Bài 35 trang 56 SGK Toán 9 Tập 2
Bài 7: Phương trình quy về phương trình bậc hai
Video Bài 35 trang 56 SGK Toán 9 Tập 2 - Cô Ngô Hoàng Ngọc Hà (Giáo viên VietJack)
Bài 35 (trang 56 SGK Toán 9 Tập 2): Giải các phương trình:
Lời giải
⇔ (x + 3)(x – 3) + 2.3 = 3x(1 – x)
⇔ x2 – 9 + 6 = 3x – 3x2
⇔ x2 – 9 + 6 – 3x + 3x2 = 0
⇔ 4x2 – 3x – 3 = 0
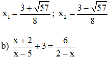
Có a = 4; b = -3; c = -3 ⇒ Δ = (-3)2 – 4.4.(-3) = 57 > 0
Phương trình có hai nghiệm
Điều kiện xác định: x ≠ 5; x ≠ 2.
Quy đồng và khử mẫu ta được :
(x + 2)(2 – x) + 3(2 – x)(x – 5) = 6(x – 5)
⇔ 4 – x2 + 6x – 3x2 – 30 + 15x = 6x – 30
⇔ 4 – x2 + 6x – 3x2 – 30 + 15x – 6x + 30 = 0
⇔ -4x2 + 15x + 4 = 0
Có a = -4; b = 15; c = 4 ⇒ Δ = 152 – 4.(-4).4 = 289 > 0
Phương trình có hai nghiệm phân biệt:
Cả hai giá trị đều thỏa mãn điều kiện.
Vậy phương trình có tập nghiệm
Điều kiện xác định: x ≠ -1; x ≠ -2.
Quy đồng và khử mẫu ta được:
4.(x + 2) = -x2 – x + 2
⇔ 4x + 8 = -x2 – x + 2
⇔ 4x + 8 + x2 + x – 2 = 0
⇔ x2 + 5x + 6 = 0.
Có a = 1; b = 5; c = 6 ⇒ Δ = 52 – 4.1.6 = 1 > 0
⇒ Phương trình có hai nghiệm phân biệt:
Chỉ có nghiệm x2 = -3 thỏa mãn điều kiện xác định.
Vậy phương trình có nghiệm x = -3.
Kiến thức áp dụng
Giải phương trình chứa ẩn ở mẫu thức:
Bước 1: Tìm điều kiện xác định của phương trình.
Bước 2: Quy đồng, khử mẫu
Bước 3: Giải phương trình nhận được
Bước 4: Đối chiếu nghiệm thu được với điều kiện xác định và kết luận nghiệm.
Tham khảo các lời giải Toán 9 Bài 7 khác:
Trả lời câu hỏi Toán 9 Tập 2 Bài 7 trang 55 : Giải các phương trình trùng phương....
Trả lời câu hỏi Toán 9 Tập 2 Bài 7 trang 56 : Giải phương trình sau bằng cách đưa....
Bài 34 (trang 56 SGK Toán 9 Tập 2): Giải các phương trình trùng phương: ...
Bài 35 (trang 56 SGK Toán 9 Tập 2): Giải các phương trình: ...
Bài 36 (trang 56 SGK Toán 9 Tập 2): Giải các phương trình: ...
Bài 37 (trang 56 SGK Toán 9 Tập 2): Giải phương trình trùng phương: ...
Bài 38 (trang 56-57 SGK Toán 9 Tập 2): Giải các phương trình: ...
Bài 39 (trang 57 SGK Toán 9 Tập 2): Giải phương trình bằng cách đưa về phương trình tích: ...
Bài 40 (trang 57 SGK Toán 9 Tập 2): Giải phương trình bằng cách đặt ẩn phụ: ...
