Trả lời câu hỏi Toán 7 Tập 2 Bài 5 trang 38
Bài 5: Đa thức
Video Trả lời câu hỏi Toán 7 Tập 2 Bài 5 trang 38 - Cô Nguyễn Hà Nguyên (Giáo viên VietJack)
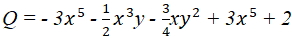
Trả lời câu hỏi Toán 7 Tập 2 Bài 5 trang 38: Tìm bậc của đa thức
Lời giải
Các bài giải Toán 7 Tập 2 khác:
Trả lời câu hỏi Toán 7 Tập 2 Bài 5 trang 37 : Hãy viết một đa thức và chỉ rõ các hạng tử ....
Trả lời câu hỏi Toán 7 Tập 2 Bài 5 trang 38 : Tìm bậc của đa thức ....
Bài 25 (trang 38 SGK Toán 7 tập 2): Tìm bậc của mỗi đa thức sau: a) ...
Bài 26 (trang 38 SGK Toán 7 tập 2): Thu gọn đa thức sau: Q = x2 + y2 + z2 + ...
Bài 27 (trang 38 SGK Toán 7 tập 2): Thu gọn rồi tính giá trị của đa thức P tại x = 0,5 và y = 1: ...
Bài 28 (trang 38 SGK Toán 7 tập 2): Ai đúng? Ai sai? Bạn Đức đố: "Bậc của đa thức ...
Lời giải bài tập lớp 7 sách mới:
- Giải bài tập Lớp 7 Kết nối tri thức
- Giải bài tập Lớp 7 Chân trời sáng tạo
- Giải bài tập Lớp 7 Cánh diều
Đã có app VietJack trên điện thoại, giải bài tập SGK, SBT Soạn văn, Văn mẫu, Thi online, Bài giảng....miễn phí. Tải ngay ứng dụng trên Android và iOS.
Theo dõi chúng tôi miễn phí trên mạng xã hội facebook và youtube:Loạt bài Giải bài tập Toán lớp 7 | Để học tốt Toán 7 của chúng tôi được biên soạn bám sát theo chương trình Sách giáo khoa Toán 7 (Tập 1 & Tập 2) và một phần dựa trên quyển sách Giải bài tập Toán 7 và Để học tốt Toán lớp 7.
Nếu thấy hay, hãy động viên và chia sẻ nhé! Các bình luận không phù hợp với nội quy bình luận trang web sẽ bị cấm bình luận vĩnh viễn.
- Giải Tiếng Anh 7 Global Success
- Giải Tiếng Anh 7 Friends plus
- Giải sgk Tiếng Anh 7 Smart World
- Giải Tiếng Anh 7 Explore English
- Lớp 7 - Kết nối tri thức
- Soạn văn 7 (hay nhất) - KNTT
- Soạn văn 7 (ngắn nhất) - KNTT
- Giải sgk Toán 7 - KNTT
- Giải sgk Khoa học tự nhiên 7 - KNTT
- Giải sgk Lịch Sử 7 - KNTT
- Giải sgk Địa Lí 7 - KNTT
- Giải sgk Giáo dục công dân 7 - KNTT
- Giải sgk Tin học 7 - KNTT
- Giải sgk Công nghệ 7 - KNTT
- Giải sgk Hoạt động trải nghiệm 7 - KNTT
- Giải sgk Âm nhạc 7 - KNTT
- Lớp 7 - Chân trời sáng tạo
- Soạn văn 7 (hay nhất) - CTST
- Soạn văn 7 (ngắn nhất) - CTST
- Giải sgk Toán 7 - CTST
- Giải sgk Khoa học tự nhiên 7 - CTST
- Giải sgk Lịch Sử 7 - CTST
- Giải sgk Địa Lí 7 - CTST
- Giải sgk Giáo dục công dân 7 - CTST
- Giải sgk Công nghệ 7 - CTST
- Giải sgk Tin học 7 - CTST
- Giải sgk Hoạt động trải nghiệm 7 - CTST
- Giải sgk Âm nhạc 7 - CTST
- Lớp 7 - Cánh diều
- Soạn văn 7 (hay nhất) - Cánh diều
- Soạn văn 7 (ngắn nhất) - Cánh diều
- Giải sgk Toán 7 - Cánh diều
- Giải sgk Khoa học tự nhiên 7 - Cánh diều
- Giải sgk Lịch Sử 7 - Cánh diều
- Giải sgk Địa Lí 7 - Cánh diều
- Giải sgk Giáo dục công dân 7 - Cánh diều
- Giải sgk Công nghệ 7 - Cánh diều
- Giải sgk Tin học 7 - Cánh diều
- Giải sgk Hoạt động trải nghiệm 7 - Cánh diều
- Giải sgk Âm nhạc 7 - Cánh diều


Giải bài tập SGK & SBT
Tài liệu giáo viên
Sách
Khóa học
Thi online
Hỏi đáp

