Vở bài tập Toán lớp 5 trang 90, 91 (Tập 1, Tập 2 sách mới)
Với giải vở bài tập Toán lớp 5 trang 90, 91 Tập 1 & Tập 2 sách mới Kết nối tri thức, Chân trời sáng tạo, Cánh diều hay, chi tiết sẽ giúp học sinh lớp 5 biết cách làm bài tập trong VBT Toán lớp 5 trang 90, 91.
Vở bài tập Toán lớp 5 trang 90, 91 (Tập 1, Tập 2 sách mới)
Vở bài tập Toán lớp 5 trang 90, 91 Tập 1
Vở bài tập Toán lớp 5 trang 90 Tập 1
Vở bài tập Toán lớp 5 trang 91 Tập 1
Vở bài tập Toán lớp 5 trang 90, 91 Tập 2
Vở bài tập Toán lớp 5 trang 90 Tập 2
Vở bài tập Toán lớp 5 trang 91 Tập 2
Lưu trữ: Giải Vở bài tập Toán lớp 5 trang 90, 91 Bài 151: Phép trừ (sách cũ)
Giải Vở bài tập Toán lớp 5 trang 90, 91 Bài 151: Phép trừ - Cô Nguyễn Lan (Giáo viên VietJack)
Vở bài tập Toán lớp 5 trang 90 Bài 1: Tính:
Lời giải:
Vở bài tập Toán lớp 5 trang 91 Bài 2: Tìm x :
a) x + 4,72 = 9,18
b)
c) 9,5 – x = 2,7
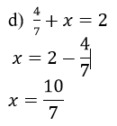
d) +x=2
Lời giải:
a) x + 4,72 = 9,18
x = 9,18 – 4,72
x = 4,46
b)
c) 9,5 – x = 2,7
x = 9,5 – 2,7
x = 6,8
Lời giải:
Tóm tắt
Trồng lúa: 485,3ha
Trồng hoa: ít hơn diện tích đất trồng lúa 289,6ha
Cả hai: ... ha?
Bài giải
Diện tích trồng hoa là :
485,3 – 289,6 = 195,7 (ha)
Diện tích đất trồng hoa và trồng lúa là :
485,3 + 195,7 = 681 (ha)
Đáp số : 681 ha
Vở bài tập Toán lớp 5 trang 91 Bài 4: Tính bằng hai cách khác nhau :
72,54 – (30,5 + 14,04)
Lời giải:
Cách 1:
72,54 – (30,5 + 14,04)
= 72,54 – 44,54 = 28
Cách 2 :
72,54 – (30,5 + 14,04)
= 72,54 – 14,04 – 30,5
= 68,5 – 30,5 = 28
Bài tập Phép trừ
- Giải sgk Toán lớp 5 Phép trừ
- Giải Toán lớp 5 VNEN Bài 104: Ôn tập về phép cộng, phép trừ
- Bài tập Ôn tập về phép trừ
Xem thêm các bài giải vở bài tập Toán lớp 5 hay, chi tiết khác:
- Giải vở bài tập Toán lớp 5 Bài 152: Luyện tập
- Giải vở bài tập Toán lớp 5 Bài 153: Phép nhân
- Giải vở bài tập Toán lớp 5 Bài 154: Luyện tập
- Giải vở bài tập Toán lớp 5 Bài 155: Phép chia
- Giải vở bài tập Toán lớp 5 Bài 156: Luyện tập
Xem thêm các bài Để học tốt Toán lớp 5 hay khác:
- Giải bài tập sgk Toán lớp 5
- Giải Vở bài tập Toán lớp 5
- Đề thi Toán lớp 5 (có đáp án)
- Giải lớp 5 Kết nối tri thức (các môn học)
- Giải lớp 5 Chân trời sáng tạo (các môn học)
- Giải lớp 5 Cánh diều (các môn học)
Tủ sách VIETJACK shopee lớp 1-5 (2025):
Đã có app VietJack trên điện thoại, giải bài tập SGK, SBT Soạn văn, Văn mẫu, Thi online, Bài giảng....miễn phí. Tải ngay ứng dụng trên Android và iOS.
Theo dõi chúng tôi miễn phí trên mạng xã hội facebook và youtube:Loạt bài Giải vở bài tập Toán lớp 5 được biên soạn bám sát nội dung VBT Toán lớp 5 Tập 1 & Tập 2.
Nếu thấy hay, hãy động viên và chia sẻ nhé! Các bình luận không phù hợp với nội quy bình luận trang web sẽ bị cấm bình luận vĩnh viễn.
- Giải Tiếng Anh lớp 5 Global Success
- Giải sgk Tiếng Anh lớp 5 Smart Start
- Giải sgk Tiếng Anh lớp 5 Family and Friends
- Lớp 5 Kết nối tri thức
- Giải sgk Tiếng Việt lớp 5 - KNTT
- Giải Vở bài tập Tiếng Việt lớp 5 - KNTT
- Giải sgk Toán lớp 5 - KNTT
- Giải Vở bài tập Toán lớp 5 - KNTT
- Giải sgk Đạo đức lớp 5 - KNTT
- Giải sgk Khoa học lớp 5 - KNTT
- Giải sgk Lịch Sử và Địa Lí lớp 5 - KNTT
- Giải sgk Hoạt động trải nghiệm lớp 5 - KNTT
- Giải sgk Tin học lớp 5 - KNTT
- Giải sgk Công nghệ lớp 5 - KNTT
- Giải sgk Âm nhạc lớp 5 - KNTT
- Giải sgk Mĩ thuật lớp 5 - KNTT
- Lớp 5 Chân trời sáng tạo
- Giải sgk Tiếng Việt lớp 5 - CTST
- Giải Vở bài tập Tiếng Việt lớp 5 - CTST
- Giải sgk Toán lớp 5 - CTST
- Giải Vở bài tập Toán lớp 5 - CTST
- Giải sgk Đạo đức lớp 5 - CTST
- Giải sgk Khoa học lớp 5 - CTST
- Giải sgk Lịch Sử và Địa Lí lớp 5 - CTST
- Giải sgk Hoạt động trải nghiệm lớp 5 - CTST
- Giải sgk Tin học lớp 5 - CTST
- Giải sgk Công nghệ lớp 5 - CTST
- Giải sgk Âm nhạc lớp 5 - CTST
- Giải sgk Mĩ thuật lớp 5 - CTST
- Lớp 5 Cánh diều
- Giải sgk Tiếng Việt lớp 5 - Cánh diều
- Giải Vở bài tập Tiếng Việt lớp 5 - Cánh diều
- Giải sgk Toán lớp 5 - Cánh diều
- Giải Vở bài tập Toán lớp 5 - Cánh diều
- Giải sgk Đạo đức lớp 5 - Cánh diều
- Giải sgk Khoa học lớp 5 - Cánh diều
- Giải sgk Lịch Sử và Địa Lí lớp 5 - Cánh diều
- Giải sgk Hoạt động trải nghiệm lớp 5 - Cánh diều
- Giải sgk Tin học lớp 5 - Cánh diều
- Giải sgk Công nghệ lớp 5 - Cánh diều
- Giải sgk Âm nhạc lớp 5 - Cánh diều
- Giải sgk Mĩ thuật lớp 5 - Cánh diều


Giải bài tập SGK & SBT
Tài liệu giáo viên
Sách
Khóa học
Thi online
Hỏi đáp

