Trắc nghiệm sử dụng tính đơn điệu để giải phương trình logarit
Với Trắc nghiệm sử dụng tính đơn điệu để giải phương trình logarit có lời giải chi tiết sẽ giúp học sinh ôn tập, biết cách làm Trắc nghiệm sử dụng tính đơn điệu để giải phương trình logarit.
Trắc nghiệm sử dụng tính đơn điệu để giải phương trình logarit
(199k) Học Toán 12 KNTTHọc Toán 12 CDHọc Toán 12 CTST
Bài giảng: Cách giải phương trình logarit - Cô Nguyễn Phương Anh (Giáo viên VietJack)
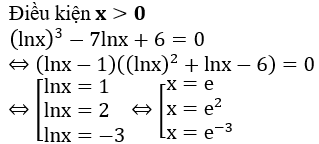
Bài 1: Phương trình (lnx)3-7lnx+6=0 có bao nhiêu nghiệm trên R?
A. 1 B. 2 C. 3 D. 4
Lời giải:
Đáp án : C
Giải thích :
Vậy phương trình có ba nghiệm.
Bài 2: Tập nghiệm của phương trình log2x+log3x + log4x = log20 x là
A.S={1}. B.S=∅. C.S={1;2} D.S={2}
Lời giải:
Đáp án : A
Giải thích :
ĐK x > 0.
Bài 3: Tập nghiệm của phương trình sau là:
A.S={1}. B.S=∅. C.S={1;2} D.S={2}
Lời giải:
Đáp án : B
Giải thích :
• Tự luận:ĐK -1 < x < 1.
Vâỵ phương trình vô nghiệm.
Bài 4: Nghiệm của phương trình x+2.3log2x=3 là
A. x=1 B.x=-3; x=1 C. x=3; x=1. D.x=3.
Lời giải:
Đáp án : A
Giải thích :
Phương trình có một nghiệm x=1.
f(x)=x+2.3log2x ⇒ f'(x) > 0. Suy ra vế trái là hàm đòng biến, mà vế phải là hàm hằng, nên phương trình có một nghiệm duy nhất x=1.
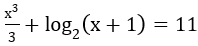
Bài 5: Tìm tích tất cả các nghiệm của phương trình
log3[(x+1)3+3(x+1)2+3x+4]=2log2(x+1).
A. -1. B. -7. C. 7 . D. 11.
Lời giải:
Đáp án : C
Giải thích :
• Tự luận:
log3[(x+1)3+3(x+1)2+3x+4]=2log2(x+1)
Điều kiện: x > -1
log3[(x+1)3+3(x+1)2+3(x+1)+1]=2log2(x+1)
nhận thấy f(t)là hàm luôn nghịch biến, nên pt có nghiệm duy nhất, và f(1)=1, vậy nghiệm t=1, hay x=7
Bài 6: Cho phương trình log2(x+3log6 x )=log6 x có nghiệm x = a/b với a/b là phân số tối giản. Khi đó tổng a+b bằng?
A. 1 B. 3 C. 5 D. 7
Lời giải:
Đáp án : D
Giải thích :
nhận thấy f(t) là hàm đồng biến trên R và f(-1)=1. Nên pt có nghiệm duy nhất t=-1 hay x=1/6
Bài 7: Phương trình 2log5(x+3) = x có bao nhiêu nghiệm?
A. 1 B. 2 C. 3 D. Vô nghiệm.
Lời giải:
Đáp án : A
Giải thích :
ĐK: x > -3
2log5(x+3) = x ⇔ log5(x+3)=log2x
Đặt log5(x+3)=log2x=t
Phương trình (*)có một nghiệm t=1.
Xét hàm số
Ta có f'(t) > 0nên vế trái của(*) là hàmđồng biến trên tập xác định, trong khi vế phải là hàm hằng nên phương trình (*) có nghiệm duy nhất t=1 ⇒ x=2
Bài 8: Phương trình (4x-5)log22 x+(16x-7)log2x+12=0 có tích các nghiệm bằng?
A.1/2. B. -1/2. C. 2. D. 5.
Lời giải:
Đáp án : A
Giải thích :
(4x-5)log22 x+(16x-7)log2x+12=0
ĐK: x > 0
Đặt t=log2x
pt ⇔ (4x-5) t2+(16x-7)t+12=0
⇔ (4x-5) t2+(16x-7)t+12=0
⇔ (t+2)(t+x-3)=0
Với
t=-x+3 ⇒ log2x=-x+3
Nhận xét thấy vế trái là hàm tăng, vế phải là hàm giảm. Nên pt có nghiệm duy nhất. Và thay x=2 thì thỏa pt. Vậy nghiệm x=2
Tích bằng 0.5
Bài 9: Phương trình sau có tổng các nghiệm bằng
A.√5. B. 3 C. -3. D. -√5.
