Giáo án Chuyên đề Hóa học 12 Kết nối tri thức Bài 8: Liên kết và cấu tạo của phức chất
Giáo án Chuyên đề Hóa học 12 Kết nối tri thức Bài 8: Liên kết và cấu tạo của phức chất
Chỉ từ 250k mua trọn bộ Kế hoạch bài dạy (KHBD) hay Giáo án Chuyên đề học tập Hóa 12 Kết nối tri thức bản word chuẩn kiến thức, trình bày đẹp mắt, dễ dàng chỉnh sửa:
- B1: gửi phí vào tk:
1133836868- CT TNHH DAU TU VA DV GD VIETJACK - Ngân hàng MB (QR) - B2: Nhắn tin tới Zalo VietJack Official - nhấn vào đây để thông báo và nhận giáo án
I. MỤC TIÊU
1. Kiến thức
Sau bài học, HS sẽ:
- Trình bày được sự hình thành liên kết trong phức chất theo thuyết liên kết hoá trị áp dụng cho phức chất tứ diện và phức chất bát diện.
- Biểu diễn được dạng hình học của một số phức chất đơn giản.
- Viết được một số loại đồng phân cơ bản của phức chất: đồng phân cis-, trans-, đồng phân ion hoá, đồng phân liên kết.
2. Năng lực
- Năng lực chung: Năng lực tự học, năng lực giải quyết vấn đề, năng lực hợp tác, năng lực giao tiếp.
- Năng lực hóa học:
+ Năng lực nhận thức hóa học
+ Năng lực tìm hiểu thế giới tự nhiên dưới góc độ hóa học
+ Năng lực vận dụng kiến thức, kĩ năng dưới góc độ hóa học
3. Phẩm chất
- Yêu thích môn học, hình thành phẩm chất, tác phong nghiên cứu khoa học.
- Lập được kế hoạch hoạt động học tập.
II. THIẾT BỊ DẠY HỌC VÀ HỌC LIỆU
1. Đối với giáo viên (GV): Dụng cụ để chiếu các hình trong bài lên màn ảnh
2. Đối với học sinh (HS): Vở ghi, sgk, dụng cụ học tập
III. TIẾN TRÌNH DẠY HỌC
A. HOẠT ĐỘNG KHỞI ĐỘNG
a. Mục tiêu: Tạo tâm thế hứng thú cho học sinh và từng bước làm quen bài học.
b. Nội dung: GV trình bày vấn đề, HS trả lời câu hỏi
c. Sản phẩm học tập: HS lắng nghe và tiếp thu kiến thức
d. Tổ chức thực hiện:
GV tổ chức cho HS trả lời câu hỏi để tìm các từ hàng ngang, cuối cùng xác định từ chìa khóa
Câu 1: Hợp chất có chứa nguyên tử trung tâm và phối tử.
Câu 2: Nội dung toán học liên quan đến hình dạng, kích thước, vị trí tương đối của các hình khối trong không gian.
Câu 3: Tên một kim loại có màu đỏ.
Câu 4: Cụm từ mô tả sự kết hợp, gắn chặt với nhau.
Câu 5: Tên gọi chung cho phần tử/ion có liên kết với nguyên tử trung tâm trong phức chất.
Câu 6: Tên loại nước có khả năng hoà tan sợi bông.
Câu 7: Tên một hợp chất của nitrogen và hydrogen.
Sản phẩm
Loại liên kết hoá học giữa nguyên tử trung tâm và phối tử trong phức chất là liên kết cho - nhận.
GV thiết kế các câu hỏi dạng trò chơi Quizizz, Rung chuông vàng,... để khởi động buổi học.
B. HOẠT ĐỘNG HÌNH THÀNH KIẾN THỨC
Hoạt động 1: <I> LIÊN KẾT TRONG PHỨC CHẤT
a. Mục tiêu: Trình bày được sự hình thành liên kết trong phức chất theo thuyết liên kết hoá trị áp dụng cho phức chất tứ diện và phức chất bát diện.
b. Nội dung: Đọc thông tin sgk, nghe giáo viên hướng dẫn, học sinh thảo luận, trao đổi.
c. Sản phẩm học tập: Câu trả lời của học sinh
Liên kết hoá học giữa M và L trong phức chất là liên kết cho - nhận. Phối tử cho cặp electron chưa liên kết vào orbital lai hoá trống của nguyên tử trung tâm.
