(6 dạng) Bài tập Logarit ôn thi Tốt nghiệp (có lời giải)
Bài viết Logarit ôn thi Tốt nghiệp môn Toán với phương pháp giải chi tiết giúp học sinh ôn tập, biết cách làm bài tập Logarit.
(6 dạng) Bài tập Logarit ôn thi Tốt nghiệp (có lời giải)
(199k) Xem Khóa học Toán 12 KNTTXem Khóa học Toán 12 CDXem Khóa học Toán 12 CTST
Bài giảng: Các bài toán thực tế - Ứng dụng hàm số mũ và logarit - Cô Nguyễn Phương Anh (Giáo viên VietJack)
Dạng 1. Tìm điều kiện để biểu thức logaf(x) xác định
1. Phương pháp giải
* Để biểu thức logaf(x) xác định thì cần :
+ Cơ số a > 0 và a ≠ 1
+ f(x) > 0
* Chú ý : Xét tam thức bậc hai f(x) = ax2 + bx + c (a ≠ 0) có Δ = b2 − 4ac.
• Nếu Δ < 0 thì f(x) luôn cùng dấu với hệ số a.
• Nếu Δ > 0 thì phương trình f(x) = 0 có hai nghiệm x1 ; x2.
+ Trường hợp 1 : a > 0 thì f(x) > 0 khi x ∈ (− ∞; x1) ∪(x2; +∞) và f(x) < 0 khi x ∈ (x1; x2)
+ Trường hợp 2. a < 0 thì f(x) < 0 khi x ∈ (− ∞; x1) ∪(x2; +∞) và f(x) > 0 khi x ∈ (x1; x2)
2. Ví dụ minh họa
Ví dụ 1. Với giá trị nào của x thì biểu thức log2(4x − 2) xác định ?
Lời giải:
Đáp án: A
Điều kiện để biểu thức log2(4x − 2) xác định là:
Ví dụ 2. Với giá trị nào của x thì biểu thức: f(x) = log7( x3 − 3x + 2 ) xác định?
Lời giải:
Đáp án: D
Biểu thức có nghĩa khi và chỉ khi:
Ví dụ 3. Điều kiện xác định của biểu thức
là
A. x < 1 hoặc x > 3 B. x > 3
C. – 1 < x < 1 D. x > 1
Lời giải:
Đáp án: C
Biểu thức có nghĩa khi và chỉ khi:
(1 − x2 ).(x2 − 6x + 9) > 0 ⇔ ( 1 < x2 ) . (x − 3)2 > 0
⇔ − 1 < x < 1
Ví dụ 4. Biểu thức lg(x2 − 2mx + 4) có nghĩa với mọi x ∈ R khi
m = 2 B. −2 < m < 2
C. m > 2 hoặc m < − 2 D. m < 2
Lời giải:
Đáp án: C
Biểu thức lg(x2 − 2mx + 4) có nghĩa với mọi số thực x khi và chỉ khi :
x2 − 2mx + 4 > 0 với mọi x.
⇔ − 2 < x < 2
Ví dụ 5. Với giá trị nào của m thì biểu thức f(x) = 124 + 113log2(3x + m) xác định với mọi x ∈ (3; +∞) ?
A. m > − 3 B. m > − 9 C. m < − 9 D. m < − 3
Lời giải:
Đáp án: B
Biểu thức f(x) xác định khi và chỉ khi 3x + m > 0
Để f(x) xác định với mọi x ∈ (3; +∞) thì
Dạng 2 Tính giá trị của một biểu thức chứa logarit
1. Phương pháp giải
Để tính giá trị của một biểu thức chứa logarit ta cần sử dụng các quy tắc tính logarit và đổi cơ số của logarit:
* Các quy tắc tính logarit :
Cho 3 số dương a , b và c với a ≠ 1 , ta có
loga(bc)= logab + logac
Đặc biệt : với a, b > 0 ; a ≠ 1 thì
loga bα = α logab
Đặc biệt:
* Đổi cơ số của lôgarit
Cho 3 số dương a, b, c với a ≠ 1, c ≠ 1 ta có
• hay logca. logab = logc b
• Đặc biệt: và
với α ≠ 0 .
2. Ví dụ minh họa
Ví dụ 1. Cho a > 0, a ≠ 1 giá trị của biểu thức alog√a16 bằng bao nhiêu ?
