Giáo án Toán 7 Bài 5: Đa thức mới nhất
Giáo án Toán 7 Bài 5: Đa thức mới nhất
Xem thử Giáo án Toán 7 KNTT Xem thử Giáo án Toán 7 CTST Xem thử Giáo án Toán 7 CD
Chỉ từ 300k mua trọn bộ Kế hoạch bài dạy (KHBD) hay Giáo án Toán 7 cả năm (mỗi bộ sách) bản word chuẩn kiến thức, trình bày đẹp mắt:
- B1: gửi phí vào tk:
1133836868- CT TNHH DAU TU VA DV GD VIETJACK - Ngân hàng MB (QR) - B2: Nhắn tin tới Zalo VietJack Official - nhấn vào đây để thông báo và nhận giáo án
I. MỤC TIÊU:
1. Kiến thức: Nhận biết được đa thức thông qua một số ví dụ cụ thể.
2. Kỹ năng: Rèn kỹ năng thu gọn đa thức và biết cách tìm bậc của một đa thức.
3. Thái độ: Cẩn thận, khoa học, chính xác.
4. Xác định nội dung trọng tâm của bài: Biết khái niệm đa thức, biết cách thu gọn đa thức và biết cách tìm bậc của một đa thức.
5. Định hướng phát triển năng lực:
- Năng lực chung: Năng lực tự học, giải quyết vấn đề, hợp tác, thẩm mỹ, tư duy, vận dụng.
- Năng lực chuyên biệt: Năng lực sử dụng ngôn ngữ toán học.
II. CHUẨN BỊ CỦA THẦY VÀ TRÒ:
1. Giáo viên: Bảng phụ ghi bài 24, 28.Sgk/38
2. Học sinh: Làm bài tập về nhà và xem trước bài mới.
3. Bảng tham chiếu các mức yêu cầu cần đạt của câu hỏi, bài tập, kiểm tra, đánh giá.
Nội dung |
Nhận biết (MĐ1) |
Thông hiểu (MĐ2) |
Vận dụng (MĐ3) |
Vận dụng cao (MĐ4) |
|---|---|---|---|---|
1. Đa thức |
Nhận biết được đa thức |
|||
2. Thu gọn và tìm bậc của đa thức |
Biết nhận ra đa thức thu gọn |
Biết thu gọn và tìm bậc của một đa thức |
III. TIẾN HÀNH TIẾT DẠY:
* Kiểm tra bài cũ: (5').
H: Thế nào là hai đơn thức đồng dạng. Muốn cộng hay trừ hai đơn thức đồng dạng ta làm thế nào?
Hãy tính tổng của ba đơn thức sau: 25xy2; 55xy2; 75xy2
*Đáp án:
HS: Hai đơn thức có hệ số khác 0 và có cùng phần biến là hai đơn thức đồng dạng. ...........2đ
Để cộng, trừ hai đơn thức đồng dạng ta cộng, trừ các hệ số với nhau và giữ nguyên phần biến. ...........2đ
25xy2 + 55xy2 + 75xy2 = (25 + 55 + 75)xy2 = 155xy2 ..........6đ
GV nhận xét, cho điểm.
A. KHỞI ĐỘNG
*Hoạt động 1. Tình huống xuất phát (mở đầu) (1’)
(1) Mục tiêu: Kích thích HS suy đoán, hướng vào bài mới
(2) Phương pháp/Kĩ thuật dạy học: Phương pháp vấn đáp.
(3) Hình thức tổ chức hoạt động: Toàn lớp
(4) Phương tiện dạy học: Bảng phấn, SGK.
