12+ Bài tập Ôn tập Phép cộng và phép trừ hai phân số lớp 5 (có lời giải)
Tổng hợp Bài tập Ôn tập Phép cộng và phép trừ hai phân số lớp 5 có lời giải chi tiết với bài tập đa dạng, đầy đủ các mức độ giúp học sinh ôn tập từ đó biết cách làm bài tập Toán lớp 5.
12+ Bài tập Ôn tập Phép cộng và phép trừ hai phân số lớp 5 (có lời giải)
(199k) Xem Khóa học Toán lớp 5 KNTTXem Khóa học Toán lớp 5 CTSTXem Khóa học Toán lớp 5 CD
Câu 1: Muốn cộng hai phân số có cùng mẫu số ta làm như sau:
A. Ta lấy tử số cộng với tử số, mẫu số cộng với mẫu số.
B. Ta lấy tử số cộng với tử số, mẫu số giữ nguyên.
C. Ta giữ nguyên tử số, mẫu số cộng với mẫu số.
D. Ta lấy tử số cộng với tử số, mẫu số nhân với mẫu số.
Câu 2: Chọn phát biểu sai trong các phát biểu sau:
A. Muốn trừ hai phân số có cùng mẫu số ta lấy tử số trừ đi tử số, giữ nguyên mẫu số.
B. Muốn trừ hai phân số có cùng mẫu số ta lấy tử số trừ đi tử số, mẫu số trừ đi mẫu số.
C. Muốn cộng hai phân số khác mẫu số, ta quy đồng mẫu số hai phân số rồi cộng hai phân số đã quy đồng.
D. Muốn trừ hai phân số khác mẫu số, ta quy đồng mẫu số hai phân số rồi trừ hai phân số đã quy đồng.
Câu 3: Tính và chọn kết quả đúng:
Câu 4: Tính:
Câu 5: Tính và chọn kết quả đúng:
Câu 6: Một quầy lương thực buổi sáng bán được tổng số gạo, buổi chiều bán được
tổng số gạo. Hỏi số gạo còn lại chiếm bao nhiêu phần số gạo của quầy lương thực đó?
Câu 7: Tính rồi rút gọn biểu thức ta được kết quả là:
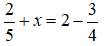
Câu 8: Tìm x biết:
Câu 9: Tính và chọn đáp án đúng:
A. 3
B. 4
C. 2
D. 1
Câu 10: Tìm một phân số tối giản, biết rằng nếu lấy trừ đi phân số đó rồi cộng với
thì được phân số
. Vậy phân số cần tìm là:
(199k) Xem Khóa học Toán lớp 5 KNTTXem Khóa học Toán lớp 5 CTSTXem Khóa học Toán lớp 5 CD
Xem thêm các bài tập & câu hỏi trắc nghiệm Toán lớp 5 chọn lọc, có đáp án chi tiết hay khác:
- 12+ Bài tập Ôn tập Phép nhân và phép chia hai phân số
- 12+ Bài tập Hỗn số
- 12+ Bài tập Hỗn số (tiếp theo)
- 12+ Bài tập ôn tập về phân số và hỗn số
- 12+ Bài tập Ôn tập về giải toán
Xem thêm các bài Để học tốt Toán lớp 5 hay khác:
- Giải bài tập sgk Toán lớp 5
- Giải Vở bài tập Toán lớp 5
- Đề thi Toán lớp 5 (có đáp án)
- Giải lớp 5 Kết nối tri thức (các môn học)
- Giải lớp 5 Chân trời sáng tạo (các môn học)
- Giải lớp 5 Cánh diều (các môn học)
Tủ sách VIETJACK shopee lớp 1-5 (2025):
Đã có app VietJack trên điện thoại, giải bài tập SGK, SBT Soạn văn, Văn mẫu, Thi online, Bài giảng....miễn phí. Tải ngay ứng dụng trên Android và iOS.
Theo dõi chúng tôi miễn phí trên mạng xã hội facebook và youtube:Loạt bài Giải bài tập sgk Toán lớp 5 của chúng tôi được biên soạn bám sát nội dung sgk Toán lớp 5 Tập 1 & Tập 2.
Nếu thấy hay, hãy động viên và chia sẻ nhé! Các bình luận không phù hợp với nội quy bình luận trang web sẽ bị cấm bình luận vĩnh viễn.
- Giải Tiếng Anh lớp 5 Global Success
- Giải sgk Tiếng Anh lớp 5 Smart Start
- Giải sgk Tiếng Anh lớp 5 Family and Friends
- Lớp 5 Kết nối tri thức
- Giải sgk Tiếng Việt lớp 5 - KNTT
- Giải Vở bài tập Tiếng Việt lớp 5 - KNTT
- Giải sgk Toán lớp 5 - KNTT
- Giải Vở bài tập Toán lớp 5 - KNTT
- Giải sgk Đạo đức lớp 5 - KNTT
- Giải sgk Khoa học lớp 5 - KNTT
- Giải sgk Lịch Sử và Địa Lí lớp 5 - KNTT
- Giải sgk Hoạt động trải nghiệm lớp 5 - KNTT
- Giải sgk Tin học lớp 5 - KNTT
- Giải sgk Công nghệ lớp 5 - KNTT
- Giải sgk Âm nhạc lớp 5 - KNTT
- Giải sgk Mĩ thuật lớp 5 - KNTT
- Lớp 5 Chân trời sáng tạo
- Giải sgk Tiếng Việt lớp 5 - CTST
- Giải Vở bài tập Tiếng Việt lớp 5 - CTST
- Giải sgk Toán lớp 5 - CTST
- Giải Vở bài tập Toán lớp 5 - CTST
- Giải sgk Đạo đức lớp 5 - CTST
- Giải sgk Khoa học lớp 5 - CTST
- Giải sgk Lịch Sử và Địa Lí lớp 5 - CTST
- Giải sgk Hoạt động trải nghiệm lớp 5 - CTST
- Giải sgk Tin học lớp 5 - CTST
- Giải sgk Công nghệ lớp 5 - CTST
- Giải sgk Âm nhạc lớp 5 - CTST
- Giải sgk Mĩ thuật lớp 5 - CTST
- Lớp 5 Cánh diều
- Giải sgk Tiếng Việt lớp 5 - Cánh diều
- Giải Vở bài tập Tiếng Việt lớp 5 - Cánh diều
- Giải sgk Toán lớp 5 - Cánh diều
- Giải Vở bài tập Toán lớp 5 - Cánh diều
- Giải sgk Đạo đức lớp 5 - Cánh diều
- Giải sgk Khoa học lớp 5 - Cánh diều
- Giải sgk Lịch Sử và Địa Lí lớp 5 - Cánh diều
- Giải sgk Hoạt động trải nghiệm lớp 5 - Cánh diều
- Giải sgk Tin học lớp 5 - Cánh diều
- Giải sgk Công nghệ lớp 5 - Cánh diều
- Giải sgk Âm nhạc lớp 5 - Cánh diều
- Giải sgk Mĩ thuật lớp 5 - Cánh diều


Giải bài tập SGK & SBT
Tài liệu giáo viên
Sách
Khóa học
Thi online
Hỏi đáp

