(2 dạng) Bài tập Hàm số lũy thừa ôn thi Tốt nghiệp (có lời giải)
Bài viết Hàm số lũy thừa ôn thi Tốt nghiệp môn Toán với phương pháp giải chi tiết giúp học sinh ôn tập, biết cách làm bài tập Hàm số lũy thừa.
(2 dạng) Bài tập Hàm số lũy thừa ôn thi Tốt nghiệp (có lời giải)
(199k) Xem Khóa học Toán 12 KNTTXem Khóa học Toán 12 CDXem Khóa học Toán 12 CTST
Dạng 1. Tìm tập xác định của hàm số
1. Phương pháp giải
Cho hàm số lũy thừa y = [f(x)]α :
+ Nếu α nguyên dương thì hàm số xác định với mọi x ∈ R.
+ Nếu α nguyên âm hoặc α = 0 thì hàm số xác định với mọi x ≠ 0.
+ Nếu α không nguyên thì hàm số xác định với mọi x > 0
2. Ví dụ minh họa
Ví dụ 1. Tìm tập xác định D của hàm số y = (x2 − 3x + 2)100 .
A. D = [1; 2] B. D = [2; + ∞) ∪ (−∞; 1)
C. D = R. D. D = (1; 2)
Lời giải:
Đáp án: C
Hàm số với α nguyên dương, xác định với ∀x ∈ R .
Do đó hàm số y = (x2 − 3x + 2)100 xác định với ∀x ∈ R .
Ví dụ 2. Tìm tập xác định D của hàm số y = (x3 − 8)−100 .
A. D = (2; +∞) B. D = R\ {2}
C. D = (−∞; 2) D. D = (−2; +∞) ∪ (−∞; 2)
Lời giải:
Đáp án: B
Hàm số y = xα với α nguyên âm, xác định với ∀x ≠ 0 .
Hàm số y = (x3 − 8)−100 xác định x3 − 8 ≠ 0 ⇔ x ≠ 2.
Ví dụ 3. Tìm tập xác định D của hàm số y = (x3 − 8)0
A. D = (2; +∞) B. D = R\{2}
C. D = (−∞; 2) D. D = (−2; +∞) ∪ (−∞; 2)
Lời giải:
Đáp án: B
Hàm số y = xα với α = 0 xác định với ∀x ≠ 0 .
Hàm số y = (x3 − 8)0 xác định ⇔ x3 − 9 ≠ 0 ⇔ x3 ≠ 8 ⇔ x ≠ 2.
Ví dụ 4. Tìm tập xác định D của hàm số
A. D = R B. D = [4; +∞) ∪ (−∞; 2)
C. D = (4; +∞) ∪ (−∞; 2) D. D = [2;4]
Lời giải:
Đáp án: C
Hàm số y = xα với α không nguyên , có tập xác định là tập số thực dương.
Hàm số xác định x2 − 6x + 8 > 0
Do đó, tập xác định của hàm số đã cho là D = (4; +∞) ∪ (−∞; 2)
Ví dụ 5. Tìm tập xác định D của hàm số y = (x2 −6x + 8)√2
A. D = R B. D = [4; +∞) ∪ (−∞; 2)
C. D = (4; +∞) ∪ (−∞; 2) D. D = [2;4]
Lời giải:
Đáp án: C
Hàm số y = xα với α không nguyên , có tập xác định là tập số thực dương.
Hàm số y = (x2 −6x + 8)√2 xác định x2 − 6x + 8 > 0
Do đó, tập xác định của hàm số đã cho là D = (4; +∞) ∪ (−∞; 2)
Dạng 2. Tính đạo hàm của hàm số lũy thừa
1. Phương pháp giải
a. Hàm số lũy thừa y = xα có (α ∈ R) đạo hàm tại mọi điểm x > 0 và (xα)' = αxα − 1
b. Nếu hàm số u = u(x) nhận giá trị dương và có đạo hàm trên J thì y = uα(x) cũng có đạo hàm trên J và (uα(x))' = α . uα − 1(x) . u'(x)
2. Ví dụ minh họa
Ví dụ 1. Tính đạo hàm của hàm số
Lời giải:
Đáp án: D
Ta có:
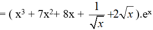
Ví dụ 2. Tính đạo hàm của hàm số y= (x3 + 4x2 + 2√x ). ex
Lời giải:
Đáp án: C
Ta có:
Hay
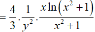
Ví dụ 3. Tính đạo hàm của hàm số y = √(32 −2x + 1)
Lời giải:
Đáp án: D
Ta có:
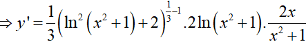
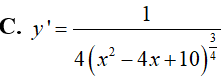
Ví dụ 4. Cho hàm số . Mệnh đề nào dưới đây là đúng?