Lời giải:
Đáp án : B
Giải thích :
pt ⇔ log3(u+2)+5u2-1=2
Đặt f(u)=log3(u+2)+5u2-1. Nhận xét thấy vế phải là hàm tăng, và f(1)=2. Nên phương trình có nghiệm duy nhất u=1
hay
Bài 10: Hiệu của nghiệm lớn nhất với nghiệm nhỏ nhất của phương trình 7x-1-2log7 (6x-5)3=1 là
A. 1. B. 2 C. -1. D. -2.
Lời giải:
Đáp án : A
Giải thích :
7x-1-2log7 (6x-5)3=1 (DK: x > 5/6)
⇔ 7x-1+6(x-1)=6x-5+6log7 (6x-5)
Đặt f(t)=t+6log7 t
Nên f(t) tăng
Vậy f(7x-1 )=f(6x-5) ⇔ 7x-1=6x-5 ⇔ 7u=6u+1
Xét hàm g(u)=7u-6u-1
Theo bảng biến thiên ta có hàm g(u) tăng, giảm trên hai khoảng. Nên g(u) có nhiều nhất 2 nghiệm
Mà g(0)=0;g(1)=0;
Bài 11: Phương trình sau có nghiệm là
A. x=0 . B. x=0; x=4. C.Vô nghiệm. D. x=4.
Lời giải:
Đáp án : B
Giải thích :
⇔ log3(2x+1)-log3(x2-2x+1)=x2-4x
⇔ log3(2x+1)+(2x+1)=log3(x2-2x+1)+(x2-2x+1)
⇔ f(2x+1)=f(x2-2x+1) (*)
Với f(x)=log3x+x ⇒ f'(x) > 0.
Nên f(x) đồng biến .
Vậy (*) ⇔ x2-2x+1=2x+1 ⇔ x2-4x=0
Bài 12: Nghiệm của phương trình là:
Lời giải:
Đáp án : D
Giải thích :
ĐK: x > -1.
Phương trình có một nghiệm x=3.
Ta có f'(x) > 0 nên VT=f(x) đồng biến trên (-1;+∞), trong khi VP là hàm hằng nên phương trình có nghiệm duy nhất.
Bài 13: Nghiệm bé nhất của phương trình log23 x-2log22 x=log2x-2 là:
A. x=4. B. x=1/4. C. x=2. D. x=1/2.
Lời giải:
Đáp án : D
Giải thích :
TXĐ:x > 0
PT ⇔ log23 x-2log22 x=log2x-2 ⇔ log23 x-2log22 x-log2x+2=0
⇔ log23 x-log2x-2log22 x+2=0 ⇔ log2x(log22 x-1)-2(log22 x-1)=0
⇔ (log22 x-1)(log2x-2)=0
⇒ x=1/(2 )là nghiệm nhỏ nhất.
Bài 14: Nghiệm nhỏ nhất của phương trình -log√3(x-2).log5x=2log3(x-2) là:
A. 1/5. B. 3. C. 2. D. 1.
Lời giải:
Đáp án : B
Giải thích :
Điều kiện: x > 2
-log√3(x-2).log5x=2log3(x-2) ⇔ -2log3(x-2).log5x=2log3(x-2)
So điều kiện suy ra phương trình có nghiệm x=3.
Bài 15: Tích các nghiệm của phương trình log2x.log4x.log8 x.log16 x=81/24 là :
A. 1/2. B. 2. C. 1. D. 3.
Lời giải:
Đáp án : C
Giải thích :
Điều kiện: x > 0.
Ta có: log2x.log4x.log8 x.log16 x=81/24 ⇔ (log2x)(1/2 log2x)(1/3 log2x)(1/4 log2x)=81/24
Vậy tập nghiệm của phương trình đã cho là S={1/8;8} ⇒ x1.x2=1.
Bài 16: Tập nghiệm của phương trình 4log22x-xlog26=2.3log24x2 là:
A. S={4/9}. B. S={-1/2}. C. S={1/4}. D. S={-2}.
Lời giải:
Đáp án : C
Giải thích :
Điều kiện: 0 < x ≠ 1
Ta có: 4log22x - xlog26 = 2.3log24x2 ⇔ 41+log2x-6log2x = 2.32+2log2x ⇔ 4.4log2x-6log2x=19.9log2x (1)
Chia 2 vế cho 4log2x.
