Bài 8 trang 90 SGK Toán 7 Tập 2
Bài tập Ôn cuối năm
A. Phần Đại Số
Video Giải Bài 8 trang 90 SGK Toán 7 tập 2 - Cô Nguyễn Hà Nguyên (Giáo viên VietJack)
Bài 8 (trang 90 SGK Toán 7 tập 2): Để tìm hiểu về sản lượng vụ mùa của một xã, người ta chọn ra 120 thửa để gặt thử và ghi lại sản lượng của từng thửa (tính theo tạ/ha). Kết quả được tạm sắp xếp như sau:
Có 10 thửa đạt năng suất 31 tạ/ha
Có 20 thửa đạt năng suất 34 tạ/ha
Có 30 thửa đạt năng suất 35 tạ/ha
Có 15 thửa đạt năng suất 36 tạ/ha
Có 10 thửa đạt năng suất 38 tạ/ha
Có 10 thửa đạt năng suất 40 tạ/ha
Có 5 thửa đạt năng suất 42 tạ/ha
Có 20 thửa đạt năng suất 44 tạ/ha
a) Dấu hiệu ở đây là gì? Hãy lập bảng "tần số"
b) Biểu diễn bằng biểu đồ đoạn thẳng.
c) Tìm mốt của dấu hiệu.
d) Tính số trung bình cộng của dấu hiệu.
Lời giải:
a) - Dấu hiệu: Sản lượng vụ mùa của mỗi thửa ruộng
- Bảng tần số:
| Năng suất (tạ/ha) | 31 | 34 | 35 | 36 | 38 | 40 | 42 | 44 | |
| Tần số | 10 | 20 | 30 | 15 | 10 | 10 | 5 | 20 | N = 120 |
b) Biểu đồ đoạn thẳng
c) Mốt là giá trị có tần số lớn nhất trong bảng tần số.
Vậy mốt của dấu hiệu là 35 tạ/ha.
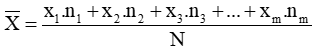
d) Số trung bình cộng của dấu hiệu là:
(tạ/ ha).
Kiến thức áp dụng
+ Dấu hiệu: Nội dung điều tra
+ Mốt là giá trị có tần số lớn nhất trong bảng tần số.
+ Số trung bình cộng :
trong đó x1, x2, x3,...xM là các giá trị của dấu hiệu; n1, n2, n3,...nM là các tần số tương ứng.
Các bài giải bài tập Toán 7 Bài ôn cuối năm phần Đại số khác:
- Bài tập Ôn cuối năm (Phần Đại số - Phần Hình học)
Bài 1 (trang 88 SGK Toán 7 tập 2): Thực hiện các phép tính: a) 9,6.2 ....
Bài 2 (trang 89 SGK Toán 7 tập 2): Với giá trị nào của x thì ta có: a) | x | + x = 0 ...
Bài 3 (trang 89 SGK Toán 7 tập 2): Từ tỉ lệ thức a/b = c/d ...
Bài 6 (trang 89 SGK Toán 7 tập 2): Biết đồ thị của hàm số y = ax đi qua điểm M(–2 ;–3). Hãy tìm a.
Bài 9 (trang 90 SGK Toán 7 tập 2): Tính giá trị của biểu thức: 2,7c2 - 3,5c lần lượt tại ...
Bài 10 (trang 90 SGK Toán 7 tập 2): Cho các đa thức: A = x2 - 2x - ...
Bài 11 (trang 90 SGK Toán 7 tập 2): Tìm x, biết: a) (2x - 3) - ...
Bài 13 (trang 90 SGK Toán 7 tập 2): a) Tìm nghiệm của đa thức: P(x) = 3 – 2x. b) ...
Lời giải bài tập lớp 7 sách mới:
- Giải bài tập Lớp 7 Kết nối tri thức
- Giải bài tập Lớp 7 Chân trời sáng tạo
- Giải bài tập Lớp 7 Cánh diều
Tủ sách VIETJACK shopee lớp 6-8 (2025):
Đã có app VietJack trên điện thoại, giải bài tập SGK, SBT Soạn văn, Văn mẫu, Thi online, Bài giảng....miễn phí. Tải ngay ứng dụng trên Android và iOS.
Theo dõi chúng tôi miễn phí trên mạng xã hội facebook và youtube:Loạt bài Giải bài tập Toán lớp 7 | Để học tốt Toán 7 của chúng tôi được biên soạn bám sát theo chương trình Sách giáo khoa Toán 7 (Tập 1 & Tập 2) và một phần dựa trên quyển sách Giải bài tập Toán 7 và Để học tốt Toán lớp 7.
Nếu thấy hay, hãy động viên và chia sẻ nhé! Các bình luận không phù hợp với nội quy bình luận trang web sẽ bị cấm bình luận vĩnh viễn.
- Giải Tiếng Anh 7 Global Success
- Giải Tiếng Anh 7 Friends plus
- Giải sgk Tiếng Anh 7 Smart World
- Giải Tiếng Anh 7 Explore English
- Lớp 7 - Kết nối tri thức
- Soạn văn 7 (hay nhất) - KNTT
- Soạn văn 7 (ngắn nhất) - KNTT
- Giải sgk Toán 7 - KNTT
- Giải sgk Khoa học tự nhiên 7 - KNTT
- Giải sgk Lịch Sử 7 - KNTT
- Giải sgk Địa Lí 7 - KNTT
- Giải sgk Giáo dục công dân 7 - KNTT
- Giải sgk Tin học 7 - KNTT
- Giải sgk Công nghệ 7 - KNTT
- Giải sgk Hoạt động trải nghiệm 7 - KNTT
- Giải sgk Âm nhạc 7 - KNTT
- Lớp 7 - Chân trời sáng tạo
- Soạn văn 7 (hay nhất) - CTST
- Soạn văn 7 (ngắn nhất) - CTST
- Giải sgk Toán 7 - CTST
- Giải sgk Khoa học tự nhiên 7 - CTST
- Giải sgk Lịch Sử 7 - CTST
- Giải sgk Địa Lí 7 - CTST
- Giải sgk Giáo dục công dân 7 - CTST
- Giải sgk Công nghệ 7 - CTST
- Giải sgk Tin học 7 - CTST
- Giải sgk Hoạt động trải nghiệm 7 - CTST
- Giải sgk Âm nhạc 7 - CTST
- Lớp 7 - Cánh diều
- Soạn văn 7 (hay nhất) - Cánh diều
- Soạn văn 7 (ngắn nhất) - Cánh diều
- Giải sgk Toán 7 - Cánh diều
- Giải sgk Khoa học tự nhiên 7 - Cánh diều
- Giải sgk Lịch Sử 7 - Cánh diều
- Giải sgk Địa Lí 7 - Cánh diều
- Giải sgk Giáo dục công dân 7 - Cánh diều
- Giải sgk Công nghệ 7 - Cánh diều
- Giải sgk Tin học 7 - Cánh diều
- Giải sgk Hoạt động trải nghiệm 7 - Cánh diều
- Giải sgk Âm nhạc 7 - Cánh diều


Giải bài tập SGK & SBT
Tài liệu giáo viên
Sách
Khóa học
Thi online
Hỏi đáp

