Vở bài tập Vật Lí 9 Bài 6 trang 19-20-21
Bài 6: Bài tập vận dụng định luật Ôm
B – GIẢI BÀI TẬP
I – BÀI TẬP TRONG SÁCH BÀI TẬP
Câu 6.1 trang 19 VBT Vật Lí 9:
a) Khi R1 mắc nối tiếp R2 thì Rtđ = R1 + R2 = 20 + 20 = 40 Ω
So với mỗi điện trở thành phần thì Rtđ lớn hơn.
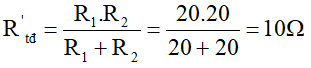
b) Khi R1 mắc song song với R2 thì:
So với mỗi điện trở thành phần thì R’tđ nhỏ hơn.
c)
Câu 6.2 trang 19 VBT Vật Lí 9:
a) Có hai cách mắc như sau:
+ Cách 1: R1 nối tiếp R2
+ Cách 2: R1 song song R2.
Vẽ sơ đồ hai cách mắc vào hình 6.1
b) Tính điện trở R1 và R2.
R1 mắc nối tiếp với R2 nên: R1 + R2 = Rtđ1 = 15 Ω (1)
R1 mắc song song với R2 nên: Rtđ2 = R1.R2/(R1 + R2) = 10/3 Ω (2)
Lấy (1) nhân với (2) theo vế suy ra R1R2 = 50 Ω → R2 = R1/3 (3)
Từ (1) và (3) suy ra R12 - 15R1 + 50 = 0
Giải phương trình bậc hai ta được:
R1 = 5 Ω, R2 = 10 Ω hoặc R1 = 10 Ω, R2 = 5 Ω.
Câu 6.3 trang 20 VBT Vật Lí 9:
Tóm tắt:
U1 = U2 = 6V; Iđm1 = Iđm2 = 0,5 A; U = 6 V; R1 nối tiếp R2
I1 = ?, I2 = ?, hai đèn sáng như thế nào?
Lời giải:
Điện trở của mỗi đèn là: R1 = R2 = U2/Iđm2 = 6/0,5 = 12 Ω
Khi 2 đèn mắc nối tiếp thì: Rtd = R1 + R2 = 12 + 12 = 24 Ω
Cường độ dòng điện qua mỗi đèn là: I1 = I2 = U/Rtd = 6/24 = 0,25 A < Iđm = 0,5 A
Hai đèn sáng yếu hơn mức bình thường vì cường độ dòng điện chạy qua đèn nhỏ hơn giá trị định mức.
Câu 6.4 trang 20 VBT Vật Lí 9: Cường độ dòng điện thực tế chạy qua hai bóng đèn là I1 = I2 = 0,52 A. So sánh với cường độ dòng điện định mức của mỗi đèn ta thấy đèn 1 có thể không sáng lên được, còn đèn 2 thì có thể sẽ cháy nên không mắc nối tiếp hai bóng đèn này được.
Câu 6.5 trang 21 VBT Vật Lí 9:
a) Có 4 cách mắc mạch điện (hình 6.2)
b) Điện trở tương đương của mỗi cách mắc:
Mạch 1: Rtđ = 3R = 3.30 = 90 Ω
Mạch 2: Rtđ = R + R/2 = 30 + 30/2 = 45 Ω
Mạch 3: Rtđ = 2R.R/3.R = (2/3)R = 20 Ω
Mạch 4: Rtđ = R/3 = 30/3 = 10 Ω
Các bài giải bài tập vở bài tập Vật Lí 9 (VBT Vật Lí 9) khác:
- Vở bài tập Vật Lí 9 Bài 6 trang 18-19: Bài 1 a) Điện trở tương đương của....
- Vở bài tập Vật Lí 9 Bài 6 trang 19-20-21: 6.1 a) Khi R1 mắc nối tiếp R2 thì ....
- Bài 6a trang 21 Vở bài tập Vật Lí 9: 6.a. Ghép mỗi nội dung cột bên phải ....
