Giáo án Chuyên đề Hóa học 12 Kết nối tri thức Bài 9: Vai trò và ứng dụng của phức chất
Giáo án Chuyên đề Hóa học 12 Kết nối tri thức Bài 9: Vai trò và ứng dụng của phức chất
Chỉ từ 250k mua trọn bộ Kế hoạch bài dạy (KHBD) hay Giáo án Chuyên đề học tập Hóa 12 Kết nối tri thức bản word chuẩn kiến thức, trình bày đẹp mắt, dễ dàng chỉnh sửa:
- B1: gửi phí vào tk:
1133836868- CT TNHH DAU TU VA DV GD VIETJACK - Ngân hàng MB (QR) - B2: Nhắn tin tới Zalo VietJack Official - nhấn vào đây để thông báo và nhận giáo án
I. Mục tiêu
1. Năng lực chung:
- Năng lực tự chủ và tự học: Chủ động, tích cực tìm hiểu về vai trò và ứng dụng của phức chất trong các lĩnh vực.
- Năng lực giao tiếp và hợp tác: Sử dụng ngôn ngữ khoa học để diễn đạt vai trò và ứng dụng của phức chất; Hoạt động nhóm và cặp đôi một cách hiệu quả theo đúng yêu cầu của GV, đảm bảo các thành viên trong nhóm đều được tham gia và trình bày báo cáo.
- Năng lực giải quyết vấn đề và sáng tạo: Thảo luận với các thành viên trong nhóm nhằm giải quyết các vấn đề trong bài học để hoàn thành nhiệm vụ học tập.
2. Năng lực hóa học:
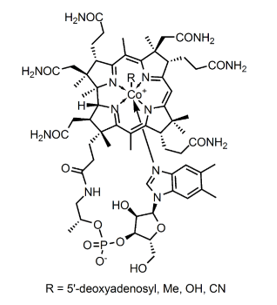
a. Nhận thức hoá học: Nêu được vai trò của một số phức chất sinh học: chlorophyll, heme B, vitamin B12,... Nêu được ứng dụng của phức chất trong tự nhiên, y học, đời sống và sản xuất, hoá học
b. Tìm hiểu tự nhiên dưới góc độ hóa học được thực hiện thông qua các hoạt động: thu thập thông tin về các phức chất trong tự nhiên và trong cuộc sống để tìm hiểu vai trò và ứng dụng của chúng.
c. Vận dụng kiến thức, kĩ năng đã học về phức chất để giải thích được một số vấn đề trong cuộc sống.
3. Phẩm chất
- Tham gia tích cực hoạt động nhóm và cặp đôi phù hợp với khả năng của bản thân.
- Yêu quý thiên nhiên và sử dụng hợp lí các sản phẩm chứa phức chất.
- Có niềm say mê, hứng thú với việc khám phá và học tập hoá học.
II. Thiết bị dạy học và học liệu
- Tranh ảnh liên quan đến phức chất chlorophyll, heme B, vitamin B12,... Slide bài giảng.
- Phiếu bài tập số 1, số 2, …..phiếu đánh giá HS
- Video, hình ảnh, học liệu: https://www.youtube.com/watch?v=2YEIBr7YKBs
https://www.youtube.com/watch?v=OcGulhnZDzM https://www.youtube.com/watch?v=B6xNZleVmCA
III. Tiến trình dạy học
1. Hoạt động 1: Khởi động
a) Mục tiêu: Xác định nội dung bài học sẽ là nêu được vai trò của một số phức chất sinh học: chlorophyll, heme B, vitamin B12,... Nêu được ứng dụng của phức chất trong tự nhiên, y học, đời sống và sản xuất, hoá học
Qua đó thấy dược ý nghĩa của việc nghiên cứu về phức chất trong khoa học và trong đời sống.
Tạo tâm thế sẵn sàng tìm hiểu, thực hiện nhiệm vụ được giao để trả lời được câu hỏi đặt ra trong tình huống khởi động.
b) Nội dung: Phức chất cơ vai trò gì đối với sinh vật? Trong đời sống và sản xuất, phức chất có những ứng dụng nào?
c) Sản phẩm:
+ Heme B tồn tại trong các vật sống từ vi khuẩn đến con người, là thành phần của hemoglobin (Hb), cấu tạo nên hồng cầu giúp vận chuyển oxygen từ phổi đến các cơ quan và vận chuyển carbon dioxide từ các cơ quan đến phổi để giải phóng ra khỏi cơ thể.
+ Vitamin B12 có vai trò thiết yếu trong việc hình thành tế bào hồng cầu, chuyển hoá tế bào, chức năng thần kinh và sản xuất DNA.
+ Chlorophyll là chất diệp lục, đóng vai trò quan trọng trong quá trình hấp thụ CO2 và H2O dưới tác dụng của năng lượng Mặt Trời, chuyển hoá thành tinh bột và oxygen.
+ Trong y học, một số phức chất có khả năng chữa trị hoặc kiểm soát bệnh như cisplantin, carboplatin, oxaliplatin,…
+ Trong hóa học, một số phức chất được dùng để nhận biết và xác định hàm lượng các ion kim loại chuyển tiếp trong dung dịch.
