15 Bài tập hàm số mũ và logarit nâng cao có lời giải
Bài viết 15 Bài tập hàm số mũ và logarit nâng cao có lời giải gồm các dạng bài tập về Hàm số mũ và logarit lớp 12 từ cơ bản đến nâng cao giúp học sinh lớp 12 biết cách làm bài tập Hàm số mũ và logarit.
15 Bài tập hàm số mũ và logarit nâng cao có lời giải
(199k) Xem Khóa học Toán 12 KNTTXem Khóa học Toán 12 CDXem Khóa học Toán 12 CTST
Câu 1:Cho hàm số . Tìm m để hàm số đồng biến trên khoảng (1;2) .
A. .
B. .
C. .
D. m<e+1
Lời giải:
•Hàm số đồng biến trên khoảng (1; 2) khi và chỉ khi (*),
mà .
Nên (*)
• Đặt ,
.
Vậy (*) xảy ra khi m ≥ g(2) hay m ≥ 3e4+ 1
Chọn B.
Câu 2:Xét các số thực a; b thỏa mãn a> b> 1. Tìm giá trị nhỏ nhất P của biểu thức .
A.19
B. 16
C.m 18
D. 15
Lời giải:
Với điều kiện đề bài, ta có
Đặt (vì a > b > 1),
ta có .
Ta có
Vậy f’ (t) = 0 khi t= ½. Lập bảng biến thiên ta có Pmin= 15
Chọn D
Câu 3: Cho hai số thực dương x;y thỏa mãn 2x+ 2y= 4. Tìm giá trị nhỏ nhất P của biểu thức P= ( 2x2+ y) ( 2y2+ x) = 9xy.
A. 15
B. 18
C . 30
D. 19
Lời giải:
Ta có .
Suy ra .
Khi đó .
.
Do đó giá trị nhỏ nhất của P là 18.
Chọn B.
Câu 4:Cho . Nếu a+ b= 1 thì f( a) + f( b) là
A. 2
B . 5
C. 6
D. 1
Lời giải:
Do a+ b= 1 nên b= 1-a
Khi đó ta có:
.
Chọn D.
Câu 5:Tìm tích tất cả các nghiệm của phương trình 4.3log(100x2) + 9.4long(10x) = 13.61+logx .
A.50
B. 60
C. 80
D.1
Lời giải:
Điều kiện x> 0.
PT ⇔ 4.3log(100x2) + 9.2long(10x) = 13.61+logx
Đặt thì phương trình trở thành:
.
Suy ra tích các nghiệm bằng .
Chọn D.
Câu 6:Tìm tập hợp các giá trị của tham số thực m để phương trình 6x +(3-m)2x - m = 0 có nghiệm thuộc khoảng( 0;1 ) .
A. [3; 4]
B.(4; 5]
C.(2; 4)
D. Đáp án khác
Lời giải:
Ta có: 6x +(3-m)2x - m = 0 (1) ⇔
Xét hàm số f( x) xác định trên R có
nên hàm số f(x) đồng biến trên R.
Suy ra 0<, x< 1 nên f(0) < f( x) < f( 1) hay 2< f(x) < 4
Vậy phương trình có nghiệm thuộc khoảng (0; 1) khi m ∈ (2;4) .
Chọn C.
Câu 7:Có bao nhiêu giá trị thực của tham số m để phương trình m.3x2-3x+2+34-x2=36-3x+m có đúng 3 nghiệm thực phân biệt.
A. 0
B. 1
C. 3
D. 5
Lời giải:
Đặt . . Khi đó phương trình trở thành
Để phương trình có ba nghiệm thì x2=4-log3m có một nghiệm khác 1;2 .
Tức 4-log3m=0 ⇔ m=81 .