(5) Sản phẩm: không
Hoạt động của Giáo viên |
Hoạt động của Học sinh |
|---|---|
GV: Xét bài tập ở phần kiểm tra bài cũ ta có biểu thức 25xy2 + 55xy2 + 75xy2 : tổng của các đơn thức, biểu thức này được gọi là gì ta sẽ nghiên cứu ở bài học hôm nay. |
HS lắng nghe |
B. HÌNH THÀNH KIẾN THỨC MỚI
Hoạt động của GV |
Hoạt động của HS |
Nội dung |
NL hình thành |
|---|---|---|---|
*Hoạt động 2: Đa thức. (12') (1) Mục tiêu: Học sinh nhận biết được đa thức (2) Phương pháp/Kĩ thuật dạy học: Phương pháp vấn đáp. (3) Hình thức tổ chức hoạt động: Toàn lớp (4) Phương tiện dạy học: Bảng phấn, SGK. (5) Sản phẩm: Nắm được định nghĩa đa thức và cho được ví dụ |
|||
GV: Cho HS quan sát ví dụ Sgk. H: GV: Giới thiệu đa thức, hạng tử của đa thức. H: Vậy thế nào là một đa thức? H: đa thức H: GV nêu chú ý: mỗi đơn thức được coi là một đa thức Cho HS làm ?1: GV: Hãy chỉ rõ các hạng tử của 2 đa thức trên? |
HS: Quan sát ví dụ HS: Không phải HS: Lắng nghe HS: Nêu khái niệm đa thức (sgk) HS: 3 hạng tử x2; y2; HS: Gồm 4 hạng tử 3x2; - y2 ; HS: 1 HS lên bảng, cả lớp cùng làm. a) 5x + 8y (đồng) b) 120x + 150y (đồng) các biểu thức trên đều là các đa thức HS: trả lời. |
1. Đa thức (Sgk) Ví dụ: là những ví dụ về đa thức * Khái niệm: Sgk/37 * Ta có thể kí hiệu các đa thức bằng các chữ cái in hoa. Ví dụ: ?1 * Chú ý: Sgk |
Năng lực giải quyết vấn đề, tính toán. |
*Hoạt động 3: Thu gọn đa thức. (9') (1) Mục tiêu: Học sinh nắm được cách thu gọn một đa thức (2) Phương pháp/Kĩ thuật dạy học: Phương pháp vấn đáp. (3) Hình thức tổ chức hoạt động: Toàn lớp (4) Phương tiện dạy học: Bảng phấn, SGK. (5) Sản phẩm: Bài làm học sinh |
|||
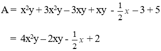
GV: Lấy ví dụ c) sgk: - Hãy nhóm chúng lại và thực hiện phép tính cộng, trừ các đơn thức đồng dạng? H: Đa thức 4x2y – 2xy - ?2: thảo luận nhóm Hãy thu gọn đa thức - Cho HS nhận xét bài làm của các nhóm. |
HS: x2y và 3x2y –3xy và xy -3 và 5 HS: HS: thảo luận nhóm |
2. Thu gọn đa thức Ta có: ?2 |
Năng lực tư duy, vận dụng. |
*Hoạt động 4: Bậc của đa thức. (8’) (1) Mục tiêu: Học sinh biết cách tìm bậc của đa thức (2) Phương pháp/Kĩ thuật dạy học: Phương pháp vấn đáp. (3) Hình thức tổ chức hoạt động: Toàn lớp (4) Phương tiện dạy học: Bảng phấn, SGK. (5) Sản phẩm: Học sinh tìm được bậc của đa thức |
|||
GV: Cho đa thức M = x2y5 – xy4 + y6 + 1 H: Đa thức có các hạng tử nào? Tìm bậc của các hạng tử đó? H: Bậc cao nhất của các hạng tử trên là bao nhiêu? GV: Giới thiệu 7 là bậc của đa thức M H: Vậy bậc của đa thức là gì? GV: Cho HS Làm ?3 theo nhóm H: Nêu cách tìm bậc của đa thức Q? ⇒ Cho HS thu gọn đa thức Q H: Vậy để tìm bậc của một đa thức trước hết ta phải làm gì? ⇒ Chú ý (sgk) |
HS: Các hạng tử là: x2y5; xy4; y6; 1 - x2y5 có bậc là 7; xy4 có bậc là 5; - y6 có bậc là 6; - 1 có bậc là 0 HS: Bậc cao nhất là 7 HS: Bậc của đa thức là bậc của hạng tử có bậc cao nhất trong dạng thu gọn của đa thức đó. HS: Đa thức Q chưa thu gọn ⇒ thu gọn đa thức trước khi tìm bậc HS: Q có bậc là 4. |
3. Bậc của đa thức (Sgk) Ví dụ: Đa thức M = x2y5 – xy4 + y6 + 1 có bậc 7 * Khái niệm: Sgk/38 * Chú ý : Sgk ?3 |
Năng lực giải quyết vấn đề, tính toán. |
C. LUYỆN TẬP, VẬN DỤNG
(1) Mục tiêu: Rèn kỹ năng thu gọn đa thức, tìm bậc đa thức.
(2) Phương pháp/Kĩ thuật dạy học: Phương pháp vấn đáp.
(3) Hình thức tổ chức hoạt động: Toàn lớp, hoạt động nhóm.
(4) Phương tiện dạy học: Bảng phấn, SGK.
