(5 dạng) Bài tập Phương trình logarit ôn thi Tốt nghiệp (có lời giải)
Bài viết Phương trình logarit ôn thi Tốt nghiệp môn Toán với phương pháp giải chi tiết giúp học sinh ôn tập, biết cách làm bài tập Phương trình logarit.
(5 dạng) Bài tập Phương trình logarit ôn thi Tốt nghiệp (có lời giải)
(199k) Xem Khóa học Toán 12 KNTTXem Khóa học Toán 12 CDXem Khóa học Toán 12 CTST
Bài giảng: Cách giải phương trình logarit - Cô Nguyễn Phương Anh (Giáo viên VietJack)
Dạng 1. Tìm điều kiện xác định của phương trình lôgarit.
1. Phương pháp giải
Cho phương trình logaf(x) = g(x).
Điều kiện xác định của phương trình là:
+ a > 0; a ≠ 1
+ f(x) > 0 và f(x) có nghĩa
+ g(x) có nghĩa.
2. Ví dụ minh họa
Ví dụ 1. Điều kiện xác định của phươg trình log2x+2 156 = 24 là:
Lời giải:
Đáp án: B
Điều kiện xác định của phương trình: log2x + 2 156 = 24
Ví dụ 2. Điều kiện xác định của phươg trình logx(2x2 − 7x − 12) là:
A. x ∈ (0; 1) ∪ (1: +∞) B. x ∈ (−∞; 0) . C. x ∈ (0; 1) . D. x ∈ (0; +∞)
Lời giải:
Đáp án: A
Phương trình logx(2x2 − 7x − 12) xác định:
⇔x ∈ (0; 1) ∪ (1: +∞)
Ví dụ 3. Điều kiện xác định của phương trình là:
A. x ∈ (1; +∞). B. x ∈ (−1; 0). C. x ∈ R\[−1; 0]. D. x ∈ (−∞; 1).
Lời giải:
Đáp án: A
Điều kiện xác định của phương trình đã cho là: Biểu thức log3(x − 1) và xác định
⇔ x > 1
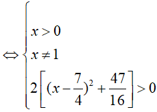
Ví dụ 4. Điều kiện xác định của phương trình là:
A. 0 < x < 7 B. x > 7 C. 3 < x < 7 D. 0 < x < 3
Lời giải:
Đáp án: B
Điều kiện phương trình:
⇔ x > 7
Ví dụ 5. Điều kiện xác định của phương trình log2[3log2(3x − 1) − 1] là:
Lời giải:
Đáp án: A
Biểu thức log2[3log2(3x − 1) − 1] = x xác định khi và chỉ khi:
Dạng 2. Giải phương trình logarit bằng phương pháp đưa về cùng cơ số.
1. Phương pháp giải
Thường áp dụng các phép tính lôgarit để biến đổi, để hóa đồng cơ số hoặc để khử biểu thức lôgarit chứa ẩn số ta thường lấy mũ các vế. Ta áp dụng các công thức
Với a > 0; a ≠ 1
• loga M = loga N ⇔ M = N > 0
• loga f(x) = loga g(x)
• loga N = M ⇔ N= aM hoặc loga f(x)= b ⇔ f(x) = ab
Ngoài ra, cần chú ý đến một số tính chất
• logab có nghĩa
• (công thức đổi cơ số).
2. Ví dụ minh họa
Ví dụ 1. Phương trình có nghiệm là:
A. x = 27 B. x = 9 C. x = 3 D. x = log36
Lời giải:
Đáp án: A
Điều kiện x > 0
⇔ log3x + 2log3x − log3x = 6
2log3x = 6 ⇔ log3x = 3 ⇔ x = 27
Ví dụ 2. Phương trình có nghiệm là:
A. x= − 2 B. x = 4 hoặc x = −2 . C. x = 4 D. x = 1
Lời giải:
Đáp án: C
⇔ x = 4
Ví dụ 3. Số nghiệm của phương trình log4 (x + 12). logx2 = 1 là:
A. 0. B. 2. C. 3. D. 1.
Lời giải:
Đáp án: D
Điều kiện : 0 < x ≠ 1
Vậy phương trình đã cho có 1 nghiệm là x=4.
Ví dụ 4. Phương trình log2x − 3(32 − 7x + 3) − 2 = 0 có nghiệm là:
A. x = 2; x= 3 B. x= 2 C. x= 3 D. x= 1, x= 5
Lời giải:
Đáp án: D
Điều kiện:
Kết hợp với điều kiện, ta có nghiệm phương trình là x= 3
Ví dụ 5. Số nghiệm nguyên dương của phương trình là:
A. 2. B. 1. C. 3. D. 0.
Lời giải:
Đáp án: B
Điều kiện: 2x + 1 − 3 > 0 ⇔ x > log23 − 1
Ta có:
Đặt t = 2x(t > 0)
Ta có
⇔ t2 − 3t − 4 = 0 => t = 4
Do đó, 2x = 4 ⇔ x = 2 (thỏa mãn điều kiện)
Vậy nghiệm của phương trình đã cho là x = 2.
