Giải Toán 8 trang 61 Kết nối tri thức, Chân trời sáng tạo, Cánh diều
Trọn bộ lời giải bài tập Toán 8 trang 61 Kết nối tri thức, Chân trời sáng tạo, Cánh diều sẽ giúp học sinh lớp 8 dễ dàng làm bài tập Toán 8 trang 61. Bạn vào trang hoặc Xem lời giải để theo dõi chi tiết.
Giải Toán 8 trang 61 Kết nối tri thức, Chân trời sáng tạo, Cánh diều
- Toán lớp 8 trang 61 Tập 1 (sách mới):
- Toán lớp 8 trang 61 Tập 2 (sách mới):
Lưu trữ: Giải Toán 8 trang 61 (sách cũ)
Video Bài 57 trang 61 SGK Toán 8 tập 1 - Cô Nguyễn Thị Ngọc Ánh (Giáo viên VietJack)
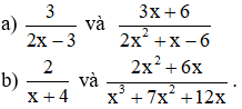
Bài 57 (trang 61 SGK Toán 8 Tập 1): Chứng tỏ mỗi cặp phân thức sau bằng nhau:
Lời giải:
a) - Cách 1: Dùng định nghĩa hai phân thức bằng nhau:
3(2x2 + x – 6) = 6x2 + 3x – 18
(2x – 3)(3x + 6) = 2x.(3x + 6) – 3.(3x + 6) = 6x2 + 12x – 9x – 18 = 6x2 + 3x – 18
⇒ 3(2x2 + x – 6) = (2x – 3)(3x + 6)
- Cách 2: Rút gọn phân thức:
b)- Cách 1: Dùng định nghĩa hai phân thức bằng nhau:
2(x3 + 7x2 + 12x) = 2x3 + 14x2 + 24x
(x + 4)(2x2 + 6x) = 2x3 + 6x2 + 8x2 + 24x = 2x3 + 14x2 + 24x
⇒ 2(x3 + 7x2 + 12x) = (x + 4)(2x2 + 6x)
- Cách 2: Rút gọn phân thức:
Các bài giải bài tập Toán 8 Bài Ôn tập chương 2 khác
Bài 57 (trang 61 SGK Toán 8 Tập 1): Chứng tỏ mỗi cặp phân thức ...
Bài 58 (trang 62 SGK Toán 8 Tập 1): Thực hiện các phép tính sau ...
Bài 63 (trang 62 SGK Toán 8 Tập 1): Viết mỗi phân thức sau ...
Bài 64 (trang 62 SGK Toán 8 Tập 1): Tính giá trị của phân thức ...
Xem thêm các bài giải bài tập Toán lớp 8 hay, chi tiết khác:
- Ôn tập chương 2
- Bài 1: Mở đầu về phương trình
- Bài 2: Phương trình bậc nhất một ẩn và cách giải
- Bài 3: Phương trình đưa được về dạng ax + b = 0 - Luyện tập (trang 13-14)
- Luyện tập (trang 13-14)
Xem thêm các loạt bài Để học tốt Toán lớp 8 hay khác:
Tủ sách VIETJACK shopee lớp 6-8 (2025):
Đã có app VietJack trên điện thoại, giải bài tập SGK, SBT Soạn văn, Văn mẫu, Thi online, Bài giảng....miễn phí. Tải ngay ứng dụng trên Android và iOS.
Theo dõi chúng tôi miễn phí trên mạng xã hội facebook và youtube:Loạt bài Giải bài tập Toán 8 Tập 1 & Tập 2 của chúng tôi được biên soạn bám sát sgk Toán 8 (NXB Giáo dục).
Nếu thấy hay, hãy động viên và chia sẻ nhé! Các bình luận không phù hợp với nội quy bình luận trang web sẽ bị cấm bình luận vĩnh viễn.
- Giải Tiếng Anh 8 Global Success
- Giải sgk Tiếng Anh 8 Smart World
- Giải sgk Tiếng Anh 8 Friends plus
- Lớp 8 - Kết nối tri thức
- Soạn văn 8 (hay nhất) - KNTT
- Soạn văn 8 (ngắn nhất) KNTT
- Giải sgk Toán 8 - KNTT
- Giải sgk Khoa học tự nhiên 8 - KNTT
- Giải sgk Lịch Sử 8 - KNTT
- Giải sgk Địa Lí 8 - KNTT
- Giải sgk Giáo dục công dân 8 - KNTT
- Giải sgk Tin học 8 - KNTT
- Giải sgk Công nghệ 8 - KNTT
- Giải sgk Hoạt động trải nghiệm 8 - KNTT
- Giải sgk Âm nhạc 8 - KNTT
- Lớp 8 - Chân trời sáng tạo
- Soạn văn 8 (hay nhất) - CTST
- Soạn văn 8 (ngắn nhất) - CTST
- Giải sgk Toán 8 - CTST
- Giải sgk Khoa học tự nhiên 8 - CTST
- Giải sgk Lịch Sử 8 - CTST
- Giải sgk Địa Lí 8 - CTST
- Giải sgk Giáo dục công dân 8 - CTST
- Giải sgk Tin học 8 - CTST
- Giải sgk Công nghệ 8 - CTST
- Giải sgk Hoạt động trải nghiệm 8 - CTST
- Giải sgk Âm nhạc 8 - CTST
- Lớp 8 - Cánh diều
- Soạn văn 8 Cánh diều (hay nhất)
- Soạn văn 8 Cánh diều (ngắn nhất)
- Giải sgk Toán 8 - Cánh diều
- Giải sgk Khoa học tự nhiên 8 - Cánh diều
- Giải sgk Lịch Sử 8 - Cánh diều
- Giải sgk Địa Lí 8 - Cánh diều
- Giải sgk Giáo dục công dân 8 - Cánh diều
- Giải sgk Tin học 8 - Cánh diều
- Giải sgk Công nghệ 8 - Cánh diều
- Giải sgk Hoạt động trải nghiệm 8 - Cánh diều
- Giải sgk Âm nhạc 8 - Cánh diều


Giải bài tập SGK & SBT
Tài liệu giáo viên
Sách
Khóa học
Thi online
Hỏi đáp

