Giải Toán 7 trang 49 Kết nối tri thức, Chân trời sáng tạo, Cánh diều
Trọn bộ lời giải bài tập Toán 7 trang 49 Kết nối tri thức, Chân trời sáng tạo, Cánh diều sẽ giúp học sinh dễ dàng làm bài tập Toán lớp 7 trang 49. Bạn vào trang hoặc Xem lời giải để theo dõi chi tiết.
Giải Toán 7 trang 49 Kết nối tri thức, Chân trời sáng tạo, Cánh diều
- Toán lớp 7 trang 49 Tập 1 (sách mới):
- Toán lớp 7 trang 49 Tập 2 (sách mới):
Lưu trữ: Giải Toán 7 trang 49 (sách cũ)
Video Bài 98 trang 49 SGK Toán 7 tập 1 - Cô Nguyễn Hà Nguyên (Giáo viên VietJack)
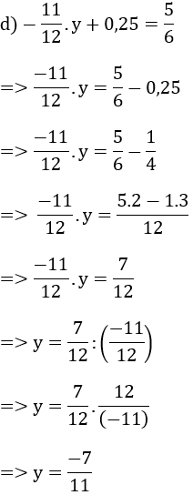
Bài 98 (trang 49 SGK Toán 7 Tập 1): Tìm y biết:
Lời giải:
Kiến thức áp dụng
Áp dụng cách tìm thừa số chưa biết; số bị chia
Áp dụng các qui tắc cộng, trừ, nhân chia số hữu tỉ
Tham khảo lời giải các bài tập Toán 7 Tập 1 khác:
- Câu hỏi ôn tập chương 1 Đại Số (trang 46 SGK Toán 7 tập 1): Nêu ba cách viết của số hữu tỉ... 
- Bài 96 (trang 48 SGK Toán 7 Tập 1): Thực hiện các phép tính ... 
- Bài 99 (trang 49 SGK Toán 7 Tập 1): Tính giá trị của các biểu thức sau: ... 
- Bài 100 (trang 49 SGK Toán 7 Tập 1): Mẹ bạn Minh gửi tiết kiệm ... 
Mục lục giải toán 7 tập 1 theo chương:
Lời giải bài tập lớp 7 sách mới:
- Giải bài tập Lớp 7 Kết nối tri thức
- Giải bài tập Lớp 7 Chân trời sáng tạo
- Giải bài tập Lớp 7 Cánh diều
Tủ sách VIETJACK shopee lớp 6-8 (2025):
Đã có app VietJack trên điện thoại, giải bài tập SGK, SBT Soạn văn, Văn mẫu, Thi online, Bài giảng....miễn phí. Tải ngay ứng dụng trên Android và iOS.
Theo dõi chúng tôi miễn phí trên mạng xã hội facebook và youtube:Loạt bài Giải bài tập Toán lớp 7 | Để học tốt Toán 7 của chúng tôi được biên soạn bám sát theo chương trình Sách giáo khoa Toán 7 (Tập 1 & Tập 2) và một phần dựa trên quyển sách Giải bài tập Toán 7 và Để học tốt Toán lớp 7.
Nếu thấy hay, hãy động viên và chia sẻ nhé! Các bình luận không phù hợp với nội quy bình luận trang web sẽ bị cấm bình luận vĩnh viễn.
- Giải Tiếng Anh 7 Global Success
- Giải Tiếng Anh 7 Friends plus
- Giải sgk Tiếng Anh 7 Smart World
- Giải Tiếng Anh 7 Explore English
- Lớp 7 - Kết nối tri thức
- Soạn văn 7 (hay nhất) - KNTT
- Soạn văn 7 (ngắn nhất) - KNTT
- Giải sgk Toán 7 - KNTT
- Giải sgk Khoa học tự nhiên 7 - KNTT
- Giải sgk Lịch Sử 7 - KNTT
- Giải sgk Địa Lí 7 - KNTT
- Giải sgk Giáo dục công dân 7 - KNTT
- Giải sgk Tin học 7 - KNTT
- Giải sgk Công nghệ 7 - KNTT
- Giải sgk Hoạt động trải nghiệm 7 - KNTT
- Giải sgk Âm nhạc 7 - KNTT
- Lớp 7 - Chân trời sáng tạo
- Soạn văn 7 (hay nhất) - CTST
- Soạn văn 7 (ngắn nhất) - CTST
- Giải sgk Toán 7 - CTST
- Giải sgk Khoa học tự nhiên 7 - CTST
- Giải sgk Lịch Sử 7 - CTST
- Giải sgk Địa Lí 7 - CTST
- Giải sgk Giáo dục công dân 7 - CTST
- Giải sgk Công nghệ 7 - CTST
- Giải sgk Tin học 7 - CTST
- Giải sgk Hoạt động trải nghiệm 7 - CTST
- Giải sgk Âm nhạc 7 - CTST
- Lớp 7 - Cánh diều
- Soạn văn 7 (hay nhất) - Cánh diều
- Soạn văn 7 (ngắn nhất) - Cánh diều
- Giải sgk Toán 7 - Cánh diều
- Giải sgk Khoa học tự nhiên 7 - Cánh diều
- Giải sgk Lịch Sử 7 - Cánh diều
- Giải sgk Địa Lí 7 - Cánh diều
- Giải sgk Giáo dục công dân 7 - Cánh diều
- Giải sgk Công nghệ 7 - Cánh diều
- Giải sgk Tin học 7 - Cánh diều
- Giải sgk Hoạt động trải nghiệm 7 - Cánh diều
- Giải sgk Âm nhạc 7 - Cánh diều
 
    
	                 
	                 
	                 
	                 
	                 
	                

 
 Giải bài tập SGK & SBT
		                    Giải bài tập SGK & SBT
		                 Tài liệu giáo viên
		                    Tài liệu giáo viên
		                 Sách
		                    Sách
		                 Khóa học
		                    Khóa học
		                 Thi online
		                    Thi online
		                 Hỏi đáp
		                    Hỏi đáp
		                