Ví dụ 6. Số nghiệm của phương trình log4(log2x) + log2(log4x) = 2 là:
A. 0. B. 2. C. 3. D. 1.
Lời giải:
Đáp án: D
Phương trình đã cho tương đương:
=> x = 16
Dạng 3. Giải phương trình lôgarit bằng phương pháp đặt ẩn phụ
2. Ví dụ minh họa
Ví dụ 1. Phương trình log22x − 4log2x + 3 = 0 có tổng các nghiệm là:
A. 6 B. 8 C. 2 D. 10
Lời giải:
Đáp án: D
Điều kiện: x > 0
Đặt log2 x= t. Khi đó, phương trình đã cho trở thành
Kết hợp với điểu kiện, phương trình đã cho có 2 nghiệm là x= 2 và x= 8.
Tổng các nghiệm của phương trình là: S = 2 + 8 =10
Ví dụ 2. Gọi x1, x2 là 2 nghiệm của phương trình . Khi đó x1 + x2 bằng:
Lời giải:
Đáp án: D
Điều kiện
Đặt t = log2x, điều kiện . Khi đó phương trình trở thành:
Ví dụ 3. Phương trình log52(2x − 1) − 8log5√(2x − 1) + 3 = 0 có tổng các nghiệm là:
A. 4 B. 10 C. 26 D. 66
Lời giải:
Đáp án: D
Điều kiện
Đặt t= log5 (2x − 1). Khi đó, phương trình (*) trở thành:
Do đó, tổng các nghiệm của phương trình đã cho là: 63 + 3= 66.
Ví dụ 4. Biết phương trình 4log9x − 6.2log9x + 2log327 = 0 có hai nghiệm x1; x2. Khi đó x12 + x22 bằng
Lời giải:
Đáp án: A
Điều kiện: x > 0
Ta có phương trình tương đương 22log9x − 6.22log9x + 23 = 0 (1)
Đặt t = 2log9x, t > 0. (1) => t2 − 6t + 8 = 0 ⇔ t = 2 hoặc t = 4
- Với t = 2 ⇔ 2log9x = 2 ⇔ log9x = 1 ⇔ x = 9
- Với t = 4 ⇔ 2log9x = 22 ⇔ log9x = 2 ⇔ x = 81.
Vậy tập nghiệm của phương trình đã cho là S = {9; 81} => x12 + x22 = 6642 .
Ví dụ 5. Tập nghiệm của phương trình 4log22x − xlog26 = 2.3log24x2 là:
Lời giải:
Đáp án: C
Điều kiện: 0 < x ≠ 1
Ta có:
4log22x − xlog26 = 2.3log24x2
⇔ 41 + log2x − 6log2x = 2.32+2log2x
⇔ 4.4log2x − 6log2x = 19.9log2x (1)
Chia 2 vế cho 4log2x.
Đặt
Khi đó, phương trình (*) trở thành:
Vậy tập nghiệm của phương trình đã cho là .
Dạng 4. Giải phương trình lôgarit bằng phương pháp đưa về phương trình tích
1. Phương pháp giải
Để giải phương trình lôgarit ta có thể đặt nhân tử chung, dùng hằng đẳng thức đáng nhớ.... để đưa phương trình đã cho về dạng A(x). B(x) = 0
2. Ví dụ minh họa
Ví dụ 1. Nghiệm nhỏ nhất của phương trình − log√3(x − 2). log5x = 2log3(x − 2) là:
Lời giải:
Đáp án: B
Điều kiện: x > 2
So điều kiện suy ra phương trình có nghiệm x= 3.
Ví dụ 2. Số nghiệm của phương trình log2x . log3(2 − 1) = 2log2x là:
A. 2. B. 0. C. 1. D. 3.
Lời giải:
Đáp án: A
PT
So điều kiện suy ra phương trình có nghiệm x= 3.
Ví dụ 3. Cho hàm số f(x)= 3x3lnx − 36x. lnx − 7x3 + 108x tập nghiệm của phương trình f’(x)= 0 là.
Lời giải:
Đáp án: A
Điều kiện: x > 0
Ta có:
f'(x) = 92lnx + 3x2 − 36lnx − 36 − 21x2 + 108 = 0
⇔ 9(x2 − 4)lnx − 18(x2 − 4) = 0
⇔ 9(x2 − 4)(lnx − 2) = 0
Kết hợp với điều kiện ta có nghiệm của phương trình đã cho là S= {e2; 2}.
Dạng 5. Tìm tham số m thỏa mãn điều kiện T.