1. Sự hình thành liên kết trong phức chất tứ diện
Theo thuyết liên kết hoá trị, liên kết trong phức chất có dạng hình học tứ diện (còn được gọi là phức chất tứ diện) được hình thành từ sự cho cặp electron chưa liên kết của phối tử vào các orbital lai hoá trống của nguyên tử trung tâm.
Ví dụ: Theo thuyết liên kết hoá trị, phức chất tứ diện:
được hình thành như sau:
Nguyên tử trung tâm có cấu hình electron: .
Để tạo ra dạng hình học tứ diện, nguyên tử trung tâm lai hoá , bốn phối tử cho cặp electron chưa liên kết của nguyên tử N vào bốn orbital lai hoá trống của , tạo thành bốn liên kết .
Sự hình thành bốn liên kết này có thể được biểu diễn như sau:
2. Sự hình thành liên kết trong phức chất bát diện
Theo thuyết liên kết hoá trị, liên kết trong phức chất có dạng hình học bát diện (còn được gọi là phức chất bát diện) được hình thành từ sự cho cặp electron chưa liên kết của phối tử đến các orbital lai hoá hoặc trống của nguyên tử trung tâm.
Ví dụ 1: Theo thuyết liên kết hoá trị, phức chất bát diện:
được hình thành như sau:
Nguyên tử trung tâm có cấu hình electron: 3d6.
Để tạo ra dạng hình học bát diện, nguyên tử trung tâm lai hoá , sáu phối tử cho cặp electron chưa liên kết vào sáu orbital lai hoá trống của , tạo thành sáu liên kết .
Sự hình thành sáu liên kết này có thể được biểu diễn như sau:
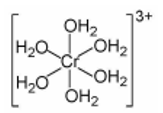
Ví dụ 2: Theo thuyết liên kết hoá trị, phức chất bát diện:
được hình thành như sau:
Nguyên tử trung tâm có cấu hình electron: .
Để tạo ra dạng hình học bát diện, nguyên tử trung tâm lai hoá d²sp³ , sáu phối tử cho cặp electron chưa liên kết của nguyên tử O vào sáu orbital lai hoá trống của , tạo thành sáu liên kết .
Sự hình thành sáu liên kết này có thể được biểu diễn như sau:
................................
................................
................................
Trên đây tóm tắt một số nội dung miễn phí trong bộ Kế hoạch bài dạy (KHBD) hay Giáo án Chuyên đề Hóa học 12 mới nhất, để mua tài liệu đầy đủ, Thầy/Cô vui lòng xem thử:
Xem thêm các bài soạn Giáo án Chuyên đề Hóa học lớp 12 Kết nối tri thức hay, chuẩn khác:
Giáo án Chuyên đề Hóa học 12 Bài 7: Một số vấn đề cơ bản về phức chất
Giáo án Chuyên đề Hóa học 12 Bài 9: Vai trò và ứng dụng của phức chất
Đã có app VietJack trên điện thoại, giải bài tập SGK, SBT Soạn văn, Văn mẫu, Thi online, Bài giảng....miễn phí. Tải ngay ứng dụng trên Android và iOS.
Theo dõi chúng tôi miễn phí trên mạng xã hội facebook và youtube:Nếu thấy hay, hãy động viên và chia sẻ nhé! Các bình luận không phù hợp với nội quy bình luận trang web sẽ bị cấm bình luận vĩnh viễn.
- Giáo án lớp 12 (các môn học)
- Giáo án điện tử lớp 12 (các môn học)
- Giáo án Toán 12
- Giáo án Ngữ văn 12
- Giáo án Vật Lí 12
- Giáo án Hóa học 12
- Giáo án Sinh học 12
- Giáo án Địa Lí 12
- Giáo án Lịch Sử 12
- Giáo án Lịch Sử 12 mới
- Giáo án GDCD 12
- Giáo án Kinh tế Pháp luật 12
- Giáo án Tin học 12
- Giáo án Công nghệ 12
- Giáo án GDQP 12
- Đề thi lớp 12 (các môn học)
- Đề thi Ngữ văn 12
- Đề thi Toán 12
- Đề thi Tiếng Anh 12 mới
- Đề thi Tiếng Anh 12
- Đề thi Vật Lí 12
- Đề thi Hóa học 12
- Đề thi Sinh học 12
- Đề thi Địa Lí 12
- Đề thi Lịch Sử 12
- Đề thi Giáo dục Kinh tế Pháp luật 12
- Đề thi Giáo dục quốc phòng 12
- Đề thi Tin học 12
- Đề thi Công nghệ 12


Giải bài tập SGK & SBT
Tài liệu giáo viên
Sách
Khóa học
Thi online
Hỏi đáp