A. 16 B. 4 C. 32 D. 256
Lời giải:
Đáp án: D
Ta có: log√a16 = loga½16 = 2loga16 = loga162 = loga256
Do đó, alog√a16 = aloga256 = 256
Ví dụ 2. Giá trị của biểu thức A = log212 + 2log25 − log2 15 − log2 150 bằng:
Lời giải:
Đáp án: A
Ta có: A = log212 + 2log25 − log2 15 − log2 150
= log212 + log2 52 − log215 − log2 150
Ví dụ 3. Tính bằng:
Lời giải:
Đáp án: A
Ta có:
Ví dụ 4. Cho số dương a khác 1. Tính giá trị biểu thức A = a6loga352 có giá trị bằng bao nhiêu?
A. 25 B. 625 C. 5 D. 125
Lời giải:
Đáp án: B
Ta có:
Ví dụ 5. Tính giá trị biểu thức .
A. A = 3log37. B. A = log37. C. A = 2log37. D. A = 4log37.
Lời giải:
Đáp án: A
Ta có:
Dạng 3. Rút gọn biểu thức chứa logarit
1. Phương pháp giải
Muốn rút gọn các biểu thức chứa logarit ta cần sử dụng các quy tắc tính logarit và đổi cơ số của logarit. Ngoài ra, ta còn cần sử dụng các công thức lũy thừa đã học.
2. Ví dụ minh họa
Ví dụ 1. Cho log3x = 3log32 + log925 − log√33 . Khi đó giá trị của x bằng:
Lời giải:
Đáp án: A
Ta có: log3x = 3log32 + log925 − log√33
Do đó,
Ví dụ 2. Cho . Khi đó giá trị của x là :
Lời giải:
Đáp án: A
Ví dụ 3. Rút gọn biểu thức: A = (logb3a + 2logb2a + logba)(logab − logabb) − logba là:
A. 0 B. 1 C. 3 D. 2
Lời giải:
Đáp án: B
Ta có: A = (logb3a + 2logb2a + logba)(logab − logabb) − logba
= logba + 1 − logba = 1
Ví dụ 4. Rút gọn biêủ thức
Lời giải:
Đáp án: C
Ta có:
Ví dụ 5. Cho x > 0. Rút gọn
A. A = logx 2012 ! B. A = logx1002! C. A = logx 2011! D. A = logx 2011
Lời giải:
Đáp án: C
Ta có:
= logx2 + logx3 + logx4 +...+ log2011
= logx(2.3.4...2011) = logx(2011)
Dạng 4. Biểu diễn logarit này theo các logarit khác
1. Phương pháp giải
Để biểu diễn lôgarit này theo các biểu thức lôgarit đã cho ta cần:
+ Đổi cơ số của biểu thức lôgarit cần tính theo cơ số của các biểu thức logarit đã cho .
( chú ý: mối liên hệ giữa các cơ số với nhau).
+ Sử dụng các quy tắc tính logarit; đổi cơ số.
2. Ví dụ minh họa
Ví dụ 1. Cho lg x= a và ln10 = b . Tính log10e x theo a và b?
Lời giải:
Đáp án: A
log10e x
Ví dụ 2. Cho log315 = a. Tính A= log2515 theo a.
Lời giải:
Đáp án: C
Ta có a = log315 nên a = log3 3 + log3 5 = 1+ log35
Suy ra, log35 = a − 1.
Ví dụ 3. Cho a = log32 và b = log35. Tính log10 60 theo a và b.
Lời giải:
Đáp án: C
Ta có log1060 = log1022.3.5 = 2log102 + log103 + log105
Suy ra, log35 = a − 1.
Ví dụ 4. Biết log275 = a; log8 7 = b; log23 = c thì log1235 tính theo a, b, c bằng:
Lời giải:
Đáp án: A
Ta có:
⇔log35 = 3a
⇔log27 = 3b
Mà:
Ví dụ 5. Cho log23 = a; log35 = b; log72 = c. Hãy tính log140 63 theo a, b, c
Lời giải:
Đáp án: A
Ta có: log14063 = log140(32 . 7) = 2log1404 + log1407
Từ đề bài suy ra
log75 = log72 . log23 . log35 = abc
Vậy
Dạng 5. Biến đổi đẳng thức đã cho thành các đẳng thức chứa logarit.
1. Phương pháp giải
+ Từ đẳng thức đã cho, ta thêm bớt để xuất hiện hằng đẳng thức: (a + b)2; (a − b)2; (a + b)3 hoặc (a − b)3
+ Sau đó lấy loga 2 vế cơ số thích hợp – dựa vào các đáp án.