2. Ví dụ minh họa
Ví dụ 1. Tìm tất cả các giá trị thực của tham số m để phương trình log3x − log3(x − 2) = log√3m có nghiệm?
A. m > 1. B. m ≥ 1. C. m < 1 D. m ≤ 1.
Lời giải:
Đáp án: A
Điều kiện: x > 2 và m > 0.
Phương trình có nghiệm x > 2 khi đó:
Kết hợp điều kiện m > 0 ta được m > 1 .
Ví dụ 2. Tìm tất cả các giá trị thực của tham số m để phương trình có ít nhất một nghiệm thuộc đoạn [1; 3√3] ?
A. m ∈ [0; 2]. B. m ∈ (0; 2). C. m ∈ (0; 2]. D. m ∈ [0; 2).
Lời giải:
Đáp án: A
Với x ∈ [1; 3√3] hay 1 ≤ x ≤ 3√3
Đặt t = √(log32x + 1); t ∈ [1; 2]
Phương trình đã cho trở thành: t2 − 1 + t − 2m − 1 = 0 hay t2 + t − 2= 2m
Khi đó bài toán trở thành:Tìm m để phương trình t2 + t − 2 = 2m có ít nhất một nghiệm thuộc đoạn [1; 2].
Xét hàm số f(t) = t2 + t − 2, ∀t ∈ [1; 2], f'(t) = 2t + 1 > 0, ∀t ∈ [1; 2]
Suy ra hàm số đồng biến trên [1; 2].
Ta có bảng biến thiên của hàm số.
Khi đó phương trình có nghiệm khi 0 ≤ 2m ≤ 4 ⇔ 0 ≤ m ≤ 2
Vậy 0 ≤ m ≤ 2 là các giá trị cần tìm.
Ví dụ 3. Tìm tất cả các giá trị của tham số m để phương trình log2(5x − 1).log4(2.5x − 2 ) = m có nghiệm x ≥ 1 ?
A. m ∈ [2; +∞). B. m ∈ [3; +∞). C. m ∈ (−∞; 2]. D. m ∞ (−∞; 3].
Lời giải:
Đáp án: B
Ta có: log2(5x − 1).log4(2.5x − 2 )
Đặt t = log2 (5x − 1). Khi đó, phương trình đã cho trở thành:
Với x ≤ 1 => 5x ≤ 5 => log2(5x − 1) ≤ log2(5 − 1)hay t ≥ 2 .
Khi đó bài toán trở thành: Tìm m để phương trình t2 + t = 2m có nghiệm
Xét hàm số f(t) = t2 + t, ∀t ≥ 2, f'(t) = 2t + 1 > 0, ∀t ≥ 2
Suy ra hàm số đồng biến với t ≥ 2.
Khi đó phương trình có nghiệm khi 2m ≥ 6 ⇔ m ≥ 3
Vậy m ≥ 3 là các giá trị cần tìm.
Ví dụ 4. Tìm tất cả các giá trị thực của tham số m để phương trình log32x − (m + 2)log3x + 3m − 1 = 0 có hai nghiệm x1; x2 thỏa mãn x1.x2 = 27?
A. m = −2 B. m = − C. m = 1 D. m = 27
Lời giải:
Đáp án: C
Đặt t = log3x. Khi đó phương trình có dạng: t2 − (m + 2).t + 3m − 1 = 0 (1).
Để phương trình có hai nghiệm phân biệt thì
Δ = (m + 2)2 − 4(3m − 1) = m2 − 8m + 8 > 0
Với điều kiện (*), phương trình (1) có 2 nghiệm t1 ; t2 và :
t1 + t2 = log3x1 + log3x2 = log3 (x1.x2) = log327 = 3
Theo Vi-ét ta có: t1 + t2 = m + 2. Do đó, m+ 2 = 3 ⇔ m= 1 (thỏa mãn điều kiện)
Vậy m = 1 là giá trị cần tìm.
Ví dụ 5. Tìm tất cả các giá trị thực của tham số m để phương trình có nghiệm thuộc [32; +∞)?
A. m ∈ (1; √3]. B. m ∈ [1; √3). C. m ∈ [−1; √3). D. m ∈ (−√3; 1]
Lời giải:
Đáp án: C
Điều kiện: x > 0.Khi đó phương trình tương đương:
Đặt t = log2x với x ≥ 32 => log2x ≥ log232 = 5 hay t ≥ 5
Phương trình đã cho trở thành : √(t2 − 2t − 3) = m(t − 3) (*).
Khi đó bài toán trở thành : Tìm m để phương trình (*) có nghiệm t ≥ 5 ”
Với t ≥ 5 thì (*)
Ta có:
Với
hay
Suy ra 1 < m ≤ √3 Vậy phương trình có nghiệm với 1 < m ≤ √3
Bài tập tự luyện
Bài 1. Giải phương trình: .