+ Trong công nghiệp sản xuất hoá chất, nhiều chất hoá học được điều chế nhờ sự hỗ trợ của phản ứng có sử dụng chất xúc tác là phức chất. Ví dụ: phức chất của rhodium (Rh) với tên gọi là xúc tác Wilkinson được sử dụng cho phản ứng hydrogen hoá các alkene đầu mạch.
+ Trong công nghiệp gốm sứ, phức chất của nhiều kim loại chuyển tiếp dãy thứ nhất được dùng để tạo màu sắc đa dạng cho các lớp men tráng trên gốm sứ.
d) Tổ chức thực hiện:
- GV sử dụng kĩ thuật động não để HS cảm nhận được nhu cầu cần trả lời câu hỏi khởi động, kết hợp mộ số hình ảnh minh hoạ về các phức chất chlorophyll, heme B, vitamin B12,...
- HS suy nghĩ độc lập và đưa ra các câu trả lời.
- GV thu các tờ giấy ghi câu trả lời của HS và liệt kê đáp án của HS trên bảng. GV có thể sử dụng Mentimet Word Cloud hoặc câu hỏi dạng Word Cloud trên Classpoint.
- GV nhận xét, đánh giá chung các câu hỏi của HS.
- GV dẫn dắt đến vấn đề cần tìm hiểu trong bài học và đua ra mục tiêu của bài học.
2. Hình thành kiến thức mới
|
|
Hoạt động 2:Tìm hiểu vai trò sinh học của Chlorophyll Mục tiêu: Trình bày được vai trò của phức chất sinh học Chlorophyll |
|
|
|
Hoạt động của GV và HS |
Sản phẩm dự kiến |
|
|
Giao nhiệm vụ học tập: GV yêu cầu các nhóm HS tìm hiểu thông tin trong SCĐ, làm việc nhóm để trả lời câu hỏi Phiếu HT 1: Thực hiện nhiệm vụ: HS thảo luận theo nhóm được phân công và trả lời vào phiếu học tập. GV theo dõi và động viên, khích lệ HS đưa ra câu trả lời. Báo cáo, thảo luận: GV thu PHT, sử dụng PP đánh giá đồng đẳng chéo giữa các nhóm, đưa ra thang điểm chấm để các nhóm đánh giá lẫn nhau. Kết luận, nhận định: HS nhận xét, bổ sung, đánh giá PHT của một số nhóm đại diện (có thể bốc thăm theo chỉ định của GV). - GV nhận xét, đánh giá chung và rút ra kết luận: Chlorophyll là một phức chất của Magienium, còn gọi là chất diệp lục, thực vật có màu xanh là do có chứa Chlorophyll, có vai trò hấp thụ CO2 và H2O dưới dạng năng lượng Mặt Trời, chuyển hoá thành Tinh bột và Oxygen. Đây là quá trình quang hợp của cây xanh. |
|
................................
................................
................................
Trên đây tóm tắt một số nội dung miễn phí trong bộ Kế hoạch bài dạy (KHBD) hay Giáo án Chuyên đề Hóa học 12 mới nhất, để mua tài liệu đầy đủ, Thầy/Cô vui lòng xem thử:
Xem thêm các bài soạn Giáo án Chuyên đề Hóa học lớp 12 Kết nối tri thức hay, chuẩn khác:
Giáo án Chuyên đề Hóa học 12 Bài 7: Một số vấn đề cơ bản về phức chất
Giáo án Chuyên đề Hóa học 12 Bài 8: Liên kết và cấu tạo của phức chất
Đã có app VietJack trên điện thoại, giải bài tập SGK, SBT Soạn văn, Văn mẫu, Thi online, Bài giảng....miễn phí. Tải ngay ứng dụng trên Android và iOS.
Theo dõi chúng tôi miễn phí trên mạng xã hội facebook và youtube:Nếu thấy hay, hãy động viên và chia sẻ nhé! Các bình luận không phù hợp với nội quy bình luận trang web sẽ bị cấm bình luận vĩnh viễn.
- Giáo án lớp 12 (các môn học)
- Giáo án điện tử lớp 12 (các môn học)
- Giáo án Toán 12
- Giáo án Ngữ văn 12
- Giáo án Vật Lí 12
- Giáo án Hóa học 12
- Giáo án Sinh học 12
- Giáo án Địa Lí 12
- Giáo án Lịch Sử 12
- Giáo án Lịch Sử 12 mới
- Giáo án GDCD 12
- Giáo án Kinh tế Pháp luật 12
- Giáo án Tin học 12
- Giáo án Công nghệ 12
- Giáo án GDQP 12
- Đề thi lớp 12 (các môn học)
- Đề thi Ngữ văn 12
- Đề thi Toán 12
- Đề thi Tiếng Anh 12 mới
- Đề thi Tiếng Anh 12
- Đề thi Vật Lí 12
- Đề thi Hóa học 12
- Đề thi Sinh học 12
- Đề thi Địa Lí 12
- Đề thi Lịch Sử 12
- Đề thi Giáo dục Kinh tế Pháp luật 12
- Đề thi Giáo dục quốc phòng 12
- Đề thi Tin học 12
- Đề thi Công nghệ 12


Giải bài tập SGK & SBT
Tài liệu giáo viên
Sách
Khóa học
Thi online
Hỏi đáp