(5) Sản phẩm: Bài làm của học sinh
Hoạt động của GV |
Hoạt động của HS |
Nội dung |
NL hình thành |
|---|---|---|---|
H: Đa thức là gì? Cho ví dụ về đa thức có 4 hạng tử có bậc là 5? GV: Treo bảng phụ bài tập 24 GV phát phiếu học tập cho HS Các nhóm làm nhanh và điền ngay kết quả vào giấy GV kiểm tra bài làm của một số nhóm, nhận xét. GV: Yêu cầu HS làm bài tập 25 |
HS: phát biểu Sgk và cho ví dụ Mỗi HS một phiếu học tập HS: hoạt động theo nhóm làm bài 2 học sinh lên bảng làm |
Bài 24. Sgk a) Số tiền mua 5 kg táo và 8 kg nho là: 5x + 8y b) Số tiền mua 10 hộp táo và 15 hộp nho là: 10.12x + 15.10y = 120x + 150y Ta có: 5x + 8y; 120x + 150y là những đa thức Bài 25. Sgk |
Năng lực hợp tác, vận dụng, giao tiếp. |
D. HƯỚNG DẪN VỀ NHÀ: (1’)
- Nắm vững cách thu gọn đa thức và tìm bậc của đa thức.
- Xem lại các bài tập đã chữa và làm bài 26, 27sgk + 25, 26 SBT
- Đọc trước bài ''Cộng, trừ đa thức''.
* NỘI DUNG CÁC CÂU HỎI, BÀI TẬP:
Câu 1: Lồng ghép vào quá trình dạy và học (MĐ 1).
Câu 2: Bài 24.Sgk (MĐ 2).
Câu 3: Bài 25.Sgk/35 (MĐ 3).
Xem thử Giáo án Toán 7 KNTT Xem thử Giáo án Toán 7 CTST Xem thử Giáo án Toán 7 CD
Xem thêm các bài soạn Giáo án Toán lớp 7 theo hướng phát triển năng lực mới nhất, hay khác:
- Giáo án Toán 7 Luyện tập trang 36
- Giáo án Toán 7 Bài 5: Đa thức
- Giáo án Toán 7 Bài 6: Cộng, trừ đa thức
- Giáo án Toán 7 Luyện tập trang 40-41
- Giáo án Toán 7 Bài 7: Đa thức một biến
Lời giải bài tập lớp 7 sách mới:
- Giải bài tập Lớp 7 Kết nối tri thức
- Giải bài tập Lớp 7 Chân trời sáng tạo
- Giải bài tập Lớp 7 Cánh diều
Tủ sách VIETJACK shopee lớp 6-8 (2025):
Đã có app VietJack trên điện thoại, giải bài tập SGK, SBT Soạn văn, Văn mẫu, Thi online, Bài giảng....miễn phí. Tải ngay ứng dụng trên Android và iOS.
Theo dõi chúng tôi miễn phí trên mạng xã hội facebook và youtube:Loạt bài Giáo án Toán lớp 7 mới, chuẩn nhất của chúng tôi được biên soạn bám sát theo mẫu Kế hoạch bài dạy (KHBD) môn Toán lớp 7 chuẩn của Bộ GD & ĐT.
Nếu thấy hay, hãy động viên và chia sẻ nhé! Các bình luận không phù hợp với nội quy bình luận trang web sẽ bị cấm bình luận vĩnh viễn.
- Giáo án lớp 7 (các môn học)
- Giáo án điện tử lớp 7 (các môn học)
- Giáo án Toán 7
- Giáo án Ngữ văn 7
- Giáo án Tiếng Anh 7
- Giáo án Khoa học tự nhiên 7
- Giáo án Lịch Sử 7
- Giáo án Địa Lí 7
- Giáo án GDCD 7
- Giáo án Tin học 7
- Giáo án Công nghệ 7
- Giáo án HĐTN 7
- Giáo án Hoạt động trải nghiệm 7
- Giáo án Vật Lí 7
- Giáo án Sinh học 7
- Giáo án Hóa học 7
- Giáo án Âm nhạc 7
- Đề thi lớp 7 (các môn học)
- Đề thi Ngữ Văn 7 (có đáp án)
- Chuyên đề Tiếng Việt lớp 7
- Đề thi Toán 7 (có đáp án)
- Đề cương ôn tập Toán 7
- Đề thi Tiếng Anh 7 (có đáp án)
- Đề thi Khoa học tự nhiên 7 (có đáp án)
- Đề thi Lịch Sử & Địa Lí 7 (có đáp án)
- Đề thi Địa Lí 7 (có đáp án)
- Đề thi Lịch Sử 7 (có đáp án)
- Đề thi GDCD 7 (có đáp án)
- Đề thi Công nghệ 7 (có đáp án)
- Đề thi Tin học 7 (có đáp án)


Giải bài tập SGK & SBT
Tài liệu giáo viên
Sách
Khóa học
Thi online
Hỏi đáp