- Bài 6b trang 21 Vở bài tập Vật Lí 9: 6.b. Có ba điện trở giống nhau đều có....
Xem thêm các loạt bài Để học tốt Vật Lí lớp 9 hay khác:
- Giải bài tập Vật lý 9
- Lý thuyết & 500 bài tập Vật Lí 9 có đáp án
- Giải sách bài tập Vật Lí 9
- Chuyên đề Vật Lí 9 (có đáp án)
- Đề thi Vật Lí 9
Tủ sách VIETJACK luyện thi vào 10 cho 2k11 (2026):
Đã có app VietJack trên điện thoại, giải bài tập SGK, SBT Soạn văn, Văn mẫu, Thi online, Bài giảng....miễn phí. Tải ngay ứng dụng trên Android và iOS.
Theo dõi chúng tôi miễn phí trên mạng xã hội facebook và youtube:Loạt bài Giải vở bài tập Vật Lí lớp 9 | Giải VBT Vật Lí 9 được biên soạn bám sát nội dung VBT Vật Lí lớp 9.
Nếu thấy hay, hãy động viên và chia sẻ nhé! Các bình luận không phù hợp với nội quy bình luận trang web sẽ bị cấm bình luận vĩnh viễn.
- Giải Tiếng Anh 9 Global Success
- Giải sgk Tiếng Anh 9 Smart World
- Giải sgk Tiếng Anh 9 Friends plus
- Lớp 9 Kết nối tri thức
- Soạn văn 9 (hay nhất) - KNTT
- Soạn văn 9 (ngắn nhất) - KNTT
- Giải sgk Toán 9 - KNTT
- Giải sgk Khoa học tự nhiên 9 - KNTT
- Giải sgk Lịch Sử 9 - KNTT
- Giải sgk Địa Lí 9 - KNTT
- Giải sgk Giáo dục công dân 9 - KNTT
- Giải sgk Tin học 9 - KNTT
- Giải sgk Công nghệ 9 - KNTT
- Giải sgk Hoạt động trải nghiệm 9 - KNTT
- Giải sgk Âm nhạc 9 - KNTT
- Giải sgk Mĩ thuật 9 - KNTT
- Lớp 9 Chân trời sáng tạo
- Soạn văn 9 (hay nhất) - CTST
- Soạn văn 9 (ngắn nhất) - CTST
- Giải sgk Toán 9 - CTST
- Giải sgk Khoa học tự nhiên 9 - CTST
- Giải sgk Lịch Sử 9 - CTST
- Giải sgk Địa Lí 9 - CTST
- Giải sgk Giáo dục công dân 9 - CTST
- Giải sgk Tin học 9 - CTST
- Giải sgk Công nghệ 9 - CTST
- Giải sgk Hoạt động trải nghiệm 9 - CTST
- Giải sgk Âm nhạc 9 - CTST
- Giải sgk Mĩ thuật 9 - CTST
- Lớp 9 Cánh diều
- Soạn văn 9 Cánh diều (hay nhất)
- Soạn văn 9 Cánh diều (ngắn nhất)
- Giải sgk Toán 9 - Cánh diều
- Giải sgk Khoa học tự nhiên 9 - Cánh diều
- Giải sgk Lịch Sử 9 - Cánh diều
- Giải sgk Địa Lí 9 - Cánh diều
- Giải sgk Giáo dục công dân 9 - Cánh diều
- Giải sgk Tin học 9 - Cánh diều
- Giải sgk Công nghệ 9 - Cánh diều
- Giải sgk Hoạt động trải nghiệm 9 - Cánh diều
- Giải sgk Âm nhạc 9 - Cánh diều
- Giải sgk Mĩ thuật 9 - Cánh diều


Giải bài tập SGK & SBT
Tài liệu giáo viên
Sách
Khóa học
Thi online
Hỏi đáp

