(4 dạng) Bài tập Hàm số mũ, hàm số logarit ôn thi Tốt nghiệp
Bài viết Hàm số mũ, hàm số logarit ôn thi Tốt nghiệp môn Toán với phương pháp giải chi tiết giúp học sinh ôn tập, biết cách làm bài tập Hàm số mũ, hàm số logarit.
(4 dạng) Bài tập Hàm số mũ, hàm số logarit ôn thi Tốt nghiệp
(199k) Xem Khóa học Toán 12 KNTTXem Khóa học Toán 12 CDXem Khóa học Toán 12 CTST
Bài giảng: Các bài toán thực tế - Ứng dụng hàm số mũ và logarit - Cô Nguyễn Phương Anh (Giáo viên VietJack)
Dạng 1Tìm tập xác định của hàm số mũ, hàm số logarit
1. Phương pháp giải
+ Hàm số y = ax cần điều kiện là a là số thực dương và a khác 1.
+ Hàm số y = logax cần điều kiện:
• Số thực a dương và khác 1.
• x > 0
2. Ví dụ minh họa
Ví dụ 1. Tìm tập xác định D của hàm số y = √(log3(x − 2) − 3) ?
A. D = [29; + ∞ ) B. (29; + ∞) C. D = (2; 29) D. (2; + ∞)
Lời giải:
Đáp án: B
Hàm số xác định log3(x − 2) − 3 ≥ 0
⇔ x ≥ 29
Tập xác định D = [29; + ∞)
Ví dụ 2. Gọi D là tập xác định của hàm số y=logx+1 (25 − x2). Có bao nhiêu số nguyên thuộc tập D?
A. 4 B. 5 C. 6 D. 7
Lời giải:
Đáp án: A
Điều kiện
⇒ D = (− 1; 5)\ {0}
Mà x nguyên nên x ∈ {1; 2; 3; 4}
Vậy tập D có 4 giá trị nguyên.
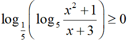
Ví dụ 3. Cho hàm số có tập xác định là D. Khi đó có bao nhiêu số thuộc tập hợp D là số nguyên?
A. 5 B. 6 C. 7 D. 9
Lời giải:
Đáp án: B
⇒ D = [− 2; − 1 ) ∪ (2; 7]
Vậy các số nguyên thuộc tập hợp D là −2; 3; 4; 5; 6; 7 .
Ví dụ 4. Hàm số y = √(3 − 2x + 1 − 4x) có tập xác định là
A. (−3; 1) B. [0; + ∞] . C. R D. (−∞; 0) .
Lời giải:
Đáp án: D
Điều kiện xác định:
3 − 2x + 1 − 4x > 0
⇔ 22x + 2. 2x − 3 (*)
Đặt 2x = t (t > 0) khi đó, phương trình (*) trở thành:
t2 + 2t − 3
Kết hợp điều kiện t > 0 ta có:
Do đó, 0 < 2x
⇔ 2x ≤
Vậy D = (−∞; 0]
Ví dụ 5. Tìm tất cả các giá trị thực của tham số m để hàm số y= ln (x2 − 2mx + 4) có tập xác định D = R ?
Lời giải:
Đáp án: A
Hàm số có tập xác định là R khi và chỉ khi: x2 – 2mx + 4 > 0
⇔ Δ' = m2 − 4 < 0 ⇔ − 2 < m < 2
Ví dụ 6. Tìm tất cả các giá trị thực của tham số m để hàm số xác định trên (2; 3).
A. 1 ≤ m ≤ 2 B. 1 m < ≤ 2 C. − 1 < m < 2 D. − 1 ≤ m ≤ 2
Lời giải:
Đáp án: A
Hàm số xác định
Suy ra, tập xác định của hàm số là D = (m; 2m + 1), với m ≥ − 1 (khi đó 2m + 1 ≥ m)
Hàm số xác định trên ( 2; 3) suy ra ⊂ D
⇔ 1 ≤ m ≤ 2
Dạng 2. Tính liên tục của hàm số
1. Phương pháp giải
+ Các hàm số y= ax và y= logax liên tục tại mọi điểm mà nó xác định, tức là :
Các giới hạn đặc biệt:
Và
* Mở rộng:
Và
2. Ví dụ minh họa
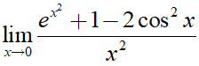
Ví dụ 1. Tính
A. 3e B. − 3e C. 3 − e D. e3
Lời giải:
Đáp án: B
Ta có:
= 3e(−1) = −3e
Ví dụ 2. Tính
A. 2 B. 8 C. 6 D. 0
Lời giải:
Đáp án: A
Ta có:
= 4 . 1 − 2 . 1 = 2
Ví dụ 3. Tính
A. 0 B. 1 C. 2 D. 3
Lời giải:
Đáp án: A
Ta có:
= 0 . 1 = 0
Ví dụ 4. Tính
A. 0 B. 1 C. − 1 D. 2
Lời giải:
Đáp án: A
Ta có:
= 2 . 1 = 0
Ví dụ 5. Tính
A. 1 B. 2 C. 0 D. 3
Lời giải:
Đáp án: D
Ta có:
= 1 + 2 . 1 = 3
Dạng 3. Tính đạo hàm của hàm số mũ, hàm số logarit
1. Phương pháp giải
Bảng tính đạo hàm của hàm số mũ và hàm số logarit.