Bài 2. Giải phương trình: 2log3(x – 3) + log3(x – 3)2 = 0.
Bài 3. Gọi x là nghiệm của phương trình .
Tính giá trị của biểu thức P = .
Bài 4. Giải phương trình: (x – 2)log0,5[(x2 – 5x + 6) + 1] = 0.
Bài 5. Tìm m để phương trình có nghiệm x ∈ (0;1).
(199k) Xem Khóa học Toán 12 KNTTXem Khóa học Toán 12 CDXem Khóa học Toán 12 CTST
Xem thêm các dạng bài tập Toán lớp 12 ôn thi Tốt nghiệp có lời giải hay khác:
- 4 Dạng bài tập Lũy thừa ôn thi Tốt nghiệp (có lời giải)
- 6 dạng bài tập Logarit ôn thi Tốt nghiệp (có lời giải)
- 4 dạng bài tập Hàm số mũ, hàm số logarit ôn thi Tốt nghiệp (có lời giải)
- 2 dạng bài tập Hàm số lũy thừa ôn thi Tốt nghiệp (có lời giải)
- 6 dạng bài tập Phương trình mũ ôn thi Tốt nghiệp (có lời giải)
- Dạng bài tập Bất phương trình mũ ôn thi Tốt nghiệp (có lời giải)
- 5 dạng bài tập Bất phương trình logarit ôn thi Tốt nghiệp (có lời giải)
Đã có app VietJack trên điện thoại, giải bài tập SGK, SBT Soạn văn, Văn mẫu, Thi online, Bài giảng....miễn phí. Tải ngay ứng dụng trên Android và iOS.
Theo dõi chúng tôi miễn phí trên mạng xã hội facebook và youtube:Nếu thấy hay, hãy động viên và chia sẻ nhé! Các bình luận không phù hợp với nội quy bình luận trang web sẽ bị cấm bình luận vĩnh viễn.
- Giải Tiếng Anh 12 Global Success
- Giải sgk Tiếng Anh 12 Smart World
- Giải sgk Tiếng Anh 12 Friends Global
- Lớp 12 Kết nối tri thức
- Soạn văn 12 (hay nhất) - KNTT
- Soạn văn 12 (ngắn nhất) - KNTT
- Giải sgk Toán 12 - KNTT
- Giải sgk Vật Lí 12 - KNTT
- Giải sgk Hóa học 12 - KNTT
- Giải sgk Sinh học 12 - KNTT
- Giải sgk Lịch Sử 12 - KNTT
- Giải sgk Địa Lí 12 - KNTT
- Giải sgk Giáo dục KTPL 12 - KNTT
- Giải sgk Tin học 12 - KNTT
- Giải sgk Công nghệ 12 - KNTT
- Giải sgk Hoạt động trải nghiệm 12 - KNTT
- Giải sgk Giáo dục quốc phòng 12 - KNTT
- Giải sgk Âm nhạc 12 - KNTT
- Giải sgk Mĩ thuật 12 - KNTT
- Lớp 12 Chân trời sáng tạo
- Soạn văn 12 (hay nhất) - CTST
- Soạn văn 12 (ngắn nhất) - CTST
- Giải sgk Toán 12 - CTST
- Giải sgk Vật Lí 12 - CTST
- Giải sgk Hóa học 12 - CTST
- Giải sgk Sinh học 12 - CTST
- Giải sgk Lịch Sử 12 - CTST
- Giải sgk Địa Lí 12 - CTST
- Giải sgk Giáo dục KTPL 12 - CTST
- Giải sgk Tin học 12 - CTST
- Giải sgk Hoạt động trải nghiệm 12 - CTST
- Giải sgk Âm nhạc 12 - CTST
- Lớp 12 Cánh diều
- Soạn văn 12 Cánh diều (hay nhất)
- Soạn văn 12 Cánh diều (ngắn nhất)
- Giải sgk Toán 12 Cánh diều
- Giải sgk Vật Lí 12 - Cánh diều
- Giải sgk Hóa học 12 - Cánh diều
- Giải sgk Sinh học 12 - Cánh diều
- Giải sgk Lịch Sử 12 - Cánh diều
- Giải sgk Địa Lí 12 - Cánh diều
- Giải sgk Giáo dục KTPL 12 - Cánh diều
- Giải sgk Tin học 12 - Cánh diều
- Giải sgk Công nghệ 12 - Cánh diều
- Giải sgk Hoạt động trải nghiệm 12 - Cánh diều
- Giải sgk Giáo dục quốc phòng 12 - Cánh diều
- Giải sgk Âm nhạc 12 - Cánh diều


Giải bài tập SGK & SBT
Tài liệu giáo viên
Sách
Khóa học
Thi online
Hỏi đáp

