai nghiệm trái dấu có dạng (a;b). Tính P=a.b
Lời giải:
Bài 137: Tìm tất cả các giá trị của tham số m để phương trình 9x – (m – 1)3x + 2m = 0 có nghiệm duy nhất.
Lời giải:
Bài 138: Cho phương trình 4x2-2x+1 – m.2x2-2x+2 + 3m – 2 = 0 với m là tham số thực. Tìm tất cả các giá trị của m để phương trình có bốn nghiệm phân biệt.
A.m<1 B. m<1;m>2 C. m ≥ 2. D. m>2
Lời giải:
Bài 139: Cho phương trình m.2x2-5x+6+21-x2 = 2.26-5x + m với m là tham số thực. Có tất cả bao nhiêu giá trị của m để phương trình có đúng ba nghiệm phân biệt.
A. 1. B. 2. C. 3. D. 4.
Lời giải:
Yêu cầu bài toán tương đương với
+ TH1: Phương trình (*) có nghiệm duy nhất (x = 0), suy ra m = 2
+ TH2: Phương trình (*) có hai nghiệm phân biệt, trong đó có một nghiệm là 2 và nghiệm còn lại khác 3, suy ra m = 2-3
+ TH3: Phương trình (*) có hai nghiệm phân biệt, trong đó có một nghiệm là 3 và nghiệm còn lại khác 2, suy ra m = 2-8
Vậy có tất cả ba giá trị m thỏa mãn.
Chọn C.
Bài 140: Tìm tất cả các giá trị thực của tham số m để phương trình 2x2.52x+m = 3 có hai nghiệm.
A. m < log53 + log25 B. m >log35 + log52
C. m < log53 + log52 D. m > log53 + log25
Lời giải:
Bài 141: Tìm tất cả các giá trị của tham số m để phương trình x3 – 3x – log2m = 0 có đúng một nghiệm.
Lời giải:
Điều kiện: m > 0
Phương trình ⇔ x3 – 3x = log2m. Đây là phương trình hoành độ giao điểm của đồ thị hàm số y = x3 – 3x với đường thẳng y = log2m (có phương song song trục hoành).
Bài 142: Cho phương trình (m là tham số thực) có nghiệm duy nhất. Mệnh đề nào dưới đây là đúng ?
A. 1 < m < 2 B. 2 ≤ m < 4 C. m > 2 D. m > 3
Lời giải:
Bài 143: Hỏi có bao nhiêu giá trị nguyên của m để phương trình m(2x + 3x) = 3x+1 – 2x+2 có nghiệm thực?
A.8 B.5 C.7 D. 6
Lời giải:
Bài 144: Cho phương trình 4x – (m + 3).2x +m + 2 = 0 (m là tham số thực dương) có hai nghiệm thực phân biệt x1, x2 thỏa mãn x12 + x22 = 9. Mệnh đề nào dưới đây là đúng ?
A. 1 < m ≤ 3 B. 3 ≤ m < 5 C. 0 < m ≤ 1 D. m > 5
Lời giải:
Bài 145: Bất phương trình có số nghiệm nguyên là?
A. 1 B.3 C.2 D. 4
Lời giải:
Bài 146: Bất phương trình có số nghiệm nguyên là ?
A. 1 B.3 C.2 D. 4
Lời giải:
Bài 147: Bất phương trình có số nghiệm nguyên là ?
A. 7 B.4 C. 6 D. 5
Lời giải:
Bài 148: Cho hàm số f(x) = 2x.7x2. Khẳng định nào sau đây là khẳng định sai ?
A. f(x) < 1 ⇔ x + x2log27 < 0
B. f(1) < 1 ⇔ xln2 + x2ln7 < 0
C. f(1) < 1 ⇔ xlog72 + x2 < 0
D. f(1) < 1 ⇔ 1 + xlog27 < 0
Lời giải:
Bài 149: Cho hàm số . Khẳng định nào sau đây là khẳng định sai ?
A. f(1) > 1 ⇔ xlog69 > x2
B.f(1) > 1 ⇔ xln9 > x2ln6
C. f(x) > 1 ⇔ x > x2log96
D. f(x) > 1 ⇔ x < log69
Lời giải:
Đến đây, ta đã chọn được ngay D là đáp án đúng.
