Bài 46 trang 31 SGK Toán 8 Tập 2
Bài 7: Giải bài toán bằng cách lập phương trình (tiếp)
Luyện tập (trang 31-32 sgk Toán 8 Tập 2)
Video Bài 46 trang 31-32 SGK Toán 8 tập 2 - Cô Nguyễn Thị Ngọc Ánh (Giáo viên VietJack)
Bài 46 (trang 31-32 SGK Toán 8 tập 2): Một người lái ô tô dự định đi từ A đến B với vận tốc 48km/h. Nhưng sau khi đi được 1 giờ với vận tốc ấy, ô tô bị tàu hỏa chắn đường trong 10 phút. Do đó, để kịp đến B đúng thời gian đã định, người đó phải tăng vận tốc thêm 6km/h. Tính quãng đường AB.
Lời giải:
* Phân tích:
Ta luôn có: Quãng đường = vận tốc . thời gian
Gọi C là địa điểm ô tô gặp tàu hỏa.
Quãng đường AC ô tô đi với vận tốc 48km/h trong 1h nên SAC = 48.1 = 48km.
Xét trên quãng đường BC, để đến B đúng thời gian đã định ô tô đi với vận tốc 48 + 6 = 54 (km/h).
Vì ô tô đến B đúng thời gian đã định nên thời gian thực tế ô tô đi từ B đến C ít hơn thời gian dự định là 10 phút =
giờ (là thời gian chờ tàu hỏa).
| Quãng đường BC | Vận tốc | Thời gian | |
| Dự tính | x | 48 | |
| Thực tế | x | 48 + 6 = 54 |
Ta có phương trình:
* Giải:
Gọi C là địa điểm ô tô gặp tàu hỏa.
Quãng đường AC ô tô đi với vận tốc 48km/h và đi trong 1 giờ
⇒ SAC = 48.1 = 48 (km).
Gọi quãng đường BC dài là x (km; x > 0).
Vận tốc dự tính đi trên BC là: 48 km/h
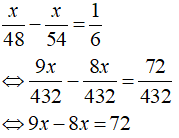
⇒ Thời gian dự tính đi quãng đường BC hết:
(giờ).
Thực tế ô tô đi quãng đường BC với vận tốc bằng 48 + 6 = 54 (km/h).
⇒ Thời gian thực tế ô tô đi quãng đường BC là:
(giờ).
Thời gian chênh nhau giữa dự tính và thực tế chính là thời gian ô tô đợi tàu hỏa là 10 phút =
(giờ).
Do đó ta có phương trình:
⇔ x = 72 (thỏa mãn) nên quãng đường BC là 72 (km).
Vậy quãng đường AB là:
SAB = SAC + SBC = 48 + 72 = 120 (km).
Kiến thức áp dụng
Các bước giải bài toán bằng cách lập phương trình:
Bước 1: Lập phương trình
+ Chọn ẩn và đặt điều kiện cho ẩn (thường chọn đại lượng đề bài yêu cầu làm ẩn)
+ Biểu diễn tất cả các đại lượng khác qua ẩn vừa chọn.
+ Lập phương trình biểu thị mối quan hệ giữa các đại lượng.
Bước 2: Giải phương trình
Bước 3: Đối chiếu điều kiện rồi kết luận.
Tham khảo các bài giải bài tập Toán 8 Bài 7 khác:
Bài 43 (trang 31 SGK Toán 8 tập 2): Tìm phân số có đồng thời các tính chất sau: ...
Bài 44 (trang 31 SGK Toán 8 tập 2): Điểm kiểm tra Toán của một lớp được cho trong bảng dưới đây: ...
Xem thêm các bài giải bài tập Toán lớp 8 hay, chi tiết khác:
- Luyện tập (trang 31-32)
- Ôn tập chương 3 (Câu hỏi - Bài tập)
- Bài 1: Liên hệ giữa thứ tự và phép cộng
- Bài 2: Liên hệ giữa thứ tự và phép nhân - Luyện tập (trang 40)
- Luyện tập (trang 40)
Xem thêm các loạt bài Để học tốt Toán lớp 8 hay khác:
Tủ sách VIETJACK shopee lớp 6-8 (2025):
Đã có app VietJack trên điện thoại, giải bài tập SGK, SBT Soạn văn, Văn mẫu, Thi online, Bài giảng....miễn phí. Tải ngay ứng dụng trên Android và iOS.
Theo dõi chúng tôi miễn phí trên mạng xã hội facebook và youtube:Loạt bài Giải bài tập Toán 8 Tập 1 & Tập 2 của chúng tôi được biên soạn bám sát sgk Toán 8 (NXB Giáo dục).
Nếu thấy hay, hãy động viên và chia sẻ nhé! Các bình luận không phù hợp với nội quy bình luận trang web sẽ bị cấm bình luận vĩnh viễn.
- Giải Tiếng Anh 8 Global Success
- Giải sgk Tiếng Anh 8 Smart World
- Giải sgk Tiếng Anh 8 Friends plus
- Lớp 8 - Kết nối tri thức
- Soạn văn 8 (hay nhất) - KNTT
- Soạn văn 8 (ngắn nhất) KNTT
- Giải sgk Toán 8 - KNTT
- Giải sgk Khoa học tự nhiên 8 - KNTT
- Giải sgk Lịch Sử 8 - KNTT
- Giải sgk Địa Lí 8 - KNTT
- Giải sgk Giáo dục công dân 8 - KNTT
- Giải sgk Tin học 8 - KNTT
- Giải sgk Công nghệ 8 - KNTT
- Giải sgk Hoạt động trải nghiệm 8 - KNTT
- Giải sgk Âm nhạc 8 - KNTT
- Lớp 8 - Chân trời sáng tạo
- Soạn văn 8 (hay nhất) - CTST
- Soạn văn 8 (ngắn nhất) - CTST
- Giải sgk Toán 8 - CTST
- Giải sgk Khoa học tự nhiên 8 - CTST
- Giải sgk Lịch Sử 8 - CTST
- Giải sgk Địa Lí 8 - CTST
- Giải sgk Giáo dục công dân 8 - CTST
- Giải sgk Tin học 8 - CTST
- Giải sgk Công nghệ 8 - CTST
- Giải sgk Hoạt động trải nghiệm 8 - CTST
- Giải sgk Âm nhạc 8 - CTST
- Lớp 8 - Cánh diều
- Soạn văn 8 Cánh diều (hay nhất)
- Soạn văn 8 Cánh diều (ngắn nhất)
- Giải sgk Toán 8 - Cánh diều
- Giải sgk Khoa học tự nhiên 8 - Cánh diều
- Giải sgk Lịch Sử 8 - Cánh diều
- Giải sgk Địa Lí 8 - Cánh diều
- Giải sgk Giáo dục công dân 8 - Cánh diều
- Giải sgk Tin học 8 - Cánh diều
- Giải sgk Công nghệ 8 - Cánh diều
- Giải sgk Hoạt động trải nghiệm 8 - Cánh diều
- Giải sgk Âm nhạc 8 - Cánh diều


Giải bài tập SGK & SBT
Tài liệu giáo viên
Sách
Khóa học
Thi online
Hỏi đáp