Chọn B
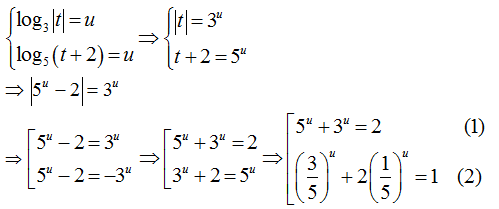
Câu 8:Số nghiệm của phương trình là
A. 1
B.3
C. 4
D. 2
Lời giải:
ĐK: .
Đặt
.
Đặt
Xét (1):5u + 3u =2
Ta thấy u= 0 là 1 nghiệm, dùng phương pháp hàm số hoặc dùng BĐT để chứng minh nghiệm u= 0 là duy nhất.
Với , phương trình này vô nghiệm.
Xét
Ta thấy u= 1 là 1 nghiệm, dùng phương pháp hàm số hoặc dùng BĐT để chứng minh nghiệm u= 1 là duy nhất.
Với , phương trình có 2 nghiệm phân biệt .
Chọn D.
Câu 9:Trong tất cả các cặp (x; y) thỏa mãn logx2+y2+2(4x+4y-4)≥1 . Tìm m để tồn tại duy nhất cặp (x; y) sao cho x2+y2+2x-2y+2-m=0 .
A. .
B. .
C. .
D. .
Lời giải:
Ta có logx2+y2+2(4x+4y-4)≥1 ⇔ x2 + y2 - 4x - 4y + 6 ≤ 0 (1) .
Giả sử M( x; y) thỏa mãn pt (1) , khi đó tập hợp điểm M là hình tròn (C1) tâm I (2; 2) bán kính .
Các đáp án đề cho đều ứng với m > 0.
Dễ thấy x2+y2 + 2x - 2y + 2 - m = 0 là phương trình đường tròn (C2) tâm J( -1; 1) bán kính .
Vậy để tồn tại duy nhất cặp (x; y) thỏa đề khi chỉ khi ( C1) và ( C2) tiếp xúc ngoài
.
Chọn A.
Câu 10:Thầy Đạt gửi 5 triệu đồng vào ngân hàng với lãi suất 0,7%/tháng. Chưa đầy một năm thì lãi suất tăng lên thành 1,15%/tháng. Tiếp theo, sáu tháng sau lãi suất chỉ còn 0,9%/tháng. Thầy Đạt tiếp tục gửi thêm một số tháng nữa rồi rút cả vỗn lẫn lãi được 5787710,707 đồng. Hỏi thầy Đạt đã gửi tổng thời gian bao nhiêu tháng?
A. 16tháng.
B. 17 tháng.
C. 19 tháng.
D. 14tháng.
Lời giải:
+ Gọi a là số tháng mà thầy Đạt gửi tiền với lãi suất 0,7%.
Gọi b là số tháng mà thầy Đạt gửi tiền với lãi suất 0,9%.
+ Theo đề bài, ta có phương trình:
_ Với a+ b= 9, thử với a; b là số tự nhiên ta thấy (*) không thoả mãn.
- Với a+ b= 10 , thử với a; b là số tụ nhiên ta được a=6; b=4thoả mãn
Vơí a= b= 11, thử ta thấy (*) không thoả mãn.
Vậy thầy Đạt gởi tổng thời gian là 16 tháng.
Chọn A.
Câu 11: Bất phương trình có tập nghiệm là S= [ a; b] thì b+a bằng
A. -8
B. -2
C.-6
D. 1
Lời giải:
Ta có:
chia hai vế bất phương trình cho 5x ta được :
(1)
Đặt phương trình (1) trở thành:
Khi đó ta có:
nên a= - 4; b= 2 và b+a= -2
chọn B.
Câu 12:Biết x= 7,5 là một nghiệm của bất phương trình (*). Tập nghiệm T của bất phương trình (*) là:
A. ( 2; 16)
B. (1; 9)
C. (2; 8)
D. (2; 19)
Lời giải:
+ Nếu a > 1 ta có
Nếu 0< a< 1 ta có
Mà x= 7,5 là một nghiệm của bất phương trình nên hệ số a > 1.
