Bài 32 trang 19 SGK Toán 6 Tập 2
Giải bài tập Toán 6 Tập 2 | Để học tốt Toán 6 Tập 2
Chương 3: Phân số
Bài 5: Quy đồng mẫu nhiều phân số
Luyện tập (Trang 19-20-21 sgk Toán 6 tập 2)
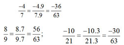
Bài 32 (trang 19 SGK Toán 6 tập 2): Quy đồng mẫu các phân số:
Lời giải:
a) Các phân số đều tối giản. Mẫu số chung là BCNN(7, 9, 21) = 32.7 = 63
Thừa số phụ của 7 là 9, của 9 là 7, của 21 là 3. Do đó:
b) Các phân số đều tối giản. Mẫu số chung: 23.3.11 = 264. Do đó:
Kiến thức áp dụng
Để quy đồng mẫu số các phân số ta chú ý cần rút gọn tất cả các phân số về dạng tối giản và mẫu số dương (nếu cần). Sau đó ta quy đồng như sau:
+ Bước 1: Tìm BCNN của các mẫu để làm mẫu chung .
+ Bước 2: Tìm thừa số phụ.
+ Bước 3: Nhân tử và mẫu của mỗi phân số với thừa số phụ tương ứng.
Lưu ý : Khi đã quen với các bài toán quy đồng, bước 2 ta có thể nhẩm trong đầu mà không cần trình bày.
Các bài giải bài tập Toán 6 khác trên VietJack:
Bài 29 (trang 19 SGK Toán 6 tập 2): Quy đồng mẫu các phân số sau: a) ...
Bài 30 (trang 19 SGK Toán 6 tập 2): Quy đồng mẫu các phân số sau: a) ...
Bài 31 (trang 19 SGK Toán 6 tập 2): Hai phân số sau đây có bằng nhau không? ...
Bài 32 (trang 19 SGK Toán 6 tập 2): Quy đồng mẫu các phân số: a) ...
Bài 33 (trang 19 SGK Toán 6 tập 2): Quy đồng mẫu các phân số: a) ...
Bài 34 (trang 20 SGK Toán 6 tập 2): Quy đồng mẫu các phân số: a) ...
Bài 35 (trang 20 SGK Toán 6 tập 2): Rút gọn rồi qui đồng mẫu các phân số: a) ...
Bài 36 (trang 20-21 SGK Toán 6 tập 2): Đố vui. Hai bức ảnh dưới đây chụp những di tích nào?
Xem thêm các bài giải bài tập Toán lớp 6 hay, chi tiết khác:
- Luyện tập trang 19
- Bài 6: So sánh phân số
- Bài 7: Phép cộng phân số
- Bài 8: Tính chất cơ bản của phép cộng phân số
- Luyện tập trang 29
Xem thêm các loạt bài Để học tốt Toán lớp 6 hay khác:
Tủ sách VIETJACK shopee lớp 6-8 (2025):
Đã có app VietJack trên điện thoại, giải bài tập SGK, SBT Soạn văn, Văn mẫu, Thi online, Bài giảng....miễn phí. Tải ngay ứng dụng trên Android và iOS.
Theo dõi chúng tôi miễn phí trên mạng xã hội facebook và youtube:Loạt bài Giải bài tập Toán lớp 6 | Để học tốt Toán 6 của chúng tôi được biên soạn bám sát theo chương trình Sách giáo khoa Toán 6 (Tập 1 & Tập 2) và một phần dựa trên cuốn Giải bài tập Toán 6.
Nếu thấy hay, hãy động viên và chia sẻ nhé! Các bình luận không phù hợp với nội quy bình luận trang web sẽ bị cấm bình luận vĩnh viễn.
- Giải sgk Tiếng Anh 6 Global Success
- Giải sgk Tiếng Anh 6 Friends plus
- Giải sgk Tiếng Anh 6 Smart World
- Giải sgk Tiếng Anh 6 Explore English
- Lớp 6 - Kết nối tri thức
- Soạn Văn 6 (hay nhất) - KNTT
- Soạn Văn 6 (ngắn nhất) - KNTT
- Giải sgk Toán 6 - KNTT
- Giải sgk Khoa học tự nhiên 6 - KNTT
- Giải sgk Lịch Sử 6 - KNTT
- Giải sgk Địa Lí 6 - KNTT
- Giải sgk Giáo dục công dân 6 - KNTT
- Giải sgk Hoạt động trải nghiệm 6 - KNTT
- Giải sgk Tin học 6 - KNTT
- Giải sgk Công nghệ 6 - KNTT
- Giải sgk Âm nhạc 6 - KNTT
- Lớp 6 - Chân trời sáng tạo
- Soạn Văn 6 (hay nhất) - CTST
- Soạn Văn 6 (ngắn nhất) - CTST
- Giải sgk Toán 6 - CTST
- Giải sgk Khoa học tự nhiên 6 - CTST
- Giải sgk Lịch Sử 6 - CTST
- Giải sgk Địa Lí 6 - CTST
- Giải sgk Giáo dục công dân 6 - CTST
- Giải sgk Công nghệ 6 - CTST
- Giải sgk Hoạt động trải nghiệm 6 - CTST
- Giải sgk Âm nhạc 6 - CTST
- Lớp 6 - Cánh diều
- Soạn Văn 6 Cánh diều (hay nhất)
- Soạn Văn 6 Cánh diều (ngắn nhất)
- Giải sgk Toán 6 - Cánh diều
- Giải sgk Khoa học tự nhiên 6 - Cánh diều
- Giải sgk Lịch Sử 6 - Cánh diều
- Giải sgk Địa Lí 6 - Cánh diều
- Giải sgk Giáo dục công dân 6 - Cánh diều
- Giải sgk Hoạt động trải nghiệm 6 - Cánh diều
- Giải sgk Tin học 6 - Cánh diều
- Giải sgk Công nghệ 6 - Cánh diều
- Giải sgk Âm nhạc 6 - Cánh diều


Giải bài tập SGK & SBT
Tài liệu giáo viên
Sách
Khóa học
Thi online
Hỏi đáp