Hàm sơ cấp |
Hàm số hợp |
(ex)' = ex |
(eu)' = u' . eu |
(ax)' = axlna |
(au)' = u' . au . lna |
2. Ví dụ minh họa
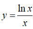
Ví dụ 1. Tính đạo hàm của hàm số
Lời giải:
Đáp án: A
Ta có:
Ví dụ 2. Đạo hàm của hàm số y= log2( 3x2 + 1) là
Lời giải:
Đáp án: C
Áp dụng công thức , ta được :
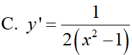
Ví dụ 3. Đạo hàm của hàm số là
Lời giải:
Đáp án: C
Ta có:
Ví dụ 4. Đạo hàm của hàm số y = ln|x − 2| + 2x là:
Lời giải:
Đáp án: C
Ta có:
Do đó
Ví dụ 5. Đạo hàm của hàm số là
Lời giải:
Đáp án: A
Ta có:
Do đó
Dạng 4. Ứng dụng đạo hàm vào khảo sát hàm số mũ, hàm số logarit.
1. Phương pháp giải
Áp dụng những kiến thức đã học ở chương I để tìm các khoảng đơn điệu, cực trị, giá trị lớn nhất- giá trị nhỏ nhất của hàm số....
2. Ví dụ minh họa
Ví dụ 1. Tìm giá trị lớn nhất của hàm số f(x)= 2x2 − ln (3 − 4x) trên đoạn [−2; 0]?
A. 8 − ln 11 B. 6 + ln 3 C. 9 + ln 2 D. 10 − ln15
Lời giải:
Đáp án: A
Điều kiện: 3 − 4x > 0
Ta có:
Xét f(x) trên khoảng trên [-2; 0] ta có:
Hàm số liên tục và khả vi trên đoạn [-2; 0]
Ta có: f(− 2) = 8 − ln11; f(0) = −ln3
Do vậy, giá trị lớn nhất của hàm số là 8 − ln11 khi x = − 2.
Ví dụ 2. Chọn khẳng định đúng khi nói về hàm số
A. Hàm số có một điểm cực tiểu.
B. Hàm số có một điểm cực đại.
C. Hàm số không có cực trị.
D. Hàm số có một điểm cực đại và một điểm cực tiểu.
Lời giải:
Đáp án: B
Tập xác định D = (0; +∞); ;y = 0 ⇔ lnx = 1 ⇔ x = e
Hàm y’ đổi dấu từ dương sang âm khi qua x = e nên x = e là điểm cực đại của hàm số.
Ví dụ 3. Hàm số nào trong các hàm số sau đồng biến trên R
Lời giải:
Đáp án: B
+ Hàm số và y = (3 − 2√2)x có 0 < a < 1 nên nghịch biến trên R.
+ Hàm số có
nên nó đồng biến trên R.
+ Hàm số y = 4x − 2x có y’= 4x.ln4 – 2x. ln2 = 2x. ln2 ( 2. 2x − 1)
Phương trình y’ = 0 ⇔ 2. 2x − 1 = 0 ⇔ 2x = 2−1 ⇔ x = −1.
Qua điểm x = − 1 ta thấy y’ đổi dấu nên hàm số y= 4x − 2x không đồng biến trên R
Ví dụ 4. Cho hàm số . Tất cả các giá trị thực của m để hàm số đã cho đồng biến trên R là
A. m ≥ 1 B. m ≤ 1 C. m < 1 D. m > 1
Lời giải:
Đáp án: A
Ta có .
Để hàm số luôn đồng biến trên R thì y' > 0, ∀x ∈ R .
Đặt t = 2x (t > 0). Khi đó, y’= (m − 1)t2 + 2t + m + 1.
Ta có
y' = (m − 1)t2 + 2t + m + 1 ≥ 0, ∈t > 0
Ta có .
Bảng biến thiên
Qua bảng biến thiên, ta thấy
Vậy (*) xảy ra khi m ≥ 1 .
Ví dụ 5. Đồ thị hàm số trong hình bên là đồ thị hàm số nào trong cáo hàm số dưới đây
Lời giải:
Đáp án: C
Dựa vào đồ thị hình vẽ ta thấy:
* Hàm số đã cho phải là hàm số đồng biến trên tập xác định của nó là R.(loại A và B)
* Hàm số đã cho nhận trục là đường tiệm cận ngang ( loại D ).