Lời giải:
Đáp án: B
Ta có:
Ví dụ 5. Cho hàm số . Mệnh đề nào dưới đây là đúng?
Lời giải:
Đáp án: B
Ta có:
Bài giảng: Tất tần tật về Lũy thừa - Cô Nguyễn Phương Anh (Giáo viên VietJack)
(199k) Xem Khóa học Toán 12 KNTTXem Khóa học Toán 12 CDXem Khóa học Toán 12 CTST
Xem thêm các dạng bài tập Toán lớp 12 ôn thi Tốt nghiệp có lời giải hay khác:
- 4 Dạng bài tập Lũy thừa ôn thi Tốt nghiệp (có lời giải)
- 6 dạng bài tập Logarit ôn thi Tốt nghiệp (có lời giải)
- 4 dạng bài tập Hàm số mũ, hàm số logarit ôn thi Tốt nghiệp (có lời giải)
- 6 dạng bài tập Phương trình mũ ôn thi Tốt nghiệp (có lời giải)
- 5 dạng bài tập Phương trình logarit ôn thi Tốt nghiệp (có lời giải)
- Dạng bài tập Bất phương trình mũ ôn thi Tốt nghiệp (có lời giải)
- 5 dạng bài tập Bất phương trình logarit ôn thi Tốt nghiệp (có lời giải)
Đã có app VietJack trên điện thoại, giải bài tập SGK, SBT Soạn văn, Văn mẫu, Thi online, Bài giảng....miễn phí. Tải ngay ứng dụng trên Android và iOS.
Theo dõi chúng tôi miễn phí trên mạng xã hội facebook và youtube:Nếu thấy hay, hãy động viên và chia sẻ nhé! Các bình luận không phù hợp với nội quy bình luận trang web sẽ bị cấm bình luận vĩnh viễn.
- Giải Tiếng Anh 12 Global Success
- Giải sgk Tiếng Anh 12 Smart World
- Giải sgk Tiếng Anh 12 Friends Global
- Lớp 12 Kết nối tri thức
- Soạn văn 12 (hay nhất) - KNTT
- Soạn văn 12 (ngắn nhất) - KNTT
- Giải sgk Toán 12 - KNTT
- Giải sgk Vật Lí 12 - KNTT
- Giải sgk Hóa học 12 - KNTT
- Giải sgk Sinh học 12 - KNTT
- Giải sgk Lịch Sử 12 - KNTT
- Giải sgk Địa Lí 12 - KNTT
- Giải sgk Giáo dục KTPL 12 - KNTT
- Giải sgk Tin học 12 - KNTT
- Giải sgk Công nghệ 12 - KNTT
- Giải sgk Hoạt động trải nghiệm 12 - KNTT
- Giải sgk Giáo dục quốc phòng 12 - KNTT
- Giải sgk Âm nhạc 12 - KNTT
- Giải sgk Mĩ thuật 12 - KNTT
- Lớp 12 Chân trời sáng tạo
- Soạn văn 12 (hay nhất) - CTST
- Soạn văn 12 (ngắn nhất) - CTST
- Giải sgk Toán 12 - CTST
- Giải sgk Vật Lí 12 - CTST
- Giải sgk Hóa học 12 - CTST
- Giải sgk Sinh học 12 - CTST
- Giải sgk Lịch Sử 12 - CTST
- Giải sgk Địa Lí 12 - CTST
- Giải sgk Giáo dục KTPL 12 - CTST
- Giải sgk Tin học 12 - CTST
- Giải sgk Hoạt động trải nghiệm 12 - CTST
- Giải sgk Âm nhạc 12 - CTST
- Lớp 12 Cánh diều
- Soạn văn 12 Cánh diều (hay nhất)
- Soạn văn 12 Cánh diều (ngắn nhất)
- Giải sgk Toán 12 Cánh diều
- Giải sgk Vật Lí 12 - Cánh diều
- Giải sgk Hóa học 12 - Cánh diều
- Giải sgk Sinh học 12 - Cánh diều
- Giải sgk Lịch Sử 12 - Cánh diều
- Giải sgk Địa Lí 12 - Cánh diều
- Giải sgk Giáo dục KTPL 12 - Cánh diều
- Giải sgk Tin học 12 - Cánh diều
- Giải sgk Công nghệ 12 - Cánh diều
- Giải sgk Hoạt động trải nghiệm 12 - Cánh diều
- Giải sgk Giáo dục quốc phòng 12 - Cánh diều
- Giải sgk Âm nhạc 12 - Cánh diều


Giải bài tập SGK & SBT
Tài liệu giáo viên
Sách
Khóa học
Thi online
Hỏi đáp