Khi xét đáp án A ở trên thì f(1) > 1 ⇔ ⇔ xlog69 > x2
Trên Rthì ⇔ xlog69 > x2 không tương đương với x < log69
Chọn D.
Bài 150: Hỏi có bao nhiêu giá trị nguyên của m để bất phương trình 2x – m2 + 10m – 9 > 0 nghiệm đúng với mọi x.
A. 9 B.7 C. 10 D. 8
Lời giải:
Điều kiện: x ∈ R (*)
Bất phương trình ⇔ 2x > m2 – 10m + 9
Bất phương trình đã cho nghiệm đúng với ∀x ∈ R ⇔ m2 – 10m + 9≤ 0 ⇔ 1 ≤ m ≤ 9
Mà m ∈ R ⇒ m ∈ {1;2;3;4;5;6;7;8;9}
Chọn A.
Bài 151: Tìm tất cả các giá trị thực của m để bất phương trình nghiệm đúng với mọi x.
A. 0 < m < 4 B.0 < m ≤ 1 C. 1 < m < 4 D. m ≥ 1
Lời giải:
Bài 152: Nghiệm của phương trình log5x = log7(x+2) là:
A. 3. B. 4. C. 5. D. 6
Lời giải:
Bài 153: Gọi x0 là nghiệm của phương trình . Mệnh đề nào dưới đấy đúng?
A. x0 là số chính phương B. x0 > 50
C. x0 là một số lẻ D. x0 ∈ (41 ;50)
Lời giải:
Bài 154: Biết phương trình log3(3x+1 – 1) =2x + log32 có hai nghiệm x1, x2. Tính tổng S = 27x1+ 27x2.
Lời giải:
Bài 155:
A. 4 B. 5 C. 7 D. 9
Lời giải:
Bài 156: Phương trình có tổng hai nghiệm bằng
A. 12 B. 8 C. 10 D. 6
Lời giải:
Vậy tổng hai nghiệm của phương trình là 10.
Chọn C.
Bài 157: Phương trình có nghiệm duy nhất x0 được biểu diễn dưới dạng
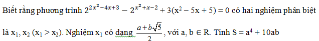
với m, n là các số nguyên. Tổng m + n bằng.
A. 11 B. 7 C. 10 D. 6
Lời giải:
Bài 158: Tìm tất cả các giá trị thực của m để phương trình log2(-x2 – 3x – m + 10) = 3 có nghiệm thực phân biệt trái dấu.
A.m<4 B.m>2 C.m<2 D.m>4
Lời giải:
Phương trình có hai nghiệm thực phân biệt trái dấu ⇔ m – 2 < 0 ⇔ m < 2
Chọn C.
Bài 159: Cho phương trình sau:
Tìm m để phương trình trên có 2 nghiệm phân biệt thỏa mãn 4 < x1 < x2 < 6.
A. m ∈ (0;+∞). B. m ∈ (0;+∞) \ {1}.
C. m ∈ (0;+∞) \ {2}. D. m ∈ (0;+∞) \ {-1}
Lời giải:
Bài 160: Phương trình log3(3x – 6) = 3 – x có nghiệm duy nhất x0. Biết rằng x0 cũng là nghiệm của phương trình log3(x + 7a) = 2log2x. Mệnh đề nào dưới đây đúng ?