* Chú ý. Các quy tắc tính logarit : Cho 3 số dương a , b và c với a ≠ 1, ta có
loga(bc)= loga b + loga c
Đặc biệt : với a, b > 0; a ≠ 1 thì
logabα = αlogab
Đặc biệt:
2. Ví dụ minh họa
Ví dụ 1. Cho a > 0; b > 0 thỏa điều kiện a2 + b2 = 7ab .Khẳng định nào sau đây đúng:
Lời giải:
Đáp án: D
Theo giả thiết: a2 + b2 = 7ab ⇔ (a + b)2 = 9ab ( cộng 2ab vào 2 vế).
Lấy logarit cơ số 10 hai vế ta được:
Ví dụ 2. Cho x; y là các số thực lớn hơn 1 thoả mãn x2 + 9y2 = 6xy. Tính
Lời giải:
Đáp án: B
* Ta có x2 + 9y2 = 6xy ⇔ x2 − 6xy+ 9y2 = 0
⇔ (x − 3y)2 = 0 ⇔ x = 3y.
* Khi đó
Ví dụ 3. Cho a, b là các số thực dương khác 1, thoả mãn loga2b + logb2a = 1. Mệnh đề nào dưới đây là đúng?
Lời giải:
Đáp án: B
Ví dụ 4. Cho các số dương a, b thõa mãn 4a2 + 9b2 = 13ab. Chọn câu trả lời đúng.
Lời giải:
Đáp án: B
Ta có: 4a2 + 9b2 = 13ab ⇔ 4a2 + 12ab + 9b2 = 25ab
⇔ (2a + 3b)2 = 25ab
( vì a; b > 0 nên a + b > 0; ab > 0 ).
Suy ra:
Ví dụ 5. Cho a, b là các số thực dương thoả mãn a2 + b2 = 14ab. Khẳng định nào sau đây là sai ?
Lời giải:
Đáp án: C
Ta có a2 + b2 = 14ab ⇔ (a + b)2 = 16ab
Nên ta có vậy A đúng
2log2(a + b) = log2(a + b)2 = log2(16ab) = 4 + log2a + log2b vậy B đúng
4log4(a + b) = log4(a + b)2 = log4(16ab) = 4 + log4a + log4b vậy C sai
vậy D đúng
Dạng 6. So sánh hai lôgarit cùng cơ số.
1. Phương pháp giải
Cho số dương a khác 1 và hai số dương b, c.
• Khi a > 1 thì logab > logac ⇔ b > c.
• Khi 0 < a < 1 thì logab > logac ⇔ b < c.
Ngoài ra, cần sử dụng các công thức quy tắc tính logarit và đổi cơ số của logarit.
2. Ví dụ minh họa
Ví dụ 1. Trong các số 3log34; 3log2log32; những số nào nhỏ hơn 1
Lời giải:
Đáp án: C
Ta so sánh các số với 1
+ 3log34 = 4 > 1.
+ 32log32 = 3log322 = 4 > 1
Ví dụ 2. Trong các số sau, số nào lớn nhất?
Lời giải:
Đáp án: A
Đưa về cùng 1 cơ số và so sánh:
Ta thấy
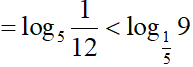
Ví dụ 3. Trong các số sau, số nào nhỏ nhất ?
Lời giải:
Đáp án: A
Đưa về cùng 1 cơ số và so sánh:
Ta thấy
Ví dụ 4. Cho hai số thực a; b với 1 < a < b. Khẳng định nào sau đây là đúng:
Lời giải:
Đáp án: C
Ta xét các phương án:
+ A sai vì log20162017 > log20162016 = 1.
+ B sai vì
+ C đúng vì với mọi x dương.
+ D sai vì log20172016 < log2017 2017 = 1.
Ví dụ 5. Cho hai số thực a, b với 1 < a < b. Khẳng định nào sau đây là khẳng định đúng?
A. logab < 1 < logba. B. 1 < logab < logba .
C. logab < logba < 1. D. logba < 1 < logab
Lời giải:
Đáp án: D
Từ giả thiết 1 < a < b nên ta có: loga1 < logaa < logab hay 0 < 1 < logab .
Áp dụng công thức đổi cơ số thì 1 < loga
vì logba > 0 nên ta có logba < 1 < logab.
Bài tập tự luyện
Bài 1. Cho y = 23x. Hãy biểu diễn x theo y.
Bài 2. Tính giá trị của biểu thức: .
Bài 3. Cho 3 + 2log2x = log2y. Hãy biểu diễn y theo x.
Bài 4. Đặt x = log23, y = log35. Hãy tính biểu thức P = log660 theo x và y.
