Bài 6 trang 38 Toán 8 Tập 1
Bài 2: Tính chất cơ bản của phân thức
Video Bài 6 trang 38 SGK Toán 8 tập 1 - Cô Nguyễn Thị Ngọc Ánh (Giáo viên VietJack)
Bài 6 (trang 38 SGK Toán 8 Tập 1): Đố. Hãy dùng tính chất cơ bản của phân thức để điền một đa thức thích hợp vào chỗ trống
Lời giải:
Ta để ý : x2 – 1 = (x – 1)(x + 1)
Do đó ta cần chia cả tử và mẫu của phân thức thứ nhất cho x – 1.
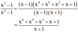
Mà ta có :
x5 – 1 = x5 – x4 + x4 – x3 + x3 – x2 + x2 – x + x – 1
= x4(x – 1) + x3(x – 1) + x2(x – 1) + x(x – 1) + (x – 1)
= (x – 1)(x4 + x3 + x2 + x + 1)
Do đó :
Vậy đa thức cần điền là x4 + x3 + x2 + x + 1.
Kiến thức áp dụng
(N là một nhân tử chung của A và B)
Các bài giải bài tập Toán 8 Bài 2 khác
Trả lời câu hỏi Toán 8 Tập 1 Bài 2 trang 37 : Hãy nhắc lại tính chất cơ bản của....
Trả lời câu hỏi Toán 8 Tập 1 Bài 2 trang 38 : Dùng quy tắc đổi dấu hãy điền một....
Bài 4 (trang 38 SGK Toán 8 Tập 1): Cô giáo yêu cầu mỗi bạn ...
Bài 5 (trang 38 SGK Toán 8 Tập 1): Điền đa thức thích hợp ...
Bài 6 (trang 38 SGK Toán 8 Tập 1): Đố. Hãy dùng tính chất cơ bản ...
Xem thêm các bài giải bài tập Toán lớp 8 hay, chi tiết khác:
- Bài 2: Tính chất cơ bản của phân thức
- Bài 3: Rút gọn phân thức
- Luyện tập (trang 40 - Tập 1)
- Bài 4: Quy đồng mẫu thức nhiều phân thức
- Luyện tập (trang 43-44)
Xem thêm các loạt bài Để học tốt Toán lớp 8 hay khác:
Tủ sách VIETJACK shopee lớp 6-8 (2025):
Đã có app VietJack trên điện thoại, giải bài tập SGK, SBT Soạn văn, Văn mẫu, Thi online, Bài giảng....miễn phí. Tải ngay ứng dụng trên Android và iOS.
Theo dõi chúng tôi miễn phí trên mạng xã hội facebook và youtube:Loạt bài Giải bài tập Toán 8 Tập 1 & Tập 2 của chúng tôi được biên soạn bám sát sgk Toán 8 (NXB Giáo dục).
Nếu thấy hay, hãy động viên và chia sẻ nhé! Các bình luận không phù hợp với nội quy bình luận trang web sẽ bị cấm bình luận vĩnh viễn.
- Giải Tiếng Anh 8 Global Success
- Giải sgk Tiếng Anh 8 Smart World
- Giải sgk Tiếng Anh 8 Friends plus
- Lớp 8 - Kết nối tri thức
- Soạn văn 8 (hay nhất) - KNTT
- Soạn văn 8 (ngắn nhất) KNTT
- Giải sgk Toán 8 - KNTT
- Giải sgk Khoa học tự nhiên 8 - KNTT
- Giải sgk Lịch Sử 8 - KNTT
- Giải sgk Địa Lí 8 - KNTT
- Giải sgk Giáo dục công dân 8 - KNTT
- Giải sgk Tin học 8 - KNTT
- Giải sgk Công nghệ 8 - KNTT
- Giải sgk Hoạt động trải nghiệm 8 - KNTT
- Giải sgk Âm nhạc 8 - KNTT
- Lớp 8 - Chân trời sáng tạo
- Soạn văn 8 (hay nhất) - CTST
- Soạn văn 8 (ngắn nhất) - CTST
- Giải sgk Toán 8 - CTST
- Giải sgk Khoa học tự nhiên 8 - CTST
- Giải sgk Lịch Sử 8 - CTST
- Giải sgk Địa Lí 8 - CTST
- Giải sgk Giáo dục công dân 8 - CTST
- Giải sgk Tin học 8 - CTST
- Giải sgk Công nghệ 8 - CTST
- Giải sgk Hoạt động trải nghiệm 8 - CTST
- Giải sgk Âm nhạc 8 - CTST
- Lớp 8 - Cánh diều
- Soạn văn 8 Cánh diều (hay nhất)
- Soạn văn 8 Cánh diều (ngắn nhất)
- Giải sgk Toán 8 - Cánh diều
- Giải sgk Khoa học tự nhiên 8 - Cánh diều
- Giải sgk Lịch Sử 8 - Cánh diều
- Giải sgk Địa Lí 8 - Cánh diều
- Giải sgk Giáo dục công dân 8 - Cánh diều
- Giải sgk Tin học 8 - Cánh diều
- Giải sgk Công nghệ 8 - Cánh diều
- Giải sgk Hoạt động trải nghiệm 8 - Cánh diều
- Giải sgk Âm nhạc 8 - Cánh diều


Giải bài tập SGK & SBT
Tài liệu giáo viên
Sách
Khóa học
Thi online
Hỏi đáp

