Bài 2 trang 131 SGK Toán 9 Tập 2
Bài tập ôn cuối năm
A - Phần Đại Số
Video Bài 2 trang 131 SGK Toán 9 Tập 2 - Cô Ngô Hoàng Ngọc Hà (Giáo viên VietJack)
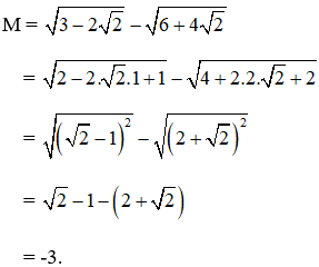
Bài 2 (trang 131 SGK Toán 9 Tập 2): Rút gọn các biểu thức:
Lời giải
Tham khảo các lời giải Toán 9 Bài tập ôn cuối năm - Phần Đại Số khác:
- Mục lục Chương IV: Hình Trụ - Hình Nón - Hình Cầu
Bài 1 (trang 131 SGK Toán 9 Tập 2): Xét các mệnh đề sau: ...
Bài 2 (trang 131 SGK Toán 9 Tập 2): Rút gọn các biểu thức: ...
Bài 3 (trang 132 SGK Toán 9 Tập 2): Giá trị của biểu thức ...
Bài 7 (trang 132 SGK Toán 9 Tập 2): Cho hai đường thẳng: ...
Bài 9 (trang 133 SGK Toán 9 Tập 2): Giải các hệ phương trình: ...
Bài 10 (trang 133 SGK Toán 9 Tập 2): Giải các hệ phương trình: ...
Bài 14 (trang 133 SGK Toán 9 Tập 2): Gọi x1, x2 là hai nghiệm của phương trình 3x2 – ax – b = 0. ...
Bài 15 (trang 133 SGK Toán 9 Tập 2): Hai phương trình x2 + ax + 1 = 0 và x2 - x - a = 0 ...
Bài 16 (trang 133 SGK Toán 9 Tập 2): Giải các phương trình: ...
Tham khảo các lời giải Toán 9 Chương 4 khác:
- Bài 1: Hình Trụ - Diện tích xung quanh và thể tích của hình trụ - Luyện tập (trang 111-112-113)
- Bài 2: Hình nón - Hình nón cụt - Diện tích xung quanh và thể tích của hình nón, hình nón cụt - Luyện tập (trang 119-120)
- Bài 3: Hình cầu. Diện tích mặt cầu và thể tích hình cầu - Luyện tập (trang 126)
- Ôn tập chương 4 (Câu hỏi - Bài tập)
- Bài tập ôn cuối năm (Phần Đại Số - Phần Hình Học)
Xem thêm các loạt bài Để học tốt Toán lớp 9 hay khác:
- Giải sách bài tập Toán 9
- Chuyên đề Toán 9 (có đáp án - cực hay)
- Lý thuyết & 500 Bài tập Toán 9 (có đáp án)
- Các dạng bài tập Toán 9 cực hay
- Đề thi Toán 9
- Đề thi vào 10 môn Toán
Tủ sách VIETJACK luyện thi vào 10 cho 2k11 (2026):
Đã có app VietJack trên điện thoại, giải bài tập SGK, SBT Soạn văn, Văn mẫu, Thi online, Bài giảng....miễn phí. Tải ngay ứng dụng trên Android và iOS.
Theo dõi chúng tôi miễn phí trên mạng xã hội facebook và youtube:Loạt bài Giải bài tập Toán 9 Tập 1 & Tập 2 của chúng tôi được biên soạn bám sát theo chương trình sgk Toán 9 (NXB Giáo dục).
Nếu thấy hay, hãy động viên và chia sẻ nhé! Các bình luận không phù hợp với nội quy bình luận trang web sẽ bị cấm bình luận vĩnh viễn.
- Giải Tiếng Anh 9 Global Success
- Giải sgk Tiếng Anh 9 Smart World
- Giải sgk Tiếng Anh 9 Friends plus
- Lớp 9 Kết nối tri thức
- Soạn văn 9 (hay nhất) - KNTT
- Soạn văn 9 (ngắn nhất) - KNTT
- Giải sgk Toán 9 - KNTT
- Giải sgk Khoa học tự nhiên 9 - KNTT
- Giải sgk Lịch Sử 9 - KNTT
- Giải sgk Địa Lí 9 - KNTT
- Giải sgk Giáo dục công dân 9 - KNTT
- Giải sgk Tin học 9 - KNTT
- Giải sgk Công nghệ 9 - KNTT
- Giải sgk Hoạt động trải nghiệm 9 - KNTT
- Giải sgk Âm nhạc 9 - KNTT
- Giải sgk Mĩ thuật 9 - KNTT
- Lớp 9 Chân trời sáng tạo
- Soạn văn 9 (hay nhất) - CTST
- Soạn văn 9 (ngắn nhất) - CTST
- Giải sgk Toán 9 - CTST
- Giải sgk Khoa học tự nhiên 9 - CTST
- Giải sgk Lịch Sử 9 - CTST
- Giải sgk Địa Lí 9 - CTST
- Giải sgk Giáo dục công dân 9 - CTST
- Giải sgk Tin học 9 - CTST
- Giải sgk Công nghệ 9 - CTST
- Giải sgk Hoạt động trải nghiệm 9 - CTST
- Giải sgk Âm nhạc 9 - CTST
- Giải sgk Mĩ thuật 9 - CTST
- Lớp 9 Cánh diều
- Soạn văn 9 Cánh diều (hay nhất)
- Soạn văn 9 Cánh diều (ngắn nhất)
- Giải sgk Toán 9 - Cánh diều
- Giải sgk Khoa học tự nhiên 9 - Cánh diều
- Giải sgk Lịch Sử 9 - Cánh diều
- Giải sgk Địa Lí 9 - Cánh diều
- Giải sgk Giáo dục công dân 9 - Cánh diều
- Giải sgk Tin học 9 - Cánh diều
- Giải sgk Công nghệ 9 - Cánh diều
- Giải sgk Hoạt động trải nghiệm 9 - Cánh diều
- Giải sgk Âm nhạc 9 - Cánh diều
- Giải sgk Mĩ thuật 9 - Cánh diều


Giải bài tập SGK & SBT
Tài liệu giáo viên
Sách
Khóa học
Thi online
Hỏi đáp