Tham khảo các lời giải Toán 9 Chương 4 khác:
- Bài 5: Công thức nghiệm thu gọn - Luyện tập (trang 49-50)
- Bài 6: Hệ thức Vi-ét và ứng dụng - Luyện tập (trang 54)
- Bài 7: Phương trình quy về phương trình bậc hai
- Bài 8: Giải bài toán bằng cách lập phương trình - Luyện tập (trang 59-60)
- Ôn tập chương 4 (Câu hỏi - Bài tập)
Xem thêm các loạt bài Để học tốt Toán lớp 9 hay khác:
- Giải sách bài tập Toán 9
- Chuyên đề Toán 9 (có đáp án - cực hay)
- Lý thuyết & 500 Bài tập Toán 9 (có đáp án)
- Các dạng bài tập Toán 9 cực hay
- Đề thi Toán 9
- Đề thi vào 10 môn Toán
Tủ sách VIETJACK luyện thi vào 10 cho 2k11 (2026):
Đã có app VietJack trên điện thoại, giải bài tập SGK, SBT Soạn văn, Văn mẫu, Thi online, Bài giảng....miễn phí. Tải ngay ứng dụng trên Android và iOS.
Theo dõi chúng tôi miễn phí trên mạng xã hội facebook và youtube:Loạt bài Giải bài tập Toán 9 Tập 1 & Tập 2 của chúng tôi được biên soạn bám sát theo chương trình sgk Toán 9 (NXB Giáo dục).
Nếu thấy hay, hãy động viên và chia sẻ nhé! Các bình luận không phù hợp với nội quy bình luận trang web sẽ bị cấm bình luận vĩnh viễn.
- Giải Tiếng Anh 9 Global Success
- Giải sgk Tiếng Anh 9 Smart World
- Giải sgk Tiếng Anh 9 Friends plus
- Lớp 9 Kết nối tri thức
- Soạn văn 9 (hay nhất) - KNTT
- Soạn văn 9 (ngắn nhất) - KNTT
- Giải sgk Toán 9 - KNTT
- Giải sgk Khoa học tự nhiên 9 - KNTT
- Giải sgk Lịch Sử 9 - KNTT
- Giải sgk Địa Lí 9 - KNTT
- Giải sgk Giáo dục công dân 9 - KNTT
- Giải sgk Tin học 9 - KNTT
- Giải sgk Công nghệ 9 - KNTT
- Giải sgk Hoạt động trải nghiệm 9 - KNTT
- Giải sgk Âm nhạc 9 - KNTT
- Giải sgk Mĩ thuật 9 - KNTT
- Lớp 9 Chân trời sáng tạo
- Soạn văn 9 (hay nhất) - CTST
- Soạn văn 9 (ngắn nhất) - CTST
- Giải sgk Toán 9 - CTST
- Giải sgk Khoa học tự nhiên 9 - CTST
- Giải sgk Lịch Sử 9 - CTST
- Giải sgk Địa Lí 9 - CTST
- Giải sgk Giáo dục công dân 9 - CTST
- Giải sgk Tin học 9 - CTST
- Giải sgk Công nghệ 9 - CTST
- Giải sgk Hoạt động trải nghiệm 9 - CTST
- Giải sgk Âm nhạc 9 - CTST
- Giải sgk Mĩ thuật 9 - CTST
- Lớp 9 Cánh diều
- Soạn văn 9 Cánh diều (hay nhất)
- Soạn văn 9 Cánh diều (ngắn nhất)
- Giải sgk Toán 9 - Cánh diều
- Giải sgk Khoa học tự nhiên 9 - Cánh diều
- Giải sgk Lịch Sử 9 - Cánh diều
- Giải sgk Địa Lí 9 - Cánh diều
- Giải sgk Giáo dục công dân 9 - Cánh diều
- Giải sgk Tin học 9 - Cánh diều
- Giải sgk Công nghệ 9 - Cánh diều
- Giải sgk Hoạt động trải nghiệm 9 - Cánh diều
- Giải sgk Âm nhạc 9 - Cánh diều
- Giải sgk Mĩ thuật 9 - Cánh diều


Giải bài tập SGK & SBT
Tài liệu giáo viên
Sách
Khóa học
Thi online
Hỏi đáp