Ví dụ 6. Đồ thị hàm số trong hình bên là đồ thị hàm số nào trong các hàm số dưới đây
Lời giải:
Đáp án: B
Dựa vào đồ thị hình vẽ ta thấy:
* Hàm số đã cho phải là hàm số đồng biến trên tập xác định của nó là (0; ∞) (loại C và D)
* Hàm số đã cho nhận trục Oy là đường tiệm cận ngang (loại A)
Ví dụ 7. Trong hình vẽ bên đồ thị (1) là của hàm số y = logax và đồ thị (2) là của hàm số y = logbx. Khẳng định nào sau đây là đúng
A. a > b > 1 B. b > a > 1
C. 1 > a > b > 0 D. 1 > b > a > 0
Lời giải:
Đáp án: B
* Dựa vào đồ thị ta thấy 2 hàm số đã cho phải là 2 hàm đồng biến nên a > 1; b > 1
* Mặt khác chọn x = 2 ta có:
Do đó; b > a > 1
(199k) Xem Khóa học Toán 12 KNTTXem Khóa học Toán 12 CDXem Khóa học Toán 12 CTST
Xem thêm các dạng bài tập Toán lớp 12 ôn thi Tốt nghiệp có lời giải hay khác:
- 4 Dạng bài tập Lũy thừa ôn thi Tốt nghiệp (có lời giải)
- 6 dạng bài tập Logarit ôn thi Tốt nghiệp (có lời giải)
- 2 dạng bài tập Hàm số lũy thừa ôn thi Tốt nghiệp (có lời giải)
- 6 dạng bài tập Phương trình mũ ôn thi Tốt nghiệp (có lời giải)
- 5 dạng bài tập Phương trình logarit ôn thi Tốt nghiệp (có lời giải)
- Dạng bài tập Bất phương trình mũ ôn thi Tốt nghiệp (có lời giải)
- 5 dạng bài tập Bất phương trình logarit ôn thi Tốt nghiệp (có lời giải)
Đã có app VietJack trên điện thoại, giải bài tập SGK, SBT Soạn văn, Văn mẫu, Thi online, Bài giảng....miễn phí. Tải ngay ứng dụng trên Android và iOS.
Theo dõi chúng tôi miễn phí trên mạng xã hội facebook và youtube:Nếu thấy hay, hãy động viên và chia sẻ nhé! Các bình luận không phù hợp với nội quy bình luận trang web sẽ bị cấm bình luận vĩnh viễn.
- Giải Tiếng Anh 12 Global Success
- Giải sgk Tiếng Anh 12 Smart World
- Giải sgk Tiếng Anh 12 Friends Global
- Lớp 12 Kết nối tri thức
- Soạn văn 12 (hay nhất) - KNTT
- Soạn văn 12 (ngắn nhất) - KNTT
- Giải sgk Toán 12 - KNTT
- Giải sgk Vật Lí 12 - KNTT
- Giải sgk Hóa học 12 - KNTT
- Giải sgk Sinh học 12 - KNTT
- Giải sgk Lịch Sử 12 - KNTT
- Giải sgk Địa Lí 12 - KNTT
- Giải sgk Giáo dục KTPL 12 - KNTT
- Giải sgk Tin học 12 - KNTT
- Giải sgk Công nghệ 12 - KNTT
- Giải sgk Hoạt động trải nghiệm 12 - KNTT
- Giải sgk Giáo dục quốc phòng 12 - KNTT
- Giải sgk Âm nhạc 12 - KNTT
- Giải sgk Mĩ thuật 12 - KNTT
- Lớp 12 Chân trời sáng tạo
- Soạn văn 12 (hay nhất) - CTST
- Soạn văn 12 (ngắn nhất) - CTST
- Giải sgk Toán 12 - CTST
- Giải sgk Vật Lí 12 - CTST
- Giải sgk Hóa học 12 - CTST
- Giải sgk Sinh học 12 - CTST
- Giải sgk Lịch Sử 12 - CTST
- Giải sgk Địa Lí 12 - CTST
- Giải sgk Giáo dục KTPL 12 - CTST
- Giải sgk Tin học 12 - CTST
- Giải sgk Hoạt động trải nghiệm 12 - CTST
- Giải sgk Âm nhạc 12 - CTST
- Lớp 12 Cánh diều
- Soạn văn 12 Cánh diều (hay nhất)
- Soạn văn 12 Cánh diều (ngắn nhất)
- Giải sgk Toán 12 Cánh diều
- Giải sgk Vật Lí 12 - Cánh diều
- Giải sgk Hóa học 12 - Cánh diều
- Giải sgk Sinh học 12 - Cánh diều
- Giải sgk Lịch Sử 12 - Cánh diều
- Giải sgk Địa Lí 12 - Cánh diều
- Giải sgk Giáo dục KTPL 12 - Cánh diều
- Giải sgk Tin học 12 - Cánh diều
- Giải sgk Công nghệ 12 - Cánh diều
- Giải sgk Hoạt động trải nghiệm 12 - Cánh diều
- Giải sgk Giáo dục quốc phòng 12 - Cánh diều
- Giải sgk Âm nhạc 12 - Cánh diều


Giải bài tập SGK & SBT
Tài liệu giáo viên
Sách
Khóa học
Thi online
Hỏi đáp