Lời giải:
(199k) Học Toán 12 KNTTHọc Toán 12 CDHọc Toán 12 CTST
Xem thêm các dạng bài tập Toán lớp 12 có trong đề thi Tốt nghiệp THPT khác:
- 200 bài tập trắc nghiệm Hàm số mũ, lũy thừa, Lôgarit có lời giải (cơ bản - phần 1)
- 200 bài tập trắc nghiệm Hàm số mũ, lũy thừa, Lôgarit có lời giải (cơ bản - phần 2)
- 200 bài tập trắc nghiệm Hàm số mũ, lũy thừa, Lôgarit có lời giải (cơ bản - phần 3)
- 200 bài tập trắc nghiệm Hàm số mũ, lũy thừa, Lôgarit có lời giải (cơ bản - phần 4)
- 200 bài tập trắc nghiệm Hàm số mũ, lũy thừa, Lôgarit có lời giải (cơ bản - phần 5)
- 200 bài tập trắc nghiệm Hàm số mũ, lũy thừa, Lôgarit có lời giải (nâng cao - phần 1)
- 200 bài tập trắc nghiệm Hàm số mũ, lũy thừa, Lôgarit có lời giải (nâng cao - phần 2)
- 200 bài tập trắc nghiệm Hàm số mũ, lũy thừa, Lôgarit có lời giải (nâng cao - phần 3)
- 200 bài tập trắc nghiệm Hàm số mũ, lũy thừa, Lôgarit có lời giải (nâng cao - phần 5)
Đã có app VietJack trên điện thoại, giải bài tập SGK, SBT Soạn văn, Văn mẫu, Thi online, Bài giảng....miễn phí. Tải ngay ứng dụng trên Android và iOS.
Theo dõi chúng tôi miễn phí trên mạng xã hội facebook và youtube:Nếu thấy hay, hãy động viên và chia sẻ nhé! Các bình luận không phù hợp với nội quy bình luận trang web sẽ bị cấm bình luận vĩnh viễn.
- Giải Tiếng Anh 12 Global Success
- Giải sgk Tiếng Anh 12 Smart World
- Giải sgk Tiếng Anh 12 Friends Global
- Lớp 12 Kết nối tri thức
- Soạn văn 12 (hay nhất) - KNTT
- Soạn văn 12 (ngắn nhất) - KNTT
- Giải sgk Toán 12 - KNTT
- Giải sgk Vật Lí 12 - KNTT
- Giải sgk Hóa học 12 - KNTT
- Giải sgk Sinh học 12 - KNTT
- Giải sgk Lịch Sử 12 - KNTT
- Giải sgk Địa Lí 12 - KNTT
- Giải sgk Giáo dục KTPL 12 - KNTT
- Giải sgk Tin học 12 - KNTT
- Giải sgk Công nghệ 12 - KNTT
- Giải sgk Hoạt động trải nghiệm 12 - KNTT
- Giải sgk Giáo dục quốc phòng 12 - KNTT
- Giải sgk Âm nhạc 12 - KNTT
- Giải sgk Mĩ thuật 12 - KNTT
- Lớp 12 Chân trời sáng tạo
- Soạn văn 12 (hay nhất) - CTST
- Soạn văn 12 (ngắn nhất) - CTST
- Giải sgk Toán 12 - CTST
- Giải sgk Vật Lí 12 - CTST
- Giải sgk Hóa học 12 - CTST
- Giải sgk Sinh học 12 - CTST
- Giải sgk Lịch Sử 12 - CTST
- Giải sgk Địa Lí 12 - CTST
- Giải sgk Giáo dục KTPL 12 - CTST
- Giải sgk Tin học 12 - CTST
- Giải sgk Hoạt động trải nghiệm 12 - CTST
- Giải sgk Âm nhạc 12 - CTST
- Lớp 12 Cánh diều
- Soạn văn 12 Cánh diều (hay nhất)
- Soạn văn 12 Cánh diều (ngắn nhất)
- Giải sgk Toán 12 Cánh diều
- Giải sgk Vật Lí 12 - Cánh diều
- Giải sgk Hóa học 12 - Cánh diều
- Giải sgk Sinh học 12 - Cánh diều
- Giải sgk Lịch Sử 12 - Cánh diều
- Giải sgk Địa Lí 12 - Cánh diều
- Giải sgk Giáo dục KTPL 12 - Cánh diều
- Giải sgk Tin học 12 - Cánh diều
- Giải sgk Công nghệ 12 - Cánh diều
- Giải sgk Hoạt động trải nghiệm 12 - Cánh diều
- Giải sgk Giáo dục quốc phòng 12 - Cánh diều
- Giải sgk Âm nhạc 12 - Cánh diều


Giải bài tập SGK & SBT
Tài liệu giáo viên
Sách
Khóa học
Thi online
Hỏi đáp

