Giải Toán 8 trang 58 Kết nối tri thức, Chân trời sáng tạo, Cánh diều
Trọn bộ lời giải bài tập Toán 8 trang 58 Kết nối tri thức, Chân trời sáng tạo, Cánh diều sẽ giúp học sinh lớp 8 dễ dàng làm bài tập Toán 8 trang 58. Bạn vào trang hoặc Xem lời giải để theo dõi chi tiết.
Giải Toán 8 trang 58 Kết nối tri thức, Chân trời sáng tạo, Cánh diều
- Toán lớp 8 trang 58 Tập 1 (sách mới):
- Toán lớp 8 trang 58 Tập 2 (sách mới):
Lưu trữ: Giải Toán 8 trang 58 (sách cũ)
Video Bài 50 trang 58 SGK Toán 8 tập 1 - Cô Nguyễn Thị Ngọc Ánh (Giáo viên VietJack)
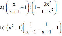
Bài 50 (trang 58 SGK Toán 8 Tập 1): Thực hiện các phép tính:
Lời giải:
Kiến thức áp dụng
Tính chất phân phối phép nhân với phép cộng:
Các bài giải bài tập Toán 8 Bài 9 khác
Bài 46 (trang 57 SGK Toán 8 Tập 1): Biến đổi mỗi biểu thức sau thành ...
Bài 47 (trang 57 SGK Toán 8 Tập 1): Với giá trị nào của x thì giá trị ...
Bài 50 (trang 58 SGK Toán 8 Tập 1): Thực hiện các phép tính ...
Bài 51 (trang 58 SGK Toán 8 Tập 1): Làm các phép tính sau ...
Bài 53 (trang 58 SGK Toán 8 Tập 1): a) Biến đổi mỗi biểu thức ...
Bài 54 (trang 59 SGK Toán 8 Tập 1): Tìm các giá trị của x ...
Xem thêm các bài giải bài tập Toán lớp 8 hay, chi tiết khác:
- Luyện tập (trang 58-59)
- Ôn tập chương 2
- Bài 1: Mở đầu về phương trình
- Bài 2: Phương trình bậc nhất một ẩn và cách giải
- Bài 3: Phương trình đưa được về dạng ax + b = 0 - Luyện tập (trang 13-14)
Xem thêm các loạt bài Để học tốt Toán lớp 8 hay khác:
Tủ sách VIETJACK shopee lớp 6-8 (2025):
Đã có app VietJack trên điện thoại, giải bài tập SGK, SBT Soạn văn, Văn mẫu, Thi online, Bài giảng....miễn phí. Tải ngay ứng dụng trên Android và iOS.
Theo dõi chúng tôi miễn phí trên mạng xã hội facebook và youtube:Loạt bài Giải bài tập Toán 8 Tập 1 & Tập 2 của chúng tôi được biên soạn bám sát sgk Toán 8 (NXB Giáo dục).
Nếu thấy hay, hãy động viên và chia sẻ nhé! Các bình luận không phù hợp với nội quy bình luận trang web sẽ bị cấm bình luận vĩnh viễn.
- Giải Tiếng Anh 8 Global Success
- Giải sgk Tiếng Anh 8 Smart World
- Giải sgk Tiếng Anh 8 Friends plus
- Lớp 8 - Kết nối tri thức
- Soạn văn 8 (hay nhất) - KNTT
- Soạn văn 8 (ngắn nhất) KNTT
- Giải sgk Toán 8 - KNTT
- Giải sgk Khoa học tự nhiên 8 - KNTT
- Giải sgk Lịch Sử 8 - KNTT
- Giải sgk Địa Lí 8 - KNTT
- Giải sgk Giáo dục công dân 8 - KNTT
- Giải sgk Tin học 8 - KNTT
- Giải sgk Công nghệ 8 - KNTT
- Giải sgk Hoạt động trải nghiệm 8 - KNTT
- Giải sgk Âm nhạc 8 - KNTT
- Lớp 8 - Chân trời sáng tạo
- Soạn văn 8 (hay nhất) - CTST
- Soạn văn 8 (ngắn nhất) - CTST
- Giải sgk Toán 8 - CTST
- Giải sgk Khoa học tự nhiên 8 - CTST
- Giải sgk Lịch Sử 8 - CTST
- Giải sgk Địa Lí 8 - CTST
- Giải sgk Giáo dục công dân 8 - CTST
- Giải sgk Tin học 8 - CTST
- Giải sgk Công nghệ 8 - CTST
- Giải sgk Hoạt động trải nghiệm 8 - CTST
- Giải sgk Âm nhạc 8 - CTST
- Lớp 8 - Cánh diều
- Soạn văn 8 Cánh diều (hay nhất)
- Soạn văn 8 Cánh diều (ngắn nhất)
- Giải sgk Toán 8 - Cánh diều
- Giải sgk Khoa học tự nhiên 8 - Cánh diều
- Giải sgk Lịch Sử 8 - Cánh diều
- Giải sgk Địa Lí 8 - Cánh diều
- Giải sgk Giáo dục công dân 8 - Cánh diều
- Giải sgk Tin học 8 - Cánh diều
- Giải sgk Công nghệ 8 - Cánh diều
- Giải sgk Hoạt động trải nghiệm 8 - Cánh diều
- Giải sgk Âm nhạc 8 - Cánh diều


Giải bài tập SGK & SBT
Tài liệu giáo viên
Sách
Khóa học
Thi online
Hỏi đáp

