Giải Toán 7 Bài 34 (sách mới) | Kết nối tri thức
Giải Toán 7 Bài 34 (sách mới) | Kết nối tri thức
Để xem lời giải Toán 7 Bài 34 Kết nối tri thức, bạn vào tên bài hoặc Xem chi tiết.
Lưu trữ: Giải Toán lớp 7 Bài 34 (sách cũ)
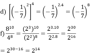
Bài 34 (trang 22 SGK Toán 7 Tập 1): Trong vở bài tập của bạn Dũng có bài làm sau:
a) (-5)2 . (-5)3 = (-5)6
b) (0,75)3 : 0,75 = (0,75)2
c) (0,2)10 : (0,2)5 = (0,2)2
Hãy kiểm tra lại các đáp số và sửa lại chỗ sai (nếu có)
Lời giải:
- Các câu sai là a, c, d, f
- Các câu đúng là b, e
Sửa lại:
a)(-5)2.(-5)3 = (-5)2+3 = (-5)5
c)(0,2)10:(0,2)5 = (0,2)10-5 = (0,2)5
Kiến thức áp dụng
xm.xn = xm+n
xm:xn = xm-n (x ≠ 0, m ≥ n)
(xm)n = xm.n
Tham khảo lời giải các bài tập Toán 7 Tập 1 khác:
Trả lời câu hỏi Toán 7 Tập 1 Bài 6 trang 21 : Tính và so sánh:....
Bài 34 (trang 22 SGK Toán 7 Tập 1): Trong vở bài tập của bạn Dũng có bài làm sau: ...
Bài 35 (trang 22 SGK Toán 7 Tập 1): Ta thừa nhận tính chất sau đây : ...
Bài 36 (trang 22 SGK Toán 7 Tập 1): Viết các biểu thức sau dưới dạng ...
Bài 37 (trang 22 SGK Toán 7 Tập 1): Tìm giá trị của các biểu thức sau
Bài 38 (trang 22 SGK Toán 7 Tập 1): a) Viết các số 227 và 318 ...
Bài 42 (trang 23 SGK Toán 7 Tập 1): Tìm số tự nhiên x, biết ...
Mục lục giải toán 7 tập 1 theo chương:
Lời giải bài tập lớp 7 sách mới:
- Giải bài tập Lớp 7 Kết nối tri thức
- Giải bài tập Lớp 7 Chân trời sáng tạo
- Giải bài tập Lớp 7 Cánh diều
Tủ sách VIETJACK shopee lớp 6-8 (2025):
Đã có app VietJack trên điện thoại, giải bài tập SGK, SBT Soạn văn, Văn mẫu, Thi online, Bài giảng....miễn phí. Tải ngay ứng dụng trên Android và iOS.
Theo dõi chúng tôi miễn phí trên mạng xã hội facebook và youtube:Loạt bài Giải bài tập Toán lớp 7 | Để học tốt Toán 7 của chúng tôi được biên soạn bám sát theo chương trình Sách giáo khoa Toán 7 (Tập 1 & Tập 2) và một phần dựa trên quyển sách Giải bài tập Toán 7 và Để học tốt Toán lớp 7.
Nếu thấy hay, hãy động viên và chia sẻ nhé! Các bình luận không phù hợp với nội quy bình luận trang web sẽ bị cấm bình luận vĩnh viễn.
- Giải Tiếng Anh 7 Global Success
- Giải Tiếng Anh 7 Friends plus
- Giải sgk Tiếng Anh 7 Smart World
- Giải Tiếng Anh 7 Explore English
- Lớp 7 - Kết nối tri thức
- Soạn văn 7 (hay nhất) - KNTT
- Soạn văn 7 (ngắn nhất) - KNTT
- Giải sgk Toán 7 - KNTT
- Giải sgk Khoa học tự nhiên 7 - KNTT
- Giải sgk Lịch Sử 7 - KNTT
- Giải sgk Địa Lí 7 - KNTT
- Giải sgk Giáo dục công dân 7 - KNTT
- Giải sgk Tin học 7 - KNTT
- Giải sgk Công nghệ 7 - KNTT
- Giải sgk Hoạt động trải nghiệm 7 - KNTT
- Giải sgk Âm nhạc 7 - KNTT
- Lớp 7 - Chân trời sáng tạo
- Soạn văn 7 (hay nhất) - CTST
- Soạn văn 7 (ngắn nhất) - CTST
- Giải sgk Toán 7 - CTST
- Giải sgk Khoa học tự nhiên 7 - CTST
- Giải sgk Lịch Sử 7 - CTST
- Giải sgk Địa Lí 7 - CTST
- Giải sgk Giáo dục công dân 7 - CTST
- Giải sgk Công nghệ 7 - CTST
- Giải sgk Tin học 7 - CTST
- Giải sgk Hoạt động trải nghiệm 7 - CTST
- Giải sgk Âm nhạc 7 - CTST
- Lớp 7 - Cánh diều
- Soạn văn 7 (hay nhất) - Cánh diều
- Soạn văn 7 (ngắn nhất) - Cánh diều
- Giải sgk Toán 7 - Cánh diều
- Giải sgk Khoa học tự nhiên 7 - Cánh diều
- Giải sgk Lịch Sử 7 - Cánh diều
- Giải sgk Địa Lí 7 - Cánh diều
- Giải sgk Giáo dục công dân 7 - Cánh diều
- Giải sgk Công nghệ 7 - Cánh diều
- Giải sgk Tin học 7 - Cánh diều
- Giải sgk Hoạt động trải nghiệm 7 - Cánh diều
- Giải sgk Âm nhạc 7 - Cánh diều


Giải bài tập SGK & SBT
Tài liệu giáo viên
Sách
Khóa học
Thi online
Hỏi đáp

