Vở bài tập Vật Lí 9 Bài 1 trang 5
Bài 1: Sự phụ thuộc của cường độ dòng điện vào hiệu điện thế giữa hai đầu dây dẫn
B – GIẢI BÀI TẬP
I – BÀI TẬP TRONG SÁCH BÀI TẬP
Câu 1.1 trang 5 VBT Vật Lí 9: Nếu tăng hiệu điện thế đặt vào hai đầu dây dẫn đó tăng lên đến 36V thì cường độ dòng điện chạy qua nó là:
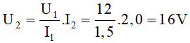
Tóm tắt
U1 = 12 V; I1 = 0,5 A; U2 = 36V; I2 = ?
Lời giải:
Ta có:
Vậy cường độ dòng điện chạy qua dây dẫn khi U2 = 36 V là: I2 = 1,5 A
Câu 1.2 trang 5 VBT Vật Lí 9: Cường độ dòng điện chạy qua dây dẫn đó tăng thêm 0,5A tức là
Lời giải:
I2 = I1 + 0,5 = 1,5 + 0,5 = 2 A, hiệu điện thế phải là:
Câu 1.3 trang 5 VBT Vật Lí 9: Giảm hiệu điện thế đặt vào hai đầu dây dẫn đi 2V tức là khi đó
Lời giải:
U2 = U1 – 2 = 6 – 2 = 4V, dòng điện chạy qua dây dẫn khi đó có cường độ là
Câu 1.4 trang 5 VBT Vật Lí 9: Khi đặt hiệu điện thế 12V vào hai đầu một dây dẫn thì dòng điện chạy qua nó có cường độ 6mA.Muốn cường độ dòng điện chạy qua dây dẫn đó có cường độ giảm đi 4mA thì hiệu điện thế là :
A. 3V B. 8V C. 5V D. 4V
Tóm tắt
U1 = 12V; I1 = 6mA = 0,006 A; I2 = I1 – 4mA = I1 – 0,004 A; U2 = ?
Lời giải:
Ta có: U2/I2 = U1/I1 , trong đó I2 = I1 – 0,004 A = 0,006 – 0,004 = 0,002 A, hiệu điện thế khi đó là
Chọn câu D: 4V.
Các bài giải bài tập vở bài tập Vật Lí 9 (VBT Vật Lí 9) khác:
- Vở bài tập Vật Lí 9 Bài 1 trang 3-4-5: C1. Từ kết quả thí nghiệm ta thấy:....
- Vở bài tập Vật Lí 9 Bài 1 trang 5: 1.1 Nếu tăng hiệu điện ....
- Bài 1a trang 5 Vở bài tập Vật Lí 9: 1.a. Khi đặt vào hai đầu dây dẫn ....
- Bài 1b trang 5 Vở bài tập Vật Lí 9: 1.b. Một dây dẫn được mắc vào hiệu....
Xem thêm các loạt bài Để học tốt Vật Lí lớp 9 hay khác:
- Giải bài tập Vật lý 9
- Lý thuyết & 500 bài tập Vật Lí 9 có đáp án
- Giải sách bài tập Vật Lí 9
- Chuyên đề Vật Lí 9 (có đáp án)
- Đề thi Vật Lí 9
Tủ sách VIETJACK luyện thi vào 10 cho 2k11 (2026):
Đã có app VietJack trên điện thoại, giải bài tập SGK, SBT Soạn văn, Văn mẫu, Thi online, Bài giảng....miễn phí. Tải ngay ứng dụng trên Android và iOS.
Theo dõi chúng tôi miễn phí trên mạng xã hội facebook và youtube:Loạt bài Giải vở bài tập Vật Lí lớp 9 | Giải VBT Vật Lí 9 được biên soạn bám sát nội dung VBT Vật Lí lớp 9.
Nếu thấy hay, hãy động viên và chia sẻ nhé! Các bình luận không phù hợp với nội quy bình luận trang web sẽ bị cấm bình luận vĩnh viễn.
- Giải Tiếng Anh 9 Global Success
- Giải sgk Tiếng Anh 9 Smart World
- Giải sgk Tiếng Anh 9 Friends plus
- Lớp 9 Kết nối tri thức
- Soạn văn 9 (hay nhất) - KNTT
- Soạn văn 9 (ngắn nhất) - KNTT
- Giải sgk Toán 9 - KNTT
- Giải sgk Khoa học tự nhiên 9 - KNTT
- Giải sgk Lịch Sử 9 - KNTT
- Giải sgk Địa Lí 9 - KNTT
- Giải sgk Giáo dục công dân 9 - KNTT
- Giải sgk Tin học 9 - KNTT
- Giải sgk Công nghệ 9 - KNTT
- Giải sgk Hoạt động trải nghiệm 9 - KNTT
- Giải sgk Âm nhạc 9 - KNTT
- Giải sgk Mĩ thuật 9 - KNTT
- Lớp 9 Chân trời sáng tạo
- Soạn văn 9 (hay nhất) - CTST
- Soạn văn 9 (ngắn nhất) - CTST
- Giải sgk Toán 9 - CTST
- Giải sgk Khoa học tự nhiên 9 - CTST
- Giải sgk Lịch Sử 9 - CTST
- Giải sgk Địa Lí 9 - CTST
- Giải sgk Giáo dục công dân 9 - CTST
- Giải sgk Tin học 9 - CTST
- Giải sgk Công nghệ 9 - CTST
- Giải sgk Hoạt động trải nghiệm 9 - CTST
- Giải sgk Âm nhạc 9 - CTST
- Giải sgk Mĩ thuật 9 - CTST
- Lớp 9 Cánh diều
- Soạn văn 9 Cánh diều (hay nhất)
- Soạn văn 9 Cánh diều (ngắn nhất)
- Giải sgk Toán 9 - Cánh diều
- Giải sgk Khoa học tự nhiên 9 - Cánh diều
- Giải sgk Lịch Sử 9 - Cánh diều
- Giải sgk Địa Lí 9 - Cánh diều
- Giải sgk Giáo dục công dân 9 - Cánh diều
- Giải sgk Tin học 9 - Cánh diều
- Giải sgk Công nghệ 9 - Cánh diều
- Giải sgk Hoạt động trải nghiệm 9 - Cánh diều
- Giải sgk Âm nhạc 9 - Cánh diều
- Giải sgk Mĩ thuật 9 - Cánh diều


Giải bài tập SGK & SBT
Tài liệu giáo viên
Sách
Khóa học
Thi online
Hỏi đáp

