Bài 33 trang 23 SGK Toán 8 Tập 2
Bài 5: Phương trình chứa ẩn ở mẫu
Luyện tập (trang 22-23 sgk Toán 8 Tập 2)
Video Bài 33 trang 23 SGK Toán 8 tập 2 - Cô Nguyễn Thị Ngọc Ánh (Giáo viên VietJack)
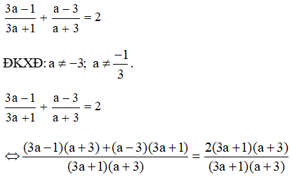
Bài 33 (trang 23 SGK Toán 8 tập 2): Tìm các giá trị của a sao cho mỗi biểu thức sau có giá trị bằng 2:
Lời giải:
a) Biểu thức có giá trị bằng 2 thì:
Suy ra: (3a – 1)(a + 3) + (a – 3)(3a + 1) = 2(3a + 1)(a + 3)
⇔ 3a2 + 9a – a – 3 + 3a2 + a – 9a – 3 = 2(3a2 + 9a + a + 3)
⇔ 6a2– 6 = 6a2 + 18a + 2a + 6
⇔ 6a2– 6 − 6a2 − 18a − 2a – 6 = 0
⇔ −20a – 12 = 0
⇔ −20a = 12
⇔ a =
(thỏa mãn điều kiện)
Vậy với a =
thì biểu thức đã cho có giá trị bằng 2.
b) Để biểu thức có giá trị bằng 2 thì
ĐKXĐ: a ≠ -3
Ta có:

Suy ra: 10.4(a + 3) – 3(3a – 1) – 2.(7a + 2) = 2.12(a + 3)
⇔ 40(a + 3) - 3(3a - 1) - 2(7a + 2) = 24.(a + 3)
⇔ 40a + 120 – 9a + 3 – 14a – 4 = 24a + 72
⇔ 17a + 119 = 24a + 72
⇔ 17a – 24a = 72 - 119
⇔ -7a = - 47
⇔ a =
(thỏa mãn điều kiện)
Vậy với a =
thì biểu thức đã cho có giá trị bằng 2.
Tham khảo các bài giải bài tập Toán 8 Bài 5 khác:
Bài 27 (trang 22 SGK Toán 8 tập 2): Giải các phương trình: ...
Bài 28 (trang 22 SGK Toán 8 tập 2): Giải các phương trình: ...
Bài 29 (trang 22-23 SGK Toán 8 tập 2): Bạn Sơn giải phương trình ...
Bài 30 (trang 23 SGK Toán 8 tập 2): Giải các phương trình: ...
Bài 31 (trang 23 SGK Toán 8 tập 2): Giải các phương trình: ...
Bài 32 (trang 23 SGK Toán 8 tập 2): Giải các phương trình: ...
Xem thêm các bài giải bài tập Toán lớp 8 hay, chi tiết khác:
- Luyện tập (trang 22-23)
- Bài 6: Giải bài toán bằng cách lập phương trình
- Bài 7: Giải bài toán bằng cách lập phương trình (tiếp) - Luyện tập (trang 31-32)
- Luyện tập (trang 31-32)
- Ôn tập chương 3 (Câu hỏi - Bài tập)
Xem thêm các loạt bài Để học tốt Toán lớp 8 hay khác:
Tủ sách VIETJACK shopee lớp 6-8 (2025):
Đã có app VietJack trên điện thoại, giải bài tập SGK, SBT Soạn văn, Văn mẫu, Thi online, Bài giảng....miễn phí. Tải ngay ứng dụng trên Android và iOS.
Theo dõi chúng tôi miễn phí trên mạng xã hội facebook và youtube:Loạt bài Giải bài tập Toán 8 Tập 1 & Tập 2 của chúng tôi được biên soạn bám sát sgk Toán 8 (NXB Giáo dục).
Nếu thấy hay, hãy động viên và chia sẻ nhé! Các bình luận không phù hợp với nội quy bình luận trang web sẽ bị cấm bình luận vĩnh viễn.
- Giải Tiếng Anh 8 Global Success
- Giải sgk Tiếng Anh 8 Smart World
- Giải sgk Tiếng Anh 8 Friends plus
- Lớp 8 - Kết nối tri thức
- Soạn văn 8 (hay nhất) - KNTT
- Soạn văn 8 (ngắn nhất) KNTT
- Giải sgk Toán 8 - KNTT
- Giải sgk Khoa học tự nhiên 8 - KNTT
- Giải sgk Lịch Sử 8 - KNTT
- Giải sgk Địa Lí 8 - KNTT
- Giải sgk Giáo dục công dân 8 - KNTT
- Giải sgk Tin học 8 - KNTT
- Giải sgk Công nghệ 8 - KNTT
- Giải sgk Hoạt động trải nghiệm 8 - KNTT
- Giải sgk Âm nhạc 8 - KNTT
- Lớp 8 - Chân trời sáng tạo
- Soạn văn 8 (hay nhất) - CTST
- Soạn văn 8 (ngắn nhất) - CTST
- Giải sgk Toán 8 - CTST
- Giải sgk Khoa học tự nhiên 8 - CTST
- Giải sgk Lịch Sử 8 - CTST
- Giải sgk Địa Lí 8 - CTST
- Giải sgk Giáo dục công dân 8 - CTST
- Giải sgk Tin học 8 - CTST
- Giải sgk Công nghệ 8 - CTST
- Giải sgk Hoạt động trải nghiệm 8 - CTST
- Giải sgk Âm nhạc 8 - CTST
- Lớp 8 - Cánh diều
- Soạn văn 8 Cánh diều (hay nhất)
- Soạn văn 8 Cánh diều (ngắn nhất)
- Giải sgk Toán 8 - Cánh diều
- Giải sgk Khoa học tự nhiên 8 - Cánh diều
- Giải sgk Lịch Sử 8 - Cánh diều
- Giải sgk Địa Lí 8 - Cánh diều
- Giải sgk Giáo dục công dân 8 - Cánh diều
- Giải sgk Tin học 8 - Cánh diều
- Giải sgk Công nghệ 8 - Cánh diều
- Giải sgk Hoạt động trải nghiệm 8 - Cánh diều
- Giải sgk Âm nhạc 8 - Cánh diều


Giải bài tập SGK & SBT
Tài liệu giáo viên
Sách
Khóa học
Thi online
Hỏi đáp