Vậy tập nghiệm của phương trình đã cho là S={1/4}.
(199k) Học Toán 12 KNTTHọc Toán 12 CDHọc Toán 12 CTST
Xem thêm các dạng bài tập Toán lớp 12 có trong đề thi Tốt nghiệp THPT khác:
- Dạng 1: Giải phương trình logarit bằng cách đưa về cùng cơ số
- Trắc nghiệm giải phương trình logarit bằng cách đưa về cùng cơ số
- Dạng 2: Giải phương trình logarit bằng cách mũ hóa
- Trắc nghiệm giải phương trình logarit bằng cách mũ hóa
- Dạng 3: Giải phương trình logarit bằng cách đặt ẩn phụ
- Trắc nghiệm giải phương trình logarit bằng cách đặt ẩn phụ
- Dạng 4: Sử dụng tính đơn điệu để giải phương trình logarit
- Dạng 5: Phương trình logarit chứa tham số
- Trắc nghiệm giải phương trình logarit chứa tham số
Đã có app VietJack trên điện thoại, giải bài tập SGK, SBT Soạn văn, Văn mẫu, Thi online, Bài giảng....miễn phí. Tải ngay ứng dụng trên Android và iOS.
Theo dõi chúng tôi miễn phí trên mạng xã hội facebook và youtube:Nếu thấy hay, hãy động viên và chia sẻ nhé! Các bình luận không phù hợp với nội quy bình luận trang web sẽ bị cấm bình luận vĩnh viễn.
- Giải Tiếng Anh 12 Global Success
- Giải sgk Tiếng Anh 12 Smart World
- Giải sgk Tiếng Anh 12 Friends Global
- Lớp 12 Kết nối tri thức
- Soạn văn 12 (hay nhất) - KNTT
- Soạn văn 12 (ngắn nhất) - KNTT
- Giải sgk Toán 12 - KNTT
- Giải sgk Vật Lí 12 - KNTT
- Giải sgk Hóa học 12 - KNTT
- Giải sgk Sinh học 12 - KNTT
- Giải sgk Lịch Sử 12 - KNTT
- Giải sgk Địa Lí 12 - KNTT
- Giải sgk Giáo dục KTPL 12 - KNTT
- Giải sgk Tin học 12 - KNTT
- Giải sgk Công nghệ 12 - KNTT
- Giải sgk Hoạt động trải nghiệm 12 - KNTT
- Giải sgk Giáo dục quốc phòng 12 - KNTT
- Giải sgk Âm nhạc 12 - KNTT
- Giải sgk Mĩ thuật 12 - KNTT
- Lớp 12 Chân trời sáng tạo
- Soạn văn 12 (hay nhất) - CTST
- Soạn văn 12 (ngắn nhất) - CTST
- Giải sgk Toán 12 - CTST
- Giải sgk Vật Lí 12 - CTST
- Giải sgk Hóa học 12 - CTST
- Giải sgk Sinh học 12 - CTST
- Giải sgk Lịch Sử 12 - CTST
- Giải sgk Địa Lí 12 - CTST
- Giải sgk Giáo dục KTPL 12 - CTST
- Giải sgk Tin học 12 - CTST
- Giải sgk Hoạt động trải nghiệm 12 - CTST
- Giải sgk Âm nhạc 12 - CTST
- Lớp 12 Cánh diều
- Soạn văn 12 Cánh diều (hay nhất)
- Soạn văn 12 Cánh diều (ngắn nhất)
- Giải sgk Toán 12 Cánh diều
- Giải sgk Vật Lí 12 - Cánh diều
- Giải sgk Hóa học 12 - Cánh diều
- Giải sgk Sinh học 12 - Cánh diều
- Giải sgk Lịch Sử 12 - Cánh diều
- Giải sgk Địa Lí 12 - Cánh diều
- Giải sgk Giáo dục KTPL 12 - Cánh diều
- Giải sgk Tin học 12 - Cánh diều
- Giải sgk Công nghệ 12 - Cánh diều
- Giải sgk Hoạt động trải nghiệm 12 - Cánh diều
- Giải sgk Giáo dục quốc phòng 12 - Cánh diều
- Giải sgk Âm nhạc 12 - Cánh diều


Giải bài tập SGK & SBT
Tài liệu giáo viên
Sách
Khóa học
Thi online
Hỏi đáp