Chọn D.
Câu 13:Cho hàm số . Tính giá trị biểu thức
?
A. 50
B. 60
C. 70
D. Tất cả sai
Lời giải:
Ta chứng minh tính chất f( x) + f( 1-x) =1 của hàm số .
Thật vậy
.
Ta có
Chọn D.
Câu 14: nghiệm của phương trình là
A. 2.
B. 3.
C. 1.
D. đáp án khác
Lời giải:
Điều kiện x ≠ 0
- Nếu , dấu bằng xảy ra khi x = 1/ 2 và
,
dấu bằng xảy ra khi x= 2 suy ra
- Nếu
dấu bằng xảy ra khi x= -1/2
và , dấu bằng xảy ra khi x= 2
Suy ra
Vậy phương trình đã cho vô nghiệm.
Chọn D.
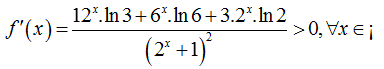
Câu 17:Tập tất cả các giá trị của m để phương trình có đúng ba nghiệm phân biệt là:
A.
B.
C.
D.
Lời giải:
Ta có (1)
(2)
Xét hàm số
Vì f’ (t) > 0 mọi t ≥ nên hàm số đồng biến trên (0;+∞)
Khi đó
Phương trình ( 1) có đúng ba nghiệm phân biệt nếu xảy ra các trường hợp sau:
TH1+) PT (3) có nghiệm kép khác hai nghiệm phân biệt của PT ( 4)
Khi đó ; m=3/2 thay vào PT (4) thỏa mãn.
TH2+) PT (4) có nghiệm kép khác hai nghiệm phân biệt của Pt (3)
Khi đó; m= ½ thay vào PT (3) thỏa mãn.
TH3+) PT (4) có hai nghiệm phân biệt và PT (3) có hai nghiệm phân biệt, trong đó có một nghiệm của hai PT trùng nhau
,với ½< m< 3/2
Thay vào PT ( 3) tìm được m= 1
Chọn D.
Câu 18:Trong các nghiệm ( x; y) thỏa mãn bất phương trình logx2+2y2(2x + y)≥1 . Giá trị lớn nhất của biểu thức T =2x+ y bằng:
A.9/ 2
B. 9/4
C.3
D.9.
Lời giải:
Bất phương trình đã cho
.
TH1: (x; y) thỏa mãn (II) khi đó
TH2: (x; y) thỏa mãn (I) .
Khi đó
Suy ra :max T =9/2 khi ( x; y) = (2; ½)
Chọn A.
Câu 19:Cho x; y là số thực dương thỏa mãn ln x + ln y ≥ ln(x2 + y) . Tìm giá trị nhỏ nhất của P = x- y
A. P =6
B. .
C. .
D. 3
Lời giải:
Từ ln x + ln y ≥ ln(x2 + y) ⇔xy ≥ x2 + y .
Nếu 0<x ≤ 1 thì y ≥ xy ≥ x2+y hay 0 ≥ x2 mâu thuẫn.
Nếu x > 1 thì .
Vậy .
Ta có xét trên (1; +∞) .
Có
Vậy .
Chọn B.
Câu 20:Tìm tất cả các giá trị thực của tham số m để phương trình có nghiệm x ≥ 32 ?
A. .
B. .
C. .
D. .
Lời giải:
Điều kiện: x > 0
Khi đó phương trình tương đương: .
Đặt t= log2x với x≥32 ⇒ log2x≥log232 = 5 hay t ≥ 5
Phương trình có dạng .
Khi đó bài toán được phát biểu lại là: “Tìm m để phương trình (*) có nghiệm t ≥ 5”
Với t ≥ 5 thì
Ta có
Với
hay suy ra
chọn A.
Câu 21:Cho phương trình (m là tham số ).Tìm m để phương trình có hai nghiệm x1; x2 thỏa mãn x1.x2= 3. Mệnh đề nào sau đây đúng ?