Bài 5. Tính giá trị của biểu thức sau:
a) log3100 - log318 - log350.
b) (log23)(log94).
(199k) Xem Khóa học Toán 12 KNTTXem Khóa học Toán 12 CDXem Khóa học Toán 12 CTST
Xem thêm các dạng bài tập Toán lớp 12 ôn thi Tốt nghiệp có lời giải hay khác:
- 4 Dạng bài tập Lũy thừa ôn thi Tốt nghiệp (có lời giải)
- 4 dạng bài tập Hàm số mũ, hàm số logarit ôn thi Tốt nghiệp (có lời giải)
- 2 dạng bài tập Hàm số lũy thừa ôn thi Tốt nghiệp (có lời giải)
- 6 dạng bài tập Phương trình mũ ôn thi Tốt nghiệp (có lời giải)
- 5 dạng bài tập Phương trình logarit ôn thi Tốt nghiệp (có lời giải)
- Dạng bài tập Bất phương trình mũ ôn thi Tốt nghiệp (có lời giải)
- 5 dạng bài tập Bất phương trình logarit ôn thi Tốt nghiệp (có lời giải)
Đã có app VietJack trên điện thoại, giải bài tập SGK, SBT Soạn văn, Văn mẫu, Thi online, Bài giảng....miễn phí. Tải ngay ứng dụng trên Android và iOS.
Theo dõi chúng tôi miễn phí trên mạng xã hội facebook và youtube:Nếu thấy hay, hãy động viên và chia sẻ nhé! Các bình luận không phù hợp với nội quy bình luận trang web sẽ bị cấm bình luận vĩnh viễn.
- Giải Tiếng Anh 12 Global Success
- Giải sgk Tiếng Anh 12 Smart World
- Giải sgk Tiếng Anh 12 Friends Global
- Lớp 12 Kết nối tri thức
- Soạn văn 12 (hay nhất) - KNTT
- Soạn văn 12 (ngắn nhất) - KNTT
- Giải sgk Toán 12 - KNTT
- Giải sgk Vật Lí 12 - KNTT
- Giải sgk Hóa học 12 - KNTT
- Giải sgk Sinh học 12 - KNTT
- Giải sgk Lịch Sử 12 - KNTT
- Giải sgk Địa Lí 12 - KNTT
- Giải sgk Giáo dục KTPL 12 - KNTT
- Giải sgk Tin học 12 - KNTT
- Giải sgk Công nghệ 12 - KNTT
- Giải sgk Hoạt động trải nghiệm 12 - KNTT
- Giải sgk Giáo dục quốc phòng 12 - KNTT
- Giải sgk Âm nhạc 12 - KNTT
- Giải sgk Mĩ thuật 12 - KNTT
- Lớp 12 Chân trời sáng tạo
- Soạn văn 12 (hay nhất) - CTST
- Soạn văn 12 (ngắn nhất) - CTST
- Giải sgk Toán 12 - CTST
- Giải sgk Vật Lí 12 - CTST
- Giải sgk Hóa học 12 - CTST
- Giải sgk Sinh học 12 - CTST
- Giải sgk Lịch Sử 12 - CTST
- Giải sgk Địa Lí 12 - CTST
- Giải sgk Giáo dục KTPL 12 - CTST
- Giải sgk Tin học 12 - CTST
- Giải sgk Hoạt động trải nghiệm 12 - CTST
- Giải sgk Âm nhạc 12 - CTST
- Lớp 12 Cánh diều
- Soạn văn 12 Cánh diều (hay nhất)
- Soạn văn 12 Cánh diều (ngắn nhất)
- Giải sgk Toán 12 Cánh diều
- Giải sgk Vật Lí 12 - Cánh diều
- Giải sgk Hóa học 12 - Cánh diều
- Giải sgk Sinh học 12 - Cánh diều
- Giải sgk Lịch Sử 12 - Cánh diều
- Giải sgk Địa Lí 12 - Cánh diều
- Giải sgk Giáo dục KTPL 12 - Cánh diều
- Giải sgk Tin học 12 - Cánh diều
- Giải sgk Công nghệ 12 - Cánh diều
- Giải sgk Hoạt động trải nghiệm 12 - Cánh diều
- Giải sgk Giáo dục quốc phòng 12 - Cánh diều
- Giải sgk Âm nhạc 12 - Cánh diều


Giải bài tập SGK & SBT
Tài liệu giáo viên
Sách
Khóa học
Thi online
Hỏi đáp

