Bài 44 trang 27 SGK Toán 9 Tập 2
Ôn tập chương 3 - Giải phần Bài tập
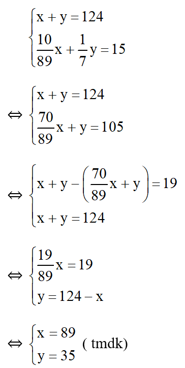
Bài 44 (trang 27 SGK Toán 9 Tập 2): Một vật có khối lượng 124 g và thể tích 15 cm3 là hợp kim của đồng và kẽm. Tính xem trong đó có bao nhiêu gam đồng và bao nhiêu gam kẽm, biết rằng cứ 89g đồng thì có thể tích 10 cm3 và 7 g kẽm có thể tích 1 cm3.
Lời giải
Gọi x và y lần lượt là số gam đồng và kẽm có trong vật đó
(Điều kiện: x, y > 0; x < 124, y < 124 )
Vì khối lượng của vật là 124g nên ta có phương trình x + y = 124
Thể tích của x (g) đồng là
(cm3)
Thể tích của y (g) kẽm là
(cm3).
Vật có thể tích 15cm3 nên ta có phương trình:
Ta có hệ phương trình:
Vậy có 89 gam đồng và 35 gam kẽm.
Tham khảo các lời giải Toán 9 Bài Ôn tập chương 3 khác:
- Mục lục Chương III: Hệ Hai Phương Trình Bậc Nhất Hai Ẩn
- Ôn tập chương 3 (Câu hỏi - Bài tập)
Bài 41 (trang 27 SGK Toán 9 Tập 2): Giải các hệ phương trình sau: ...
Bài 42 (trang 27 SGK Toán 9 Tập 2): Giải hệ phương trình ... trong mỗi trường hợp sau: ...
Tham khảo các lời giải Toán 9 Chương 3 khác:
- Ôn tập chương 3 (Câu hỏi - Bài tập)
- Tiếp theo: Toán 9 Tập 2 Chương 4
- Bài 1: Hàm số y = ax2 (a ≠ 0)
- Bài 2: Đồ thị hàm số y = ax2 (a ≠ 0)
- Bài 3: Phương trình bậc hai một ẩn
- Bài 4: Công thức nghiệm của phương trình bậc hai
Xem thêm các loạt bài Để học tốt Toán lớp 9 hay khác:
- Giải sách bài tập Toán 9
- Chuyên đề Toán 9 (có đáp án - cực hay)
- Lý thuyết & 500 Bài tập Toán 9 (có đáp án)
- Các dạng bài tập Toán 9 cực hay
- Đề thi Toán 9
- Đề thi vào 10 môn Toán
Tủ sách VIETJACK luyện thi vào 10 cho 2k11 (2026):
Đã có app VietJack trên điện thoại, giải bài tập SGK, SBT Soạn văn, Văn mẫu, Thi online, Bài giảng....miễn phí. Tải ngay ứng dụng trên Android và iOS.
Theo dõi chúng tôi miễn phí trên mạng xã hội facebook và youtube:Loạt bài Giải bài tập Toán 9 Tập 1 & Tập 2 của chúng tôi được biên soạn bám sát theo chương trình sgk Toán 9 (NXB Giáo dục).
Nếu thấy hay, hãy động viên và chia sẻ nhé! Các bình luận không phù hợp với nội quy bình luận trang web sẽ bị cấm bình luận vĩnh viễn.
- Giải Tiếng Anh 9 Global Success
- Giải sgk Tiếng Anh 9 Smart World
- Giải sgk Tiếng Anh 9 Friends plus
- Lớp 9 Kết nối tri thức
- Soạn văn 9 (hay nhất) - KNTT
- Soạn văn 9 (ngắn nhất) - KNTT
- Giải sgk Toán 9 - KNTT
- Giải sgk Khoa học tự nhiên 9 - KNTT
- Giải sgk Lịch Sử 9 - KNTT
- Giải sgk Địa Lí 9 - KNTT
- Giải sgk Giáo dục công dân 9 - KNTT
- Giải sgk Tin học 9 - KNTT
- Giải sgk Công nghệ 9 - KNTT
- Giải sgk Hoạt động trải nghiệm 9 - KNTT
- Giải sgk Âm nhạc 9 - KNTT
- Giải sgk Mĩ thuật 9 - KNTT
- Lớp 9 Chân trời sáng tạo
- Soạn văn 9 (hay nhất) - CTST
- Soạn văn 9 (ngắn nhất) - CTST
- Giải sgk Toán 9 - CTST
- Giải sgk Khoa học tự nhiên 9 - CTST
- Giải sgk Lịch Sử 9 - CTST
- Giải sgk Địa Lí 9 - CTST
- Giải sgk Giáo dục công dân 9 - CTST
- Giải sgk Tin học 9 - CTST
- Giải sgk Công nghệ 9 - CTST
- Giải sgk Hoạt động trải nghiệm 9 - CTST
- Giải sgk Âm nhạc 9 - CTST
- Giải sgk Mĩ thuật 9 - CTST
- Lớp 9 Cánh diều
- Soạn văn 9 Cánh diều (hay nhất)
- Soạn văn 9 Cánh diều (ngắn nhất)
- Giải sgk Toán 9 - Cánh diều
- Giải sgk Khoa học tự nhiên 9 - Cánh diều
- Giải sgk Lịch Sử 9 - Cánh diều
- Giải sgk Địa Lí 9 - Cánh diều
- Giải sgk Giáo dục công dân 9 - Cánh diều
- Giải sgk Tin học 9 - Cánh diều
- Giải sgk Công nghệ 9 - Cánh diều
- Giải sgk Hoạt động trải nghiệm 9 - Cánh diều
- Giải sgk Âm nhạc 9 - Cánh diều
- Giải sgk Mĩ thuật 9 - Cánh diều


Giải bài tập SGK & SBT
Tài liệu giáo viên
Sách
Khóa học
Thi online
Hỏi đáp