A. 1< m< 2.
B. 3<m<4.
C.0< m<3/2.
D. 2<m<3.
Lời giải:
Điều kiện x > 0
Ta có:
Đặt t= log3x .
Khi đó phương trình (1)
Phương trình đã cho có hai nghiệm thỏa mãn x1.x2= 3 ⇔ log3x1.x2 = 1
⇔ log3x1 + log3x2 = 1 ⇔ t1 + t2 = 1
Áp dụng hệ thức Vi-et cho phương trình (2)
Ta có
Vậy 0<m<3/2 .
Chọn C.
Đã có app VietJack trên điện thoại, giải bài tập SGK, SBT Soạn văn, Văn mẫu, Thi online, Bài giảng....miễn phí. Tải ngay ứng dụng trên Android và iOS.
Theo dõi chúng tôi miễn phí trên mạng xã hội facebook và youtube:Nếu thấy hay, hãy động viên và chia sẻ nhé! Các bình luận không phù hợp với nội quy bình luận trang web sẽ bị cấm bình luận vĩnh viễn.
- Giải Tiếng Anh 12 Global Success
- Giải sgk Tiếng Anh 12 Smart World
- Giải sgk Tiếng Anh 12 Friends Global
- Lớp 12 Kết nối tri thức
- Soạn văn 12 (hay nhất) - KNTT
- Soạn văn 12 (ngắn nhất) - KNTT
- Giải sgk Toán 12 - KNTT
- Giải sgk Vật Lí 12 - KNTT
- Giải sgk Hóa học 12 - KNTT
- Giải sgk Sinh học 12 - KNTT
- Giải sgk Lịch Sử 12 - KNTT
- Giải sgk Địa Lí 12 - KNTT
- Giải sgk Giáo dục KTPL 12 - KNTT
- Giải sgk Tin học 12 - KNTT
- Giải sgk Công nghệ 12 - KNTT
- Giải sgk Hoạt động trải nghiệm 12 - KNTT
- Giải sgk Giáo dục quốc phòng 12 - KNTT
- Giải sgk Âm nhạc 12 - KNTT
- Giải sgk Mĩ thuật 12 - KNTT
- Lớp 12 Chân trời sáng tạo
- Soạn văn 12 (hay nhất) - CTST
- Soạn văn 12 (ngắn nhất) - CTST
- Giải sgk Toán 12 - CTST
- Giải sgk Vật Lí 12 - CTST
- Giải sgk Hóa học 12 - CTST
- Giải sgk Sinh học 12 - CTST
- Giải sgk Lịch Sử 12 - CTST
- Giải sgk Địa Lí 12 - CTST
- Giải sgk Giáo dục KTPL 12 - CTST
- Giải sgk Tin học 12 - CTST
- Giải sgk Hoạt động trải nghiệm 12 - CTST
- Giải sgk Âm nhạc 12 - CTST
- Lớp 12 Cánh diều
- Soạn văn 12 Cánh diều (hay nhất)
- Soạn văn 12 Cánh diều (ngắn nhất)
- Giải sgk Toán 12 Cánh diều
- Giải sgk Vật Lí 12 - Cánh diều
- Giải sgk Hóa học 12 - Cánh diều
- Giải sgk Sinh học 12 - Cánh diều
- Giải sgk Lịch Sử 12 - Cánh diều
- Giải sgk Địa Lí 12 - Cánh diều
- Giải sgk Giáo dục KTPL 12 - Cánh diều
- Giải sgk Tin học 12 - Cánh diều
- Giải sgk Công nghệ 12 - Cánh diều
- Giải sgk Hoạt động trải nghiệm 12 - Cánh diều
- Giải sgk Giáo dục quốc phòng 12 - Cánh diều
- Giải sgk Âm nhạc 12 - Cánh diều


Giải bài tập SGK & SBT
Tài liệu giáo viên
Sách
Khóa học
Thi online
Hỏi đáp

